Adiposity rebound and body mass index in Japanese patients with congenital hypothyroidism.

IF 1.2 Q4 ENDOCRINOLOGY & METABOLISM
Clinical Pediatric Endocrinology Pub Date : 2025-04-01 Epub Date: 2025-03-23 DOI:10.1297/cpe.2024-0075
Kanako Nakayama, Naoya Kaneko, Nozomi Hishimura, Takeshi Yamaguchi, Shuntaro Morikawa, Isao Yokota, Hotaka Kamasaki, Keisuke Nagasaki, Yukihiro Hasegawa, Akie Nakamura
{"title":"Adiposity rebound and body mass index in Japanese patients with congenital hypothyroidism.","authors":"Kanako Nakayama, Naoya Kaneko, Nozomi Hishimura, Takeshi Yamaguchi, Shuntaro Morikawa, Isao Yokota, Hotaka Kamasaki, Keisuke Nagasaki, Yukihiro Hasegawa, Akie Nakamura","doi":"10.1297/cpe.2024-0075","DOIUrl":null,"url":null,"abstract":"<p><p>The long-term prognosis of congenital hypothyroidism (CH) has become apparent since the introduction of newborn screening programs; however, the risk of obesity in patients with CH remains unclear. Early adiposity rebound (AR) is one of the predictors of obesity in adults. This study evaluated AR and the adolescent body mass index (BMI) in Japanese patients with CH. We longitudinally collected anthropometric measurements from 288 patients aged 1-10 yr and plotted their BMI curves to determine the age at onset of AR. We also evaluated the effects of thyroid function, presence of distal femoral epiphysis (DFE) ossification, and disease type on AR age and adolescent BMI. The mean AR ages were determined to be 5.5 ± 1.4 yr in boys and 5.9 ± 1.5 yr in girls. There were no significant differences in AR age or adolescent BMI according to thyroid-stimulating hormone or free T4 levels before treatment initiation or according to disease type. However, at the last visit, more than half of the boys without DFE ossification had higher BMI SD scores than those with DFE ossification. These findings raise the possibility that severe prolonged fetal hypothyroidism may have a lasting influence after birth despite early treatment initiation.</p>","PeriodicalId":10678,"journal":{"name":"Clinical Pediatric Endocrinology","volume":"34 2","pages":"121-130"},"PeriodicalIF":1.2000,"publicationDate":"2025-04-01","publicationTypes":"Journal Article","fieldsOfStudy":null,"isOpenAccess":false,"openAccessPdf":"https://www.ncbi.nlm.nih.gov/pmc/articles/PMC11972873/pdf/","citationCount":"0","resultStr":null,"platform":"Semanticscholar","paperid":null,"PeriodicalName":"Clinical Pediatric Endocrinology","FirstCategoryId":"1085","ListUrlMain":"https://doi.org/10.1297/cpe.2024-0075","RegionNum":0,"RegionCategory":null,"ArticlePicture":[],"TitleCN":null,"AbstractTextCN":null,"PMCID":null,"EPubDate":"2025/3/23 0:00:00","PubModel":"Epub","JCR":"Q4","JCRName":"ENDOCRINOLOGY & METABOLISM","Score":null,"Total":0}
引用次数: 0

