1,400 genetically predicted plasma metabolites in relation to risk of primary biliary cholangitis: a bi-directional, two-sample Mendelian randomization analysis.

IF 1.7 Q3 GASTROENTEROLOGY & HEPATOLOGY
Clinical and Experimental Hepatology Pub Date : 2025-03-01 Epub Date: 2025-03-13 DOI:10.5114/ceh.2025.148221
Wenqian Geng, Xiajie Wen, Ronghua Jin, Xiaoxue Yuan
{"title":"1,400 genetically predicted plasma metabolites in relation to risk of primary biliary cholangitis: a bi-directional, two-sample Mendelian randomization analysis.","authors":"Wenqian Geng, Xiajie Wen, Ronghua Jin, Xiaoxue Yuan","doi":"10.5114/ceh.2025.148221","DOIUrl":null,"url":null,"abstract":"<p><strong>Aim of the study: </strong>Primary biliary cholangitis (PBC) is a complex, chronic, cholestatic liver disease with an autoimmune etiology. While plasma metabolites are crucial indicators of physiological and pathological states, their involvement in PBC pathogenesis remains unclear. To address this knowledge gap, we performed a rigorous two-sample Mendelian randomization (MR) analysis to assess the causal associations of 1,400 plasma metabolites with PBC.</p><p><strong>Material and methods: </strong>Genome-wide association data for 1,400 plasma metabolites and PBC were obtained from established public databases. The inverse-variance weighted (IVW) method was the primary method used for MR analysis. Sensitivity analyses and heterogeneity tests were conducted to assess the stability of the MR results. A reverse MR analysis was performed to investigate the possibility of reverse causality.</p><p><strong>Results: </strong>Four plasma metabolites were identified as potential predictors for the occurrence of PBC. Specifically, sphingosine 1-phosphate (OR = 0.65, 95% CI: 0.42-0.98, <i>p</i> = 0.04) and docosadienoate (22:2n6) (OR = 0.57, 95% CI: 0.36-0.90, <i>p</i> = 0.01) were implicated in conferring a protective effect against PBC. Conversely, homoarginine (OR = 1.34, 95% CI: 1.04-1.72, <i>p</i> = 0.02) and campesterol (OR = 1.19, 95% CI: 1.01-1.40, <i>p</i> = 0.03) were associated with an increased risk of PBC. There was no evidence of reverse causality between PBC and the identified plasma metabolites.</p><p><strong>Conclusions: </strong>This study utilized a two-sample Mendelian randomization approach to explore the causal relationship between 1,400 plasma metabolites and PBC. We identified four plasma metabolites that may have a causal relationship with the development of PBC. The metabolites identified hold promise as prognostic indicators and could illuminate novel pathways for therapeutic intervention in PBC.</p>","PeriodicalId":10281,"journal":{"name":"Clinical and Experimental Hepatology","volume":"11 1","pages":"61-70"},"PeriodicalIF":1.7000,"publicationDate":"2025-03-01","publicationTypes":"Journal Article","fieldsOfStudy":null,"isOpenAccess":false,"openAccessPdf":"https://www.ncbi.nlm.nih.gov/pmc/articles/PMC12035705/pdf/","citationCount":"0","resultStr":null,"platform":"Semanticscholar","paperid":null,"PeriodicalName":"Clinical and Experimental Hepatology","FirstCategoryId":"1085","ListUrlMain":"https://doi.org/10.5114/ceh.2025.148221","RegionNum":0,"RegionCategory":null,"ArticlePicture":[],"TitleCN":null,"AbstractTextCN":null,"PMCID":null,"EPubDate":"2025/3/13 0:00:00","PubModel":"Epub","JCR":"Q3","JCRName":"GASTROENTEROLOGY & HEPATOLOGY","Score":null,"Total":0}
引用次数: 0

Abstract

Aim of the study: Primary biliary cholangitis (PBC) is a complex, chronic, cholestatic liver disease with an autoimmune etiology. While plasma metabolites are crucial indicators of physiological and pathological states, their involvement in PBC pathogenesis remains unclear. To address this knowledge gap, we performed a rigorous two-sample Mendelian randomization (MR) analysis to assess the causal associations of 1,400 plasma metabolites with PBC.

Material and methods: Genome-wide association data for 1,400 plasma metabolites and PBC were obtained from established public databases. The inverse-variance weighted (IVW) method was the primary method used for MR analysis. Sensitivity analyses and heterogeneity tests were conducted to assess the stability of the MR results. A reverse MR analysis was performed to investigate the possibility of reverse causality.

