Role of Extended White Blood Cell Parameters in Distinguishing Acute Febrile Illnesses.

Q3 Medicine
Advances in Hematology Pub Date : 2025-04-21 eCollection Date: 2025-01-01 DOI:10.1155/ah/8080147
Tandry Meriyanti, Maroloan Aruan, Glorya N D Ananda
{"title":"Role of Extended White Blood Cell Parameters in Distinguishing Acute Febrile Illnesses.","authors":"Tandry Meriyanti, Maroloan Aruan, Glorya N D Ananda","doi":"10.1155/ah/8080147","DOIUrl":null,"url":null,"abstract":"<p><p><b>Introduction:</b> Acute febrile illness contributes to significant morbidity and death particularly in tropical country such as Indonesia. The symptoms are nonspecific, therefore distinguishing these pathogens is difficult without additional laboratory tests. The extended white blood cell parameters indicate cell activities induced by immune response to infection. The study aims to explore the profile of extended white blood cell parameters in acute febrile illnesses and evaluate their diagnostic power to differentiate etiologies of acute febrile illnesses. <b>Methods:</b> This study was a cross-sectional analytical study with a total of 473 samples, conducted between October 2022 and 2023 at Siloam Hospitals Lippo Village, Banten, Indonesia. Acute febrile illnesses are included in this study, including dengue infection, chikungunya infection, typhoid infection, and other bacterial infections. The extended white blood cell parameters including high fluorescence lymphocyte count (HFLC), immature granulocyte (IG), neutrophil-to-lymphocyte ratio (NLR), and cell population data (CPD) which were NE-SSC, NE-SFL, NE-WY, LY-X, LY-Y, and LY-WY. These parameters were integrated in a routine hematology test as research parameters, performed by Sysmex XN2000. Data were analyzed using SPSS Version 25. <b>Results:</b> The value of extended white blood cell parameters was found to be significantly different in viral and bacterial infection (HFLC 1.10% (0.30%-3.85%) vs. 0.20% (0.10%-0.70%), <i>p</i> < 0.001; IG 0.4% (0.2%-0.6%) vs. 0.5% (0.3%-1.1%), <i>p</i> < 0.001; NLR 1.93 (1.10-3.47) vs. 5.21 (2.20-12.26), <i>p</i> < 0.001; NE-SFL 47.7 (45.95-50.10) vs. 48.6 (45.82-52.57), <i>p</i>=0.020; NE-WY 622 (585-653) vs. 653 (615-747), <i>p</i> < 0.001; LY-Y 66.4 (63.85-69.75) vs. 64.05 (60.52-67.17), <i>p</i> < 0.001). HFLC and LY-Y had statistically significant AUC 0.753 and 0.646, respectively, (<i>p</i> < 0.001) in the dengue infection group. IG, NLR, NE-WY, and NE-SFL had statistically significant AUC in bacteremia (0.806, 0.876, 0.783, and 0.656, respectively). <b>Conclusion:</b> HFLC was a useful diagnostic tool to identify viral infection, particularly dengue infection, while IG, NLR, NE-SFL, and NE-WY can be useful to differentiate bacteremia from other acute febrile illnesses.</p>","PeriodicalId":7325,"journal":{"name":"Advances in Hematology","volume":"2025 ","pages":"8080147"},"PeriodicalIF":0.0000,"publicationDate":"2025-04-21","publicationTypes":"Journal Article","fieldsOfStudy":null,"isOpenAccess":false,"openAccessPdf":"https://www.ncbi.nlm.nih.gov/pmc/articles/PMC12037241/pdf/","citationCount":"0","resultStr":null,"platform":"Semanticscholar","paperid":null,"PeriodicalName":"Advances in Hematology","FirstCategoryId":"1085","ListUrlMain":"https://doi.org/10.1155/ah/8080147","RegionNum":0,"RegionCategory":null,"ArticlePicture":[],"TitleCN":null,"AbstractTextCN":null,"PMCID":null,"EPubDate":"2025/1/1 0:00:00","PubModel":"eCollection","JCR":"Q3","JCRName":"Medicine","Score":null,"Total":0}
引用次数: 0

