Alcohol related hepatitis in intensive care units: clinical and biological spectrum and mortality risk factors: a multicenter retrospective study.

IF 5.5 1区 医学 Q1 CRITICAL CARE MEDICINE
Maxime Gasperment, Léa Duhaut, Nicolas Terzi, Côme Gerard, Luc Haudebourg, Alexandre Demoule, Mialy Randrianarisoa, Vincent Castelain, Sacha Sarfati, Fabienne Tamion, Charlene Le Moal, Christophe Guitton, Gabriel Preda, Arnaud Galbois, Thibault Vieille, Gaël Piton, Marika Rudler, Guillaume Dumas, Hafid Ait-Oufella
{"title":"Alcohol related hepatitis in intensive care units: clinical and biological spectrum and mortality risk factors: a multicenter retrospective study.","authors":"Maxime Gasperment, Léa Duhaut, Nicolas Terzi, Côme Gerard, Luc Haudebourg, Alexandre Demoule, Mialy Randrianarisoa, Vincent Castelain, Sacha Sarfati, Fabienne Tamion, Charlene Le Moal, Christophe Guitton, Gabriel Preda, Arnaud Galbois, Thibault Vieille, Gaël Piton, Marika Rudler, Guillaume Dumas, Hafid Ait-Oufella","doi":"10.1186/s13613-025-01450-2","DOIUrl":null,"url":null,"abstract":"<p><strong>Background: </strong>Alcohol related hepatitis is responsible for high morbidity and mortality, but little is known about the management of patients with hepatitis specifically in intensive care units (ICU).</p><p><strong>Methods: </strong>Retrospective study including patients with alcohol related hepatitis hospitalized in 9 French ICUs (2006-2017). Alcohol related hepatitis was defined histologically or by an association of clinical and biological criteria according to current guidelines.</p><p><strong>Results: </strong>187 patients (median age: 53 [43-60]; male: 69%) were included. A liver biopsy was performed in 51% of cases. Patients were admitted for impaired consciousness (71%), sepsis (64%), shock (44%), respiratory failure (37%). At admission, median SOFA and MELD scores were 10 [7-13] and 31 [26-40] respectively. 63% of patients received invasive mechanical ventilation, 62% vasopressors, and 36% renal replacement therapy. 66% of patients received corticosteroids, and liver transplantation was performed in 16 patients (8.5%). ICU and in-hospital mortality were 37% and 53% respectively. By multivariate analysis, ICU mortality was associated with SOFA score (without total bilirubin) (SHR 1.08 [1.02-1.14] per one-point increase), arterial lactate (SHR 1.08 [1.03-1.13] per 1 mmol/L) and MELD score (SHR 1.09 [1.04-1.14] per 1 point), while employment was associated with increased survival (HR 0.49 [0.28-0.86]). After propensity score weighting, the use of corticosteroids did not affect ICU mortality in the overall population but had a beneficial effect in the subgroup of patients with histological proof. Patient prognosis was also better in responders assessed by Lille score at day 7 (OR 6.67 [2.44-20.15], p < 0.001).</p><p><strong>Conclusion: </strong>Alcohol related hepatitis is a severe condition leading to high mortality in ICU patients. Severity of organ failure at admission are mortality risk factors. Outcome was significantly better in responders to corticosteroids therapy according to Lille score. Early referral to tertiary centers to discuss liver transplantation should more widely be considered.</p>","PeriodicalId":7966,"journal":{"name":"Annals of Intensive Care","volume":"15 1","pages":"53"},"PeriodicalIF":5.5000,"publicationDate":"2025-04-15","publicationTypes":"Journal Article","fieldsOfStudy":null,"isOpenAccess":false,"openAccessPdf":"https://www.ncbi.nlm.nih.gov/pmc/articles/PMC11996726/pdf/","citationCount":"0","resultStr":null,"platform":"Semanticscholar","paperid":null,"PeriodicalName":"Annals of Intensive Care","FirstCategoryId":"3","ListUrlMain":"https://doi.org/10.1186/s13613-025-01450-2","RegionNum":1,"RegionCategory":"医学","ArticlePicture":[],"TitleCN":null,"AbstractTextCN":null,"PMCID":null,"EPubDate":"","PubModel":"","JCR":"Q1","JCRName":"CRITICAL CARE MEDICINE","Score":null,"Total":0}
引用次数: 0

Abstract

Background: Alcohol related hepatitis is responsible for high morbidity and mortality, but little is known about the management of patients with hepatitis specifically in intensive care units (ICU).

Methods: Retrospective study including patients with alcohol related hepatitis hospitalized in 9 French ICUs (2006-2017). Alcohol related hepatitis was defined histologically or by an association of clinical and biological criteria according to current guidelines.

