Optimization of a High-Throughput Screen for Monitoring Disease-Associated Protein Misfolding and Aggregation in Bacteria.

IF 3.9 2区 生物学 Q1 BIOCHEMICAL RESEARCH METHODS
ACS Synthetic Biology Pub Date : 2025-06-20 Epub Date: 2025-05-12 DOI:10.1021/acssynbio.5c00166
Dafni C Delivoria, Eleni Konia, Ilias Matis, Georgios Skretas
{"title":"Optimization of a High-Throughput Screen for Monitoring Disease-Associated Protein Misfolding and Aggregation in Bacteria.","authors":"Dafni C Delivoria, Eleni Konia, Ilias Matis, Georgios Skretas","doi":"10.1021/acssynbio.5c00166","DOIUrl":null,"url":null,"abstract":"<p><p>Protein misfolding and aggregation are central features of a wide range of diseases, including neurodegenerative disorders, systemic amyloidoses, and cancer. The identification of compounds that can modulate protein folding and aggregation is a key step toward developing effective therapies. High-throughput screening methods are essential for efficiently identifying such compounds. In this study, we optimized a previously developed high-throughput genetic screen for monitoring protein misfolding and aggregation in bacteria. This system is based on monitoring the fluorescence of <i>Escherichia coli</i> cells expressing fusions of human misfolding-prone and disease-related proteins (MisPs) with the green fluorescent protein. We systematically tested a variety of experimental conditions, such as overexpression conditions and MisP-GFP fusion formats, to identify key parameters that affect the sensitivity and dynamic range of the assay. Using misfolding-prone, cancer-associated variants of human p53 as a model system, we found that strong overexpression conditions, such as high copy number vectors, strong promoters, high inducer concentrations, and high overexpression temperatures, can yield optimal assay performance. These optimized assay conditions were also validated with additional MisPs, such as the Alzheimer's disease-associated amyloid-β peptide and variants of superoxide dismutase 1 associated with amyotrophic lateral sclerosis. At the same time, we observed that certain conditions, such as inducer concentrations and overexpression temperature, may need to be precisely fine-tuned for each new MisP target to yield optimal assay performance. Our findings provide a framework for standardizing MisP-GFP screening assays, facilitating their broad application in the discovery of therapeutic agents targeting protein misfolding and aggregation.</p>","PeriodicalId":26,"journal":{"name":"ACS Synthetic Biology","volume":" ","pages":"2283-2293"},"PeriodicalIF":3.9000,"publicationDate":"2025-06-20","publicationTypes":"Journal Article","fieldsOfStudy":null,"isOpenAccess":false,"openAccessPdf":"https://www.ncbi.nlm.nih.gov/pmc/articles/PMC12186678/pdf/","citationCount":"0","resultStr":null,"platform":"Semanticscholar","paperid":null,"PeriodicalName":"ACS Synthetic Biology","FirstCategoryId":"99","ListUrlMain":"https://doi.org/10.1021/acssynbio.5c00166","RegionNum":2,"RegionCategory":"生物学","ArticlePicture":[],"TitleCN":null,"AbstractTextCN":null,"PMCID":null,"EPubDate":"2025/5/12 0:00:00","PubModel":"Epub","JCR":"Q1","JCRName":"BIOCHEMICAL RESEARCH METHODS","Score":null,"Total":0}
引用次数: 0

Abstract

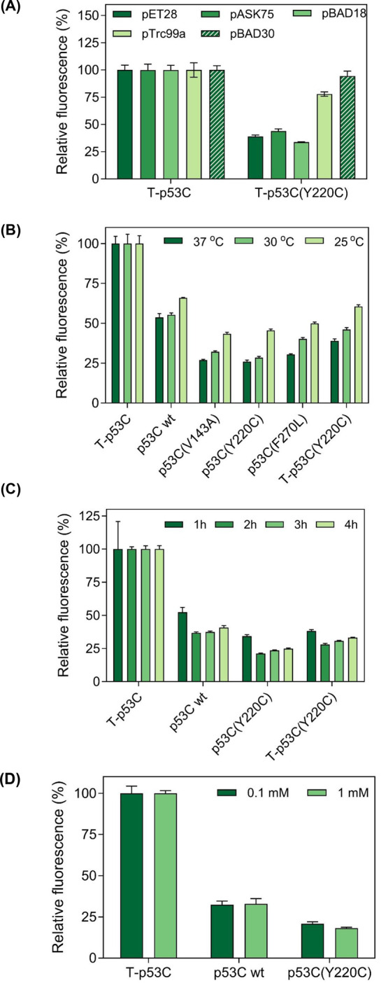
Protein misfolding and aggregation are central features of a wide range of diseases, including neurodegenerative disorders, systemic amyloidoses, and cancer. The identification of compounds that can modulate protein folding and aggregation is a key step toward developing effective therapies. High-throughput screening methods are essential for efficiently identifying such compounds. In this study, we optimized a previously developed high-throughput genetic screen for monitoring protein misfolding and aggregation in bacteria. This system is based on monitoring the fluorescence of Escherichia coli cells expressing fusions of human misfolding-prone and disease-related proteins (MisPs) with the green fluorescent protein. We systematically tested a variety of experimental conditions, such as overexpression conditions and MisP-GFP fusion formats, to identify key parameters that affect the sensitivity and dynamic range of the assay. Using misfolding-prone, cancer-associated variants of human p53 as a model system, we found that strong overexpression conditions, such as high copy number vectors, strong promoters, high inducer concentrations, and high overexpression temperatures, can yield optimal assay performance. These optimized assay conditions were also validated with additional MisPs, such as the Alzheimer's disease-associated amyloid-β peptide and variants of superoxide dismutase 1 associated with amyotrophic lateral sclerosis. At the same time, we observed that certain conditions, such as inducer concentrations and overexpression temperature, may need to be precisely fine-tuned for each new MisP target to yield optimal assay performance. Our findings provide a framework for standardizing MisP-GFP screening assays, facilitating their broad application in the discovery of therapeutic agents targeting protein misfolding and aggregation.

