Health-related quality of life in patients with unresectable hepatocellular carcinoma treated with SIRT and nivolumab: a sub-analysis of the NASIR-HCC trial.

IF 2.9 Q2 HEALTH CARE SCIENCES & SERVICES
Manuel De la Torre-Aláez, Ana Matilla, María Varela, Mercedes Iñarrairaegui, María Reig, José Luis Lledó, Juan Ignacio Arenas, Sara Lorente, Milagros Testillano, Laura Márquez, Gemma Iserte, Josepmaria Argemí, Carlos Gómez-Martin, Macarena Rodríguez-Fraile, José I Bilbao, Richard F Pollock, Johannes Pöhlmann, Ion Agirrezabal, Bruno Sangro
{"title":"Health-related quality of life in patients with unresectable hepatocellular carcinoma treated with SIRT and nivolumab: a sub-analysis of the NASIR-HCC trial.","authors":"Manuel De la Torre-Aláez, Ana Matilla, María Varela, Mercedes Iñarrairaegui, María Reig, José Luis Lledó, Juan Ignacio Arenas, Sara Lorente, Milagros Testillano, Laura Márquez, Gemma Iserte, Josepmaria Argemí, Carlos Gómez-Martin, Macarena Rodríguez-Fraile, José I Bilbao, Richard F Pollock, Johannes Pöhlmann, Ion Agirrezabal, Bruno Sangro","doi":"10.1186/s41687-025-00873-6","DOIUrl":null,"url":null,"abstract":"<p><strong>Background: </strong>The health-related quality of life (HRQoL) impact of therapies for hepatocellular carcinoma (HCC) influences decision-making and treatment outcomes. The present study reports HRQoL results from NASIR-HCC, a single-arm study of selective internal radiation therapy (SIRT) with Y90 resin microspheres followed by nivolumab for unresectable HCC.</p><p><strong>Methodology: </strong>Participants completed the EQ-5D-3 L, EQ-VAS, and FACT-Hep at baseline and on the first day of each nivolumab cycle. Linear mixed-effect models were used to calculate changes in outcomes in participants with the baseline and ≥ 1 follow-up measurement. Changes were assessed for clinical meaningfulness versus published minimally important differences.</p><p><strong>Results: </strong>Thirty-two patients from NASIR-HCC were included. Completion rates exceeded 70% at 62% of time points. Across EQ-5D-3 L domains, minimal changes were reported. Most patients had no problems at almost all time points. Mean index values were 0.864 at baseline and 0.763 in cycle 8, but this difference was not clinically meaningful. The small EQ-VAS increase, from 74.8 at baseline to 75.9 in cycle 8, was also not clinically meaningful. The various FACT scales remained stable, although transient but not clinically meaningful declines occurred for some scales. The median time to deterioration was 5.5 months for the FACT-Hep score.</p><p><strong>Conclusions: </strong>Combining SIRT with nivolumab did not compromise HRQoL in patients with unresectable HCC. Study results were limited by the small number of patients but, combined with the previously reported clinical outcomes, suggested that the treatment combination deserves further consideration in this difficult-to-treat population.</p><p><strong>Trial registration number/date of registration: </strong>NCT03380130. First submitted on 2017-10-20; https://clinicaltrials.gov/study/NCT03380130 .</p>","PeriodicalId":36660,"journal":{"name":"Journal of Patient-Reported Outcomes","volume":"9 1","pages":"39"},"PeriodicalIF":2.9000,"publicationDate":"2025-04-08","publicationTypes":"Journal Article","fieldsOfStudy":null,"isOpenAccess":false,"openAccessPdf":"https://www.ncbi.nlm.nih.gov/pmc/articles/PMC11978598/pdf/","citationCount":"0","resultStr":null,"platform":"Semanticscholar","paperid":null,"PeriodicalName":"Journal of Patient-Reported Outcomes","FirstCategoryId":"1085","ListUrlMain":"https://doi.org/10.1186/s41687-025-00873-6","RegionNum":0,"RegionCategory":null,"ArticlePicture":[],"TitleCN":null,"AbstractTextCN":null,"PMCID":null,"EPubDate":"","PubModel":"","JCR":"Q2","JCRName":"HEALTH CARE SCIENCES & SERVICES","Score":null,"Total":0}
引用次数: 0

Abstract

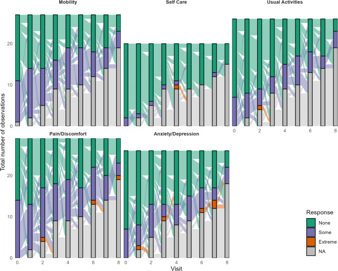
Background: The health-related quality of life (HRQoL) impact of therapies for hepatocellular carcinoma (HCC) influences decision-making and treatment outcomes. The present study reports HRQoL results from NASIR-HCC, a single-arm study of selective internal radiation therapy (SIRT) with Y90 resin microspheres followed by nivolumab for unresectable HCC.