Abstract

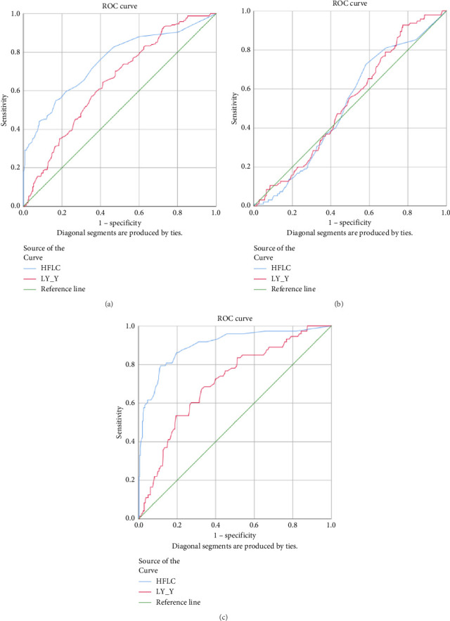
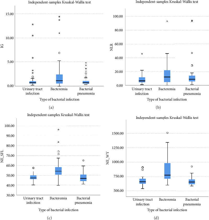
Introduction: Acute febrile illness contributes to significant morbidity and death particularly in tropical country such as Indonesia. The symptoms are nonspecific, therefore distinguishing these pathogens is difficult without additional laboratory tests. The extended white blood cell parameters indicate cell activities induced by immune response to infection. The study aims to explore the profile of extended white blood cell parameters in acute febrile illnesses and evaluate their diagnostic power to differentiate etiologies of acute febrile illnesses. Methods: This study was a cross-sectional analytical study with a total of 473 samples, conducted between October 2022 and 2023 at Siloam Hospitals Lippo Village, Banten, Indonesia. Acute febrile illnesses are included in this study, including dengue infection, chikungunya infection, typhoid infection, and other bacterial infections. The extended white blood cell parameters including high fluorescence lymphocyte count (HFLC), immature granulocyte (IG), neutrophil-to-lymphocyte ratio (NLR), and cell population data (CPD) which were NE-SSC, NE-SFL, NE-WY, LY-X, LY-Y, and LY-WY. These parameters were integrated in a routine hematology test as research parameters, performed by Sysmex XN2000. Data were analyzed using SPSS Version 25. Results: The value of extended white blood cell parameters was found to be significantly different in viral and bacterial infection (HFLC 1.10% (0.30%-3.85%) vs. 0.20% (0.10%-0.70%), p < 0.001; IG 0.4% (0.2%-0.6%) vs. 0.5% (0.3%-1.1%), p < 0.001; NLR 1.93 (1.10-3.47) vs. 5.21 (2.20-12.26), p < 0.001; NE-SFL 47.7 (45.95-50.10) vs. 48.6 (45.82-52.57), p=0.020; NE-WY 622 (585-653) vs. 653 (615-747), p < 0.001; LY-Y 66.4 (63.85-69.75) vs. 64.05 (60.52-67.17), p < 0.001). HFLC and LY-Y had statistically significant AUC 0.753 and 0.646, respectively, (p < 0.001) in the dengue infection group. IG, NLR, NE-WY, and NE-SFL had statistically significant AUC in bacteremia (0.806, 0.876, 0.783, and 0.656, respectively). Conclusion: HFLC was a useful diagnostic tool to identify viral infection, particularly dengue infection, while IG, NLR, NE-SFL, and NE-WY can be useful to differentiate bacteremia from other acute febrile illnesses.

Abstract Image

Abstract Image

Abstract Image

扩展白细胞参数在鉴别急性温病中的作用。
引言:急性发热性疾病是造成严重发病率和死亡率的原因之一,特别是在印度尼西亚等热带国家。这些症状是非特异性的,因此,如果不进行额外的实验室检查,很难区分这些病原体。延长的白细胞参数表明免疫应答感染诱导的细胞活动。本研究旨在探讨扩展白细胞参数在急性发热性疾病中的分布,并评估其对急性发热性疾病病因的诊断能力。方法:本研究是一项横断面分析研究,共有473份样本,于2022年10月至2023年10月在印度尼西亚万丹力宝村的西罗亚医院进行。本研究包括急性发热性疾病,包括登革热感染、基孔肯雅感染、伤寒感染和其他细菌感染。扩展的白细胞参数包括高荧光淋巴细胞计数(HFLC)、未成熟粒细胞(IG)、中性粒细胞与淋巴细胞比率(NLR)和细胞群数据(CPD),分别为NE-SSC、NE-SFL、NE-WY、LY-X、LY-Y和LY-WY。这些参数作为研究参数集成到常规血液学测试中,由Sysmex XN2000执行。数据分析使用SPSS Version 25。结果:扩展白细胞参数值在病毒和细菌感染中存在显著差异(HFLC 1.10% (0.30% ~ 3.85%) vs 0.20% (0.10% ~ 0.70%), p < 0.001;IG 0.4%(0.2% - -0.6%)和0.5% (0.3% - -1.1%),p < 0.001;NLR 1.93(1.10 - -3.47)和5.21 (2.20 - -12.26),p < 0.001;NE-SFL 47.7(45.95 - -50.10)和48.6 (45.82 - -52.57),p = 0.020;NE-WY 622 (585-653) vs. 653 (615-747), p < 0.001;LY-Y 66.4(63.85 - -69.75)和64.05 (60.52 - -67.17),p < 0.001)。登革热感染组HFLC、LY-Y AUC分别为0.753、0.646,差异有统计学意义(p < 0.001)。IG、NLR、NE-WY、NE-SFL在菌血症中的AUC分别为0.806、0.876、0.783、0.656,差异有统计学意义。结论:HFLC是识别病毒感染,特别是登革热感染的有效诊断工具,而IG、NLR、NE-SFL和NE-WY可用于区分菌血症与其他急性发热性疾病。
本文章由计算机程序翻译,如有差异,请以英文原文为准。
求助全文
约1分钟内获得全文 求助全文
来源期刊
Advances in Hematology
Advances in Hematology Medicine-Hematology
CiteScore
3.30
自引率
0.00%
发文量
10
审稿时长
15 weeks
×
引用
GB/T 7714-2015
复制
MLA
复制
APA
复制
导出至
BibTeX EndNote RefMan NoteFirst NoteExpress
×
提示
您的信息不完整,为了账户安全,请先补充。
现在去补充
×
提示
您因"违规操作"
具体请查看互助需知
我知道了
×
提示
确定
请完成安全验证×
copy
已复制链接
快去分享给好友吧!
我知道了
右上角分享
点击右上角分享
0
联系我们:info@booksci.cn Book学术提供免费学术资源搜索服务,方便国内外学者检索中英文文献。致力于提供最便捷和优质的服务体验。 Copyright © 2023 布克学术 All rights reserved.
京ICP备2023020795号-1
ghs 京公网安备 11010802042870号
Book学术文献互助
Book学术文献互助群
群 号:604180095
Book学术官方微信