Abstract Image

Abstract Image

Abstract Image

细菌中疾病相关蛋白错误折叠和聚集的高通量筛选优化
蛋白质错误折叠和聚集是许多疾病的核心特征,包括神经退行性疾病、系统性淀粉样病变和癌症。鉴定可以调节蛋白质折叠和聚集的化合物是开发有效治疗方法的关键一步。高通量筛选方法对于有效鉴定此类化合物至关重要。在这项研究中,我们优化了先前开发的用于监测细菌中蛋白质错误折叠和聚集的高通量遗传筛选。该系统是基于监测大肠杆菌细胞的荧光,这些细胞表达人类易发生错误折叠的蛋白和疾病相关蛋白(MisPs)与绿色荧光蛋白的融合。我们系统地测试了各种实验条件,如过表达条件和MisP-GFP融合格式,以确定影响检测灵敏度和动态范围的关键参数。使用人类p53易发生错误折叠的癌症相关变异体作为模型系统,我们发现强过表达条件,如高拷贝数载体、强启动子、高诱导剂浓度和高过表达温度,可以产生最佳的检测性能。这些优化的检测条件也被其他MisPs验证,如阿尔茨海默病相关的淀粉样蛋白-β肽和与肌萎缩性侧索硬化症相关的超氧化物歧化酶1变异。同时,我们观察到某些条件,如诱导剂浓度和过表达温度,可能需要对每个新的MisP靶点进行精确微调,以产生最佳的检测性能。我们的发现为标准化MisP-GFP筛选分析提供了一个框架,促进了它们在发现靶向蛋白质错误折叠和聚集的治疗药物方面的广泛应用。
本文章由计算机程序翻译,如有差异,请以英文原文为准。
求助全文
约1分钟内获得全文 求助全文
来源期刊
CiteScore
8.00
自引率
10.60%
发文量
380
审稿时长
6-12 weeks
期刊介绍: The journal is particularly interested in studies on the design and synthesis of new genetic circuits and gene products; computational methods in the design of systems; and integrative applied approaches to understanding disease and metabolism. Topics may include, but are not limited to: Design and optimization of genetic systems Genetic circuit design and their principles for their organization into programs Computational methods to aid the design of genetic systems Experimental methods to quantify genetic parts, circuits, and metabolic fluxes Genetic parts libraries: their creation, analysis, and ontological representation Protein engineering including computational design Metabolic engineering and cellular manufacturing, including biomass conversion Natural product access, engineering, and production Creative and innovative applications of cellular programming Medical applications, tissue engineering, and the programming of therapeutic cells Minimal cell design and construction Genomics and genome replacement strategies Viral engineering Automated and robotic assembly platforms for synthetic biology DNA synthesis methodologies Metagenomics and synthetic metagenomic analysis Bioinformatics applied to gene discovery, chemoinformatics, and pathway construction Gene optimization Methods for genome-scale measurements of transcription and metabolomics Systems biology and methods to integrate multiple data sources in vitro and cell-free synthetic biology and molecular programming Nucleic acid engineering.
×
引用
GB/T 7714-2015
复制
MLA
复制
APA
复制
导出至
BibTeX EndNote RefMan NoteFirst NoteExpress
×
提示
您的信息不完整,为了账户安全,请先补充。
现在去补充
×
提示
您因"违规操作"
具体请查看互助需知
我知道了
×
提示
确定
请完成安全验证×
copy
已复制链接
快去分享给好友吧!
我知道了
右上角分享
点击右上角分享
0
联系我们:info@booksci.cn Book学术提供免费学术资源搜索服务,方便国内外学者检索中英文文献。致力于提供最便捷和优质的服务体验。 Copyright © 2023 布克学术 All rights reserved.
京ICP备2023020795号-1
ghs 京公网安备 11010802042870号
Book学术文献互助
Book学术文献互助群
群 号:604180095
Book学术官方微信