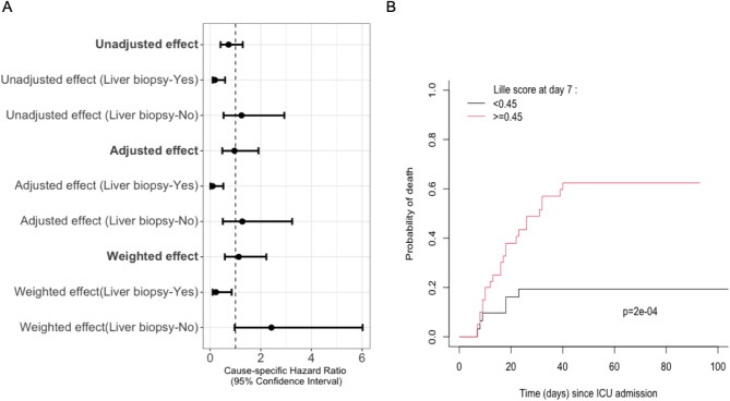
Results: 187 patients (median age: 53 [43-60]; male: 69%) were included. A liver biopsy was performed in 51% of cases. Patients were admitted for impaired consciousness (71%), sepsis (64%), shock (44%), respiratory failure (37%). At admission, median SOFA and MELD scores were 10 [7-13] and 31 [26-40] respectively. 63% of patients received invasive mechanical ventilation, 62% vasopressors, and 36% renal replacement therapy. 66% of patients received corticosteroids, and liver transplantation was performed in 16 patients (8.5%). ICU and in-hospital mortality were 37% and 53% respectively. By multivariate analysis, ICU mortality was associated with SOFA score (without total bilirubin) (SHR 1.08 [1.02-1.14] per one-point increase), arterial lactate (SHR 1.08 [1.03-1.13] per 1 mmol/L) and MELD score (SHR 1.09 [1.04-1.14] per 1 point), while employment was associated with increased survival (HR 0.49 [0.28-0.86]). After propensity score weighting, the use of corticosteroids did not affect ICU mortality in the overall population but had a beneficial effect in the subgroup of patients with histological proof. Patient prognosis was also better in responders assessed by Lille score at day 7 (OR 6.67 [2.44-20.15], p < 0.001).

Conclusion: Alcohol related hepatitis is a severe condition leading to high mortality in ICU patients. Severity of organ failure at admission are mortality risk factors. Outcome was significantly better in responders to corticosteroids therapy according to Lille score. Early referral to tertiary centers to discuss liver transplantation should more widely be considered.

Abstract Image

Abstract Image

Abstract Image

重症监护病房酒精相关性肝炎:临床和生物学谱及死亡率危险因素:一项多中心回顾性研究
背景:酒精相关性肝炎是高发病率和死亡率的原因,但对重症监护病房(ICU)肝炎患者的管理知之甚少。方法:对2006-2017年法国9家icu住院的酒精相关性肝炎患者进行回顾性研究。酒精相关性肝炎的定义是组织学上的,或根据现行指南通过临床和生物学标准的结合。结果:187例患者(中位年龄:53岁[43-60];男性:69%)。51%的病例行肝活检。患者入院的原因包括意识受损(71%)、败血症(64%)、休克(44%)、呼吸衰竭(37%)。入院时,SOFA和MELD的中位评分分别为10分[7-13]和31分[26-40]。63%的患者接受有创机械通气,62%接受血管加压药物治疗,36%接受肾脏替代治疗。66%的患者接受了皮质类固醇治疗,16例患者(8.5%)进行了肝移植。ICU和住院死亡率分别为37%和53%。通过多因素分析,ICU死亡率与SOFA评分(不含总胆红素)(SHR 1.08[1.02-1.14] / 1分)、动脉乳酸(SHR 1.08[1.03-1.13] / 1毫摩尔/升)和MELD评分(SHR 1.09[1.04-1.14] / 1分)相关,而就业与生存率增加相关(HR 0.49[0.28-0.86])。在倾向评分加权后,皮质类固醇的使用对总体人群的ICU死亡率没有影响,但对有组织学证据的患者亚组有有益的影响。在第7天的Lille评分中,应答者的预后也较好(OR为6.67 [2.44-20.15],p)。结论:酒精相关性肝炎是ICU患者中一种严重的疾病,死亡率较高。入院时器官衰竭的严重程度是导致死亡的危险因素。根据里尔评分,对皮质类固醇治疗有反应者的结果明显更好。应更广泛地考虑早期转诊到三级中心讨论肝移植。
本文章由计算机程序翻译,如有差异,请以英文原文为准。
求助全文
约1分钟内获得全文 求助全文
来源期刊
Annals of Intensive Care
Annals of Intensive Care CRITICAL CARE MEDICINE-
CiteScore
14.20
自引率
3.70%
发文量
107
审稿时长
13 weeks
期刊介绍: Annals of Intensive Care is an online peer-reviewed journal that publishes high-quality review articles and original research papers in the field of intensive care medicine. It targets critical care providers including attending physicians, fellows, residents, nurses, and physiotherapists, who aim to enhance their knowledge and provide optimal care for their patients. The journal's articles are included in various prestigious databases such as CAS, Current contents, DOAJ, Embase, Journal Citation Reports/Science Edition, OCLC, PubMed, PubMed Central, Science Citation Index Expanded, SCOPUS, and Summon by Serial Solutions.
×
引用
GB/T 7714-2015
复制
MLA
复制
APA
复制
导出至
BibTeX EndNote RefMan NoteFirst NoteExpress
×
提示
您的信息不完整,为了账户安全,请先补充。
现在去补充
×
提示
您因"违规操作"
具体请查看互助需知
我知道了
×
提示
确定
请完成安全验证×
copy
已复制链接
快去分享给好友吧!
我知道了
右上角分享
点击右上角分享
0
联系我们:info@booksci.cn Book学术提供免费学术资源搜索服务,方便国内外学者检索中英文文献。致力于提供最便捷和优质的服务体验。 Copyright © 2023 布克学术 All rights reserved.
京ICP备2023020795号-1
ghs 京公网安备 11010802042870号
Book学术文献互助
Book学术文献互助群
群 号:604180095
Book学术官方微信