Thermo-Responsive Poly (N-isopropyl acrylamide-b-vinylimidazole)/Pd Catalyst: Catalytic Application of Suzuki–Miyaura Coupling Reaction in Water

IF 2.3 4区 化学 Q3 CHEMISTRY, PHYSICAL
Soheila Ghasemi, Najme Zare, Milad Ghezelsofloo, Abdulhamid Dehghani, Hadieh Rahbar Kafshboran
{"title":"Thermo-Responsive Poly (N-isopropyl acrylamide-b-vinylimidazole)/Pd Catalyst: Catalytic Application of Suzuki–Miyaura Coupling Reaction in Water","authors":"Soheila Ghasemi,&nbsp;Najme Zare,&nbsp;Milad Ghezelsofloo,&nbsp;Abdulhamid Dehghani,&nbsp;Hadieh Rahbar Kafshboran","doi":"10.1007/s10563-024-09445-y","DOIUrl":null,"url":null,"abstract":"<div><p>This study reports a facile procedure for synthesizing and characterizing a novel catalyst based on thermo-responsive poly (<i>N</i>-isopropyl acrylamide-<i>b</i>-vinylimidazole)/Pd catalyst (PNIPAM-<i>b</i>-PVIm/Pd). A well-structured diblock copolymer was prepared using RAFT-controlled strategy. Initially, PNIPAM was fabricated with a lower critical solution temperature (LCST) at around 32 °C. Within another step, PNIPAM as a macro-RAFT agent and vinylimidazole as a monomer were utilized for synthesizing PNIPAM-<i>b</i>-PVIm. The reaction of PNIPAM-<i>b</i>-PVIm with Pd(OAc)<sub>2</sub> for one day, taken after applying NaBH<sub>4</sub> as a reducing agent, led to the synthesizing of PNIPAM-<i>b</i>-PVIm supported Pd. This new catalyst was characterized by different methods, <i>i.e.</i>, ICP, FT-IR, NMR, UV–Vis spectrophotometer, TGA, DLS, SEM, EDX, and SEC. This catalytic system was utilized to deliver an assortment of substituted biaryl compounds in water with good to excellent yields through the Suzuki coupling reaction. The greatest advantage of this catalytic platform is related to the reusability of the catalyst up to 7 times and non-use of organic solvent in coupling reactions. Simple purification of the coupling products due to the effortless recyclability of the catalysts is another characteristic of the method. This important characteristic is achieved by just adding diethyl ether to the reaction mixture to extract the biphenyls. The catalyst remains intact in aqueous phase and reused in other reaction runs without considerable loss of efficiency.</p></div>","PeriodicalId":509,"journal":{"name":"Catalysis Surveys from Asia","volume":"29 2","pages":"139 - 154"},"PeriodicalIF":2.3000,"publicationDate":"2025-01-05","publicationTypes":"Journal Article","fieldsOfStudy":null,"isOpenAccess":false,"openAccessPdf":"","citationCount":"0","resultStr":null,"platform":"Semanticscholar","paperid":null,"PeriodicalName":"Catalysis Surveys from Asia","FirstCategoryId":"92","ListUrlMain":"https://link.springer.com/article/10.1007/s10563-024-09445-y","RegionNum":4,"RegionCategory":"化学","ArticlePicture":[],"TitleCN":null,"AbstractTextCN":null,"PMCID":null,"EPubDate":"","PubModel":"","JCR":"Q3","JCRName":"CHEMISTRY, PHYSICAL","Score":null,"Total":0}
引用次数: 0