Methodology: Participants completed the EQ-5D-3 L, EQ-VAS, and FACT-Hep at baseline and on the first day of each nivolumab cycle. Linear mixed-effect models were used to calculate changes in outcomes in participants with the baseline and ≥ 1 follow-up measurement. Changes were assessed for clinical meaningfulness versus published minimally important differences.

Results: Thirty-two patients from NASIR-HCC were included. Completion rates exceeded 70% at 62% of time points. Across EQ-5D-3 L domains, minimal changes were reported. Most patients had no problems at almost all time points. Mean index values were 0.864 at baseline and 0.763 in cycle 8, but this difference was not clinically meaningful. The small EQ-VAS increase, from 74.8 at baseline to 75.9 in cycle 8, was also not clinically meaningful. The various FACT scales remained stable, although transient but not clinically meaningful declines occurred for some scales. The median time to deterioration was 5.5 months for the FACT-Hep score.

Conclusions: Combining SIRT with nivolumab did not compromise HRQoL in patients with unresectable HCC. Study results were limited by the small number of patients but, combined with the previously reported clinical outcomes, suggested that the treatment combination deserves further consideration in this difficult-to-treat population.

Trial registration number/date of registration: NCT03380130. First submitted on 2017-10-20; https://clinicaltrials.gov/study/NCT03380130 .

Abstract Image

Abstract Image

Abstract Image

接受SIRT和纳武单抗治疗的不可切除肝细胞癌患者的健康相关生活质量:NASIR-HCC试验的亚分析
背景:肝细胞癌(HCC)疗法对健康相关生活质量(HRQoL)的影响会影响决策和治疗效果。本研究报告了NASIR-HCC的HRQoL结果,NASIR-HCC是一项使用Y90树脂微球进行选择性内放射治疗(SIRT),然后使用nivolumab治疗不可切除的HCC的单臂研究:参与者在基线和每个 nivolumab 周期的第一天填写 EQ-5D-3 L、EQ-VAS 和 FACT-Hep。采用线性混合效应模型计算基线和≥1次随访测量参与者的结果变化。根据临床意义与已公布的最小重要差异对变化进行评估:纳入了 32 名来自 NASIR-HCC 的患者。62%的时间点完成率超过70%。据报告,EQ-5D-3 L 领域的变化极小。大多数患者在几乎所有的时间点都没有问题。基线时的平均指数值为 0.864,第 8 周期为 0.763,但这一差异并无临床意义。EQ-VAS 从基线的 74.8 微升至第 8 个周期的 75.9,也没有临床意义。各种 FACT 量表保持稳定,但某些量表出现了短暂的下降,但无临床意义。FACT-Hep 评分恶化的中位时间为 5.5 个月:结论:SIRT与nivolumab联合治疗不会损害无法切除的HCC患者的HRQoL。研究结果因患者人数较少而受到限制,但结合之前报道的临床结果,在这一难以治疗的人群中,这种治疗组合值得进一步考虑:NCT03380130。首次提交日期:2017-10-20;https://clinicaltrials.gov/study/NCT03380130 。
本文章由计算机程序翻译,如有差异,请以英文原文为准。
求助全文
约1分钟内获得全文 求助全文
来源期刊
Journal of Patient-Reported Outcomes
Journal of Patient-Reported Outcomes Health Professions-Health Information Management
CiteScore
3.80
自引率
7.40%
发文量
120
审稿时长
20 weeks
×
引用
GB/T 7714-2015
复制
MLA
复制
APA
复制
导出至
BibTeX EndNote RefMan NoteFirst NoteExpress
×
提示
您的信息不完整,为了账户安全,请先补充。
现在去补充
×
提示
您因"违规操作"
具体请查看互助需知
我知道了
×
提示
确定
请完成安全验证×
copy
已复制链接
快去分享给好友吧!
我知道了
右上角分享
点击右上角分享
0
联系我们:info@booksci.cn Book学术提供免费学术资源搜索服务,方便国内外学者检索中英文文献。致力于提供最便捷和优质的服务体验。 Copyright © 2023 布克学术 All rights reserved.
京ICP备2023020795号-1
ghs 京公网安备 11010802042870号
Book学术文献互助
Book学术文献互助群
群 号:604180095
Book学术官方微信