Dosimetric comparison of intensity-modulated proton therapy and proton arc therapy for pediatric ependymoma.

IF 2.7 3区 医学 Q3 ONCOLOGY
Helge Henjum, Karoline Mo Feten, Erlend Hartvigsen, Kristian S Ytre-Hauge, Camilla G Boer, Camilla H Stokkevåg
{"title":"Dosimetric comparison of intensity-modulated proton therapy and proton arc therapy for pediatric ependymoma.","authors":"Helge Henjum, Karoline Mo Feten, Erlend Hartvigsen, Kristian S Ytre-Hauge, Camilla G Boer, Camilla H Stokkevåg","doi":"10.2340/1651-226X.2025.42001","DOIUrl":null,"url":null,"abstract":"<p><strong>Background and purpose: </strong>Proton Arc Therapy (PAT) is an emerging proton therapy treatment modality with the potential to reduce radiation exposure to healthy tissues compared to conventional Intensity-Modulated Proton Therapy (IMPT) with fewer beams. This is an attractive option for treating pediatric patients, who are vulnerable to radiation-induced side effects. There is, however, a need to investigate the redistribution of dose to the target volume and organs at risk. In this study, we therefore explored the potential of PAT in proton therapy of pediatric ependymoma.</p><p><strong>Methods and materials: </strong>Three-field IMPT and PAT treatment plans for 10 pediatric ependymoma patients were optimized using the Eclipse treatment planning system. The PAT plans consisted of 8 fields, spanning 170 degrees. Both modalities were robustly optimized with a ± 2 mm isocenter shift and a ± 3% range uncertainty.</p><p><strong>Results: </strong>PAT showed improved CTV coverage compared to three-field IMPT, with a distinct increase in D98%. A clear dose reduction was found for the cochleae, with median values of 9.32 Gy(Relative Biological Effectiveness [RBE]) [0.76 - 30.40 Gy(RBE)] and 18.30 Gy(RBE) [1.24 - 29.75 Gy(RBE)] for PAT and IMPT, respectively, for the right cochlea. For the left cochlea, the respective doses were 12.34 Gy(RBE) [2.81 - 30.94 Gy(RBE)] and 18.49 Gy(RBE) [4.27 - 31.97 Gy(RBE)]. No significant difference for the brain integral dose was found between the two modalities.</p><p><strong>Interpretation: </strong>PAT can improve the dosimetric outcome of proton therapy in pediatric ependymoma patients. Organs at risk dose varied on a patient-to-patient basis; thus, individual treatment plan comparisons are recommended.</p>","PeriodicalId":7110,"journal":{"name":"Acta Oncologica","volume":"64 ","pages":"654-660"},"PeriodicalIF":2.7000,"publicationDate":"2025-05-12","publicationTypes":"Journal Article","fieldsOfStudy":null,"isOpenAccess":false,"openAccessPdf":"https://www.ncbi.nlm.nih.gov/pmc/articles/PMC12086448/pdf/","citationCount":"0","resultStr":null,"platform":"Semanticscholar","paperid":null,"PeriodicalName":"Acta Oncologica","FirstCategoryId":"3","ListUrlMain":"https://doi.org/10.2340/1651-226X.2025.42001","RegionNum":3,"RegionCategory":"医学","ArticlePicture":[],"TitleCN":null,"AbstractTextCN":null,"PMCID":null,"EPubDate":"","PubModel":"","JCR":"Q3","JCRName":"ONCOLOGY","Score":null,"Total":0}
引用次数: 0

Abstract

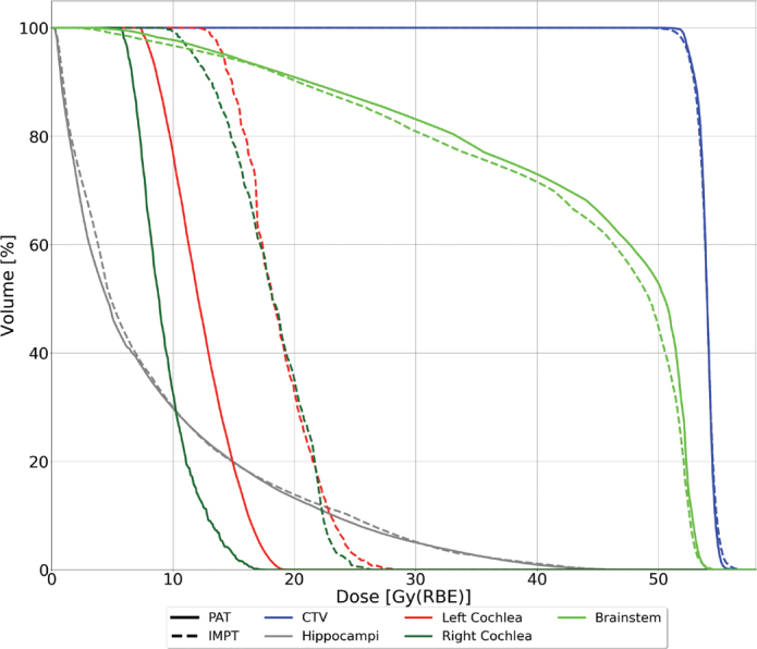
Background and purpose: Proton Arc Therapy (PAT) is an emerging proton therapy treatment modality with the potential to reduce radiation exposure to healthy tissues compared to conventional Intensity-Modulated Proton Therapy (IMPT) with fewer beams. This is an attractive option for treating pediatric patients, who are vulnerable to radiation-induced side effects. There is, however, a need to investigate the redistribution of dose to the target volume and organs at risk. In this study, we therefore explored the potential of PAT in proton therapy of pediatric ependymoma.