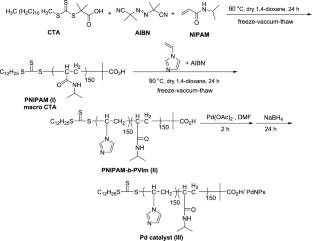
Abstract

This study reports a facile procedure for synthesizing and characterizing a novel catalyst based on thermo-responsive poly (N-isopropyl acrylamide-b-vinylimidazole)/Pd catalyst (PNIPAM-b-PVIm/Pd). A well-structured diblock copolymer was prepared using RAFT-controlled strategy. Initially, PNIPAM was fabricated with a lower critical solution temperature (LCST) at around 32 °C. Within another step, PNIPAM as a macro-RAFT agent and vinylimidazole as a monomer were utilized for synthesizing PNIPAM-b-PVIm. The reaction of PNIPAM-b-PVIm with Pd(OAc)2 for one day, taken after applying NaBH4 as a reducing agent, led to the synthesizing of PNIPAM-b-PVIm supported Pd. This new catalyst was characterized by different methods, i.e., ICP, FT-IR, NMR, UV–Vis spectrophotometer, TGA, DLS, SEM, EDX, and SEC. This catalytic system was utilized to deliver an assortment of substituted biaryl compounds in water with good to excellent yields through the Suzuki coupling reaction. The greatest advantage of this catalytic platform is related to the reusability of the catalyst up to 7 times and non-use of organic solvent in coupling reactions. Simple purification of the coupling products due to the effortless recyclability of the catalysts is another characteristic of the method. This important characteristic is achieved by just adding diethyl ether to the reaction mixture to extract the biphenyls. The catalyst remains intact in aqueous phase and reused in other reaction runs without considerable loss of efficiency.

Abstract Image

热响应型聚(n -异丙基丙烯酰胺-b-乙烯基咪唑)/钯催化剂:水中Suzuki-Miyaura偶联反应的催化应用
本研究报告了一种基于热敏性聚(n -异丙基丙烯酰胺-b-乙烯基咪唑)/Pd催化剂(PNIPAM-b-PVIm/Pd)的简单合成和表征方法。采用raft控制策略制备了结构良好的二嵌段共聚物。最初,PNIPAM是在32°C左右的较低临界溶液温度(LCST)下制造的。以PNIPAM为宏筏剂,乙烯基咪唑为单体,合成了PNIPAM-b- pvim。以NaBH4为还原剂,将PNIPAM-b-PVIm与Pd(OAc)2反应1天,合成PNIPAM-b-PVIm负载Pd。通过ICP、FT-IR、NMR、UV-Vis分光光度计、TGA、DLS、SEM、EDX和SEC等不同的方法对该催化剂进行了表征。该催化体系通过Suzuki偶联反应在水中以优异的收率传递了各种取代的联芳基化合物。该催化平台最大的优点是催化剂可重复使用7次,并且在偶联反应中不使用有机溶剂。由于催化剂的可回收性,偶联产物的纯化简单,这是该方法的另一个特点。这个重要的特性是通过在反应混合物中加入乙醚来提取联苯来实现的。催化剂在水相中保持完整,并在其他反应中重复使用,而不会造成相当大的效率损失。
本文章由计算机程序翻译,如有差异,请以英文原文为准。
求助全文
约1分钟内获得全文 求助全文
来源期刊
Catalysis Surveys from Asia
Catalysis Surveys from Asia 化学-物理化学
CiteScore
4.80
自引率
0.00%
发文量
29
审稿时长
>12 weeks
期刊介绍: Early dissemination of important findings from Asia which may lead to new concepts in catalyst design is the main aim of this journal. Rapid, invited, short reviews and perspectives from academia and industry will constitute the major part of Catalysis Surveys from Asia . Surveys of recent progress and activities in catalytic science and technology and related areas in Asia will be covered regularly as well. We would appreciate critical comments from colleagues throughout the world about articles in Catalysis Surveys from Asia . If requested and thought appropriate, the comments will be included in the journal. We will be very happy if this journal stimulates global communication between scientists and engineers in the world of catalysis.
×
引用
GB/T 7714-2015
复制
MLA
复制
APA
复制
导出至
BibTeX EndNote RefMan NoteFirst NoteExpress
×
提示
您的信息不完整,为了账户安全,请先补充。
现在去补充
×
提示
您因"违规操作"
具体请查看互助需知
我知道了
×
提示
确定
请完成安全验证×
copy
已复制链接
快去分享给好友吧!
我知道了
右上角分享
点击右上角分享
0
联系我们:info@booksci.cn Book学术提供免费学术资源搜索服务,方便国内外学者检索中英文文献。致力于提供最便捷和优质的服务体验。 Copyright © 2023 布克学术 All rights reserved.
京ICP备2023020795号-1
ghs 京公网安备 11010802042870号
Book学术文献互助
Book学术文献互助群
群 号:604180095
Book学术官方微信