Abstract

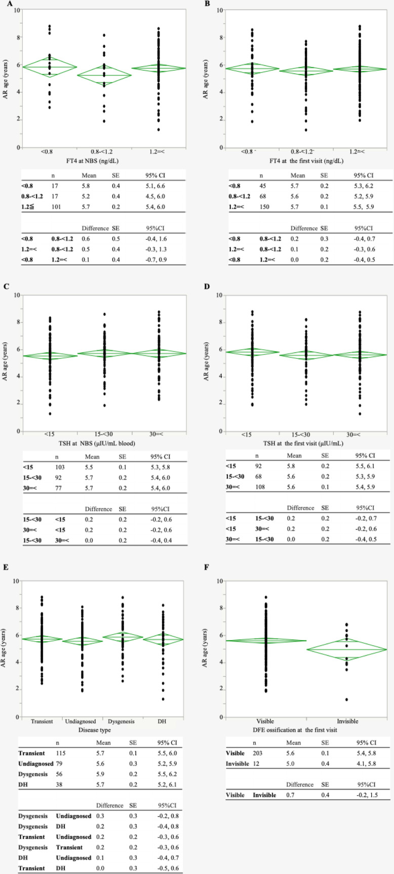
The long-term prognosis of congenital hypothyroidism (CH) has become apparent since the introduction of newborn screening programs; however, the risk of obesity in patients with CH remains unclear. Early adiposity rebound (AR) is one of the predictors of obesity in adults. This study evaluated AR and the adolescent body mass index (BMI) in Japanese patients with CH. We longitudinally collected anthropometric measurements from 288 patients aged 1-10 yr and plotted their BMI curves to determine the age at onset of AR. We also evaluated the effects of thyroid function, presence of distal femoral epiphysis (DFE) ossification, and disease type on AR age and adolescent BMI. The mean AR ages were determined to be 5.5 ± 1.4 yr in boys and 5.9 ± 1.5 yr in girls. There were no significant differences in AR age or adolescent BMI according to thyroid-stimulating hormone or free T4 levels before treatment initiation or according to disease type. However, at the last visit, more than half of the boys without DFE ossification had higher BMI SD scores than those with DFE ossification. These findings raise the possibility that severe prolonged fetal hypothyroidism may have a lasting influence after birth despite early treatment initiation.

Abstract Image

Abstract Image

Abstract Image

日本先天性甲状腺功能减退症患者的肥胖反弹和体重指数。
先天性甲状腺功能减退症(CH)的长期预后自从新生儿筛查项目的引入已经变得明显;然而,CH患者的肥胖风险仍不清楚。早期肥胖反弹(AR)是成人肥胖的预测因素之一。本研究评估了日本CH患者的AR和青少年体重指数(BMI)。我们纵向收集了288名年龄在1-10岁的患者的人体测量数据,并绘制了他们的BMI曲线,以确定AR的发病年龄。我们还评估了甲状腺功能、股骨远端骨骺(DFE)骨化的存在和疾病类型对AR年龄和青少年BMI的影响。男孩平均AR年龄为5.5±1.4岁,女孩平均AR年龄为5.9±1.5岁。根据治疗前促甲状腺激素或游离T4水平或疾病类型,AR年龄和青少年BMI无显著差异。然而,在最后一次访问时,超过一半没有DFE骨化的男孩的BMI SD评分高于有DFE骨化的男孩。这些发现提出了一种可能性,即尽管早期开始治疗,严重的长期胎儿甲状腺功能减退症可能在出生后产生持久的影响。
本文章由计算机程序翻译,如有差异,请以英文原文为准。
求助全文
约1分钟内获得全文 求助全文
来源期刊
Clinical Pediatric Endocrinology
Clinical Pediatric Endocrinology ENDOCRINOLOGY & METABOLISM-
CiteScore
2.40
自引率
7.10%
发文量
34
×
引用
GB/T 7714-2015
复制
MLA
复制
APA
复制
导出至
BibTeX EndNote RefMan NoteFirst NoteExpress
×
提示
您的信息不完整,为了账户安全,请先补充。
现在去补充
×
提示
您因"违规操作"
具体请查看互助需知
我知道了
×
提示
确定
请完成安全验证×
copy
已复制链接
快去分享给好友吧!
我知道了
右上角分享
点击右上角分享
0
联系我们:info@booksci.cn Book学术提供免费学术资源搜索服务,方便国内外学者检索中英文文献。致力于提供最便捷和优质的服务体验。 Copyright © 2023 布克学术 All rights reserved.
京ICP备2023020795号-1
ghs 京公网安备 11010802042870号
Book学术文献互助
Book学术文献互助群
群 号:604180095
Book学术官方微信