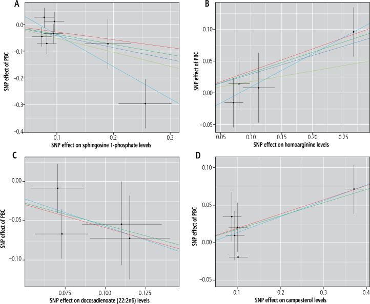
Results: Four plasma metabolites were identified as potential predictors for the occurrence of PBC. Specifically, sphingosine 1-phosphate (OR = 0.65, 95% CI: 0.42-0.98, p = 0.04) and docosadienoate (22:2n6) (OR = 0.57, 95% CI: 0.36-0.90, p = 0.01) were implicated in conferring a protective effect against PBC. Conversely, homoarginine (OR = 1.34, 95% CI: 1.04-1.72, p = 0.02) and campesterol (OR = 1.19, 95% CI: 1.01-1.40, p = 0.03) were associated with an increased risk of PBC. There was no evidence of reverse causality between PBC and the identified plasma metabolites.

Conclusions: This study utilized a two-sample Mendelian randomization approach to explore the causal relationship between 1,400 plasma metabolites and PBC. We identified four plasma metabolites that may have a causal relationship with the development of PBC. The metabolites identified hold promise as prognostic indicators and could illuminate novel pathways for therapeutic intervention in PBC.

Abstract Image

Abstract Image

Abstract Image

1400个基因预测血浆代谢物与原发性胆管炎风险的关系:一项双向、双样本孟德尔随机分析。
研究目的:原发性胆管炎(PBC)是一种复杂的、慢性的、胆汁淤积性肝病,具有自身免疫性病因。虽然血浆代谢物是生理和病理状态的重要指标,但它们在PBC发病机制中的作用尚不清楚。为了解决这一知识差距,我们进行了严格的双样本孟德尔随机化(MR)分析,以评估1,400种血浆代谢物与PBC的因果关系。材料与方法:从已建立的公共数据库中获得1400种血浆代谢物与PBC的全基因组关联数据。反方差加权(IVW)法是MR分析的主要方法。进行敏感性分析和异质性试验来评估MR结果的稳定性。反向磁共振分析进行了调查反向因果关系的可能性。结果:四种血浆代谢物被确定为PBC发生的潜在预测因子。具体来说,鞘氨醇1-磷酸(OR = 0.65, 95% CI: 0.42-0.98, p = 0.04)和二十二酸酯(OR = 0.57, 95% CI: 0.36-0.90, p = 0.01)与PBC的保护作用有关。相反,同型精氨酸(OR = 1.34, 95% CI: 1.04-1.72, p = 0.02)和油菜甾醇(OR = 1.19, 95% CI: 1.01-1.40, p = 0.03)与PBC风险增加相关。没有证据表明PBC与已鉴定的血浆代谢物之间存在反向因果关系。结论:本研究采用双样本孟德尔随机化方法探讨了1400种血浆代谢物与PBC之间的因果关系。我们确定了四种血浆代谢物可能与PBC的发展有因果关系。所确定的代谢物有望作为预后指标,并为PBC的治疗干预提供新的途径。
本文章由计算机程序翻译,如有差异,请以英文原文为准。
求助全文
约1分钟内获得全文 求助全文
来源期刊
Clinical and Experimental Hepatology
Clinical and Experimental Hepatology GASTROENTEROLOGY & HEPATOLOGY-
CiteScore
2.80
自引率
0.00%
发文量
32
期刊介绍: Clinical and Experimental Hepatology – quarterly of the Polish Association for Study of Liver – is a scientific and educational, peer-reviewed journal publishing original and review papers describing clinical and basic investigations in the field of hepatology.
×
引用
GB/T 7714-2015
复制
MLA
复制
APA
复制
导出至
BibTeX EndNote RefMan NoteFirst NoteExpress
×
提示
您的信息不完整,为了账户安全,请先补充。
现在去补充
×
提示
您因"违规操作"
具体请查看互助需知
我知道了
×
提示
确定
请完成安全验证×
copy
已复制链接
快去分享给好友吧!
我知道了
右上角分享
点击右上角分享
0
联系我们:info@booksci.cn Book学术提供免费学术资源搜索服务,方便国内外学者检索中英文文献。致力于提供最便捷和优质的服务体验。 Copyright © 2023 布克学术 All rights reserved.
京ICP备2023020795号-1
ghs 京公网安备 11010802042870号
Book学术文献互助
Book学术文献互助群
群 号:604180095
Book学术官方微信