Methods and materials: Three-field IMPT and PAT treatment plans for 10 pediatric ependymoma patients were optimized using the Eclipse treatment planning system. The PAT plans consisted of 8 fields, spanning 170 degrees. Both modalities were robustly optimized with a ± 2 mm isocenter shift and a ± 3% range uncertainty.

Results: PAT showed improved CTV coverage compared to three-field IMPT, with a distinct increase in D98%. A clear dose reduction was found for the cochleae, with median values of 9.32 Gy(Relative Biological Effectiveness [RBE]) [0.76 - 30.40 Gy(RBE)] and 18.30 Gy(RBE) [1.24 - 29.75 Gy(RBE)] for PAT and IMPT, respectively, for the right cochlea. For the left cochlea, the respective doses were 12.34 Gy(RBE) [2.81 - 30.94 Gy(RBE)] and 18.49 Gy(RBE) [4.27 - 31.97 Gy(RBE)]. No significant difference for the brain integral dose was found between the two modalities.

Interpretation: PAT can improve the dosimetric outcome of proton therapy in pediatric ependymoma patients. Organs at risk dose varied on a patient-to-patient basis; thus, individual treatment plan comparisons are recommended.

Abstract Image

Abstract Image

Abstract Image

调强质子治疗与质子弧治疗小儿室管膜瘤的剂量学比较。
背景和目的:质子弧治疗(PAT)是一种新兴的质子治疗方式,与传统的较少光束的调强质子治疗(IMPT)相比,它有可能减少对健康组织的辐射暴露。这是治疗易受辐射引起的副作用影响的儿科患者的一个有吸引力的选择。然而,有必要调查剂量在靶体积和有危险器官中的再分配情况。因此,在本研究中,我们探讨了PAT在小儿室管膜瘤质子治疗中的潜力。方法与材料:采用Eclipse治疗计划系统对10例小儿室管膜瘤患者的三场IMPT和PAT治疗方案进行优化。PAT计划包括8个油田,跨度为170度。这两种模式都得到了±2mm的等心位移和±3%的范围不确定性的优化。结果:与三场IMPT相比,PAT显示出更好的CTV覆盖率,D98%明显增加。耳蜗有明显的剂量减少,右耳蜗PAT和IMPT的中位数分别为9.32 Gy(相对生物有效性[RBE]) [0.76 - 30.40 Gy(RBE)]和18.30 Gy(RBE) [1.24 - 29.75 Gy(RBE)]。左耳蜗剂量分别为12.34 Gy(RBE) [2.81 ~ 30.94 Gy(RBE)]和18.49 Gy(RBE) [4.27 ~ 31.97 Gy(RBE)]。两种方式的脑整体剂量无显著差异。结论:PAT可以改善小儿室管膜瘤患者质子治疗的剂量学结果。处于危险中的器官剂量因患者而异;因此,建议进行个体治疗方案比较。
本文章由计算机程序翻译,如有差异,请以英文原文为准。
求助全文
约1分钟内获得全文 求助全文
来源期刊
Acta Oncologica
Acta Oncologica 医学-肿瘤学
CiteScore
4.30
自引率
3.20%
发文量
301
审稿时长
3 months
期刊介绍: Acta Oncologica is a journal for the clinical oncologist and accepts articles within all fields of clinical cancer research. Articles on tumour pathology, experimental oncology, radiobiology, cancer epidemiology and medical radio physics are also welcome, especially if they have a clinical aim or interest. Scientific articles on cancer nursing and psychological or social aspects of cancer are also welcomed. Extensive material may be published as Supplements, for which special conditions apply.
×
引用
GB/T 7714-2015
复制
MLA
复制
APA
复制
导出至
BibTeX EndNote RefMan NoteFirst NoteExpress
×
提示
您的信息不完整,为了账户安全,请先补充。
现在去补充
×
提示
您因"违规操作"
具体请查看互助需知
我知道了
×
提示
确定
请完成安全验证×
copy
已复制链接
快去分享给好友吧!
我知道了
右上角分享
点击右上角分享
0
联系我们:info@booksci.cn Book学术提供免费学术资源搜索服务,方便国内外学者检索中英文文献。致力于提供最便捷和优质的服务体验。 Copyright © 2023 布克学术 All rights reserved.
京ICP备2023020795号-1
ghs 京公网安备 11010802042870号
Book学术文献互助
Book学术文献互助群
群 号:604180095
Book学术官方微信