Paraquat resistance mutations have differential effects on plant fitness in two rice cultivars.

IF 4.3 3区 生物学 Q2 BIOCHEMISTRY & MOLECULAR BIOLOGY
Jared B Fudge, Teresa B Fitzpatrick
{"title":"Paraquat resistance mutations have differential effects on plant fitness in two rice cultivars.","authors":"Jared B Fudge, Teresa B Fitzpatrick","doi":"10.1042/BCJ20240683","DOIUrl":null,"url":null,"abstract":"<p><p>Paraquat is a fast-acting non-selective herbicide widely used globally to eradicate weeds. The emergence of weed resistance has fueled the drive to understand molecular mechanistic aspects and develop crops resistant to the herbicide. The transport of paraquat is mediated by members of the L-amino acid transporter family and are prime targets for the development of resistance. However, these transporters also facilitate the transport of natural essential molecules such as polyamines and thiamine (vitamin B1), at least in Arabidopsis, but have not undergone rigorous investigation in crops. Here we report on disruption of the polyamine transporter PUT3 in two japonica rice cultivars. Both rice put3 mutant alleles are resistant to paraquat and display low percentage germination concomitant with altered polyamine profiles whereas thiamine is unchanged. Notwithstanding, seedlings that germinate behave like wild type in the Tainung 67 cultivar, whereas further growth and development is strongly impaired by disruption of PUT3 in the Hwayoung cultivar. The growth phenotype could be complemented by ectopic expression of PUT3, which also restores the polyamine profile thus linking the defects to disruption of the gene. Our study provides biological insight into the divergent characteristics of rice cultivar tissues as a function of their polyamine profile and a warning to exercise caution upon disruption of transporters to facilitate paraquat resistance in crops as this may also lead to severe fitness penalties.</p>","PeriodicalId":8825,"journal":{"name":"Biochemical Journal","volume":" ","pages":""},"PeriodicalIF":4.3000,"publicationDate":"2025-04-08","publicationTypes":"Journal Article","fieldsOfStudy":null,"isOpenAccess":false,"openAccessPdf":"https://www.ncbi.nlm.nih.gov/pmc/articles/PMC12203966/pdf/","citationCount":"0","resultStr":null,"platform":"Semanticscholar","paperid":null,"PeriodicalName":"Biochemical Journal","FirstCategoryId":"99","ListUrlMain":"https://doi.org/10.1042/BCJ20240683","RegionNum":3,"RegionCategory":"生物学","ArticlePicture":[],"TitleCN":null,"AbstractTextCN":null,"PMCID":null,"EPubDate":"","PubModel":"","JCR":"Q2","JCRName":"BIOCHEMISTRY & MOLECULAR BIOLOGY","Score":null,"Total":0}
引用次数: 0

Abstract

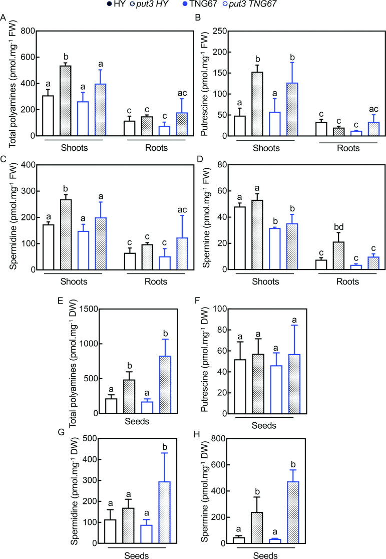
Paraquat is a fast-acting non-selective herbicide widely used globally to eradicate weeds. The emergence of weed resistance has fueled the drive to understand molecular mechanistic aspects and develop crops resistant to the herbicide. The transport of paraquat is mediated by members of the L-amino acid transporter family and are prime targets for the development of resistance. However, these transporters also facilitate the transport of natural essential molecules such as polyamines and thiamine (vitamin B1), at least in Arabidopsis, but have not undergone rigorous investigation in crops. Here we report on disruption of the polyamine transporter PUT3 in two japonica rice cultivars. Both rice put3 mutant alleles are resistant to paraquat and display low percentage germination concomitant with altered polyamine profiles whereas thiamine is unchanged. Notwithstanding, seedlings that germinate behave like wild type in the Tainung 67 cultivar, whereas further growth and development is strongly impaired by disruption of PUT3 in the Hwayoung cultivar. The growth phenotype could be complemented by ectopic expression of PUT3, which also restores the polyamine profile thus linking the defects to disruption of the gene. Our study provides biological insight into the divergent characteristics of rice cultivar tissues as a function of their polyamine profile and a warning to exercise caution upon disruption of transporters to facilitate paraquat resistance in crops as this may also lead to severe fitness penalties.

Abstract Image

Abstract Image

Abstract Image

抗百草枯突变对两个水稻品种的植株适合度有不同的影响。
百草枯是一种速效非选择性除草剂,在全球范围内广泛应用于除草。杂草抗性的出现推动了了解分子机制方面和开发抗除草剂作物的动力。百草枯的转运是由l -氨基酸转运蛋白家族成员介导的,是产生抗性的主要目标。然而,至少在拟南芥中,这些转运蛋白也促进天然必需分子(如多胺和硫胺素(维生素B1))的运输,但尚未在作物中进行严格的研究。本文报道了两个粳稻品种多胺转运体PUT3的破坏。这两个突变等位基因都对百草枯具有抗性,并表现出低发芽率,同时多胺谱发生改变,而硫胺素不变。尽管如此,在台农67中,发芽的幼苗表现与野生型相似,而在hwayyoung中,PUT3的破坏严重损害了幼苗的进一步生长和发育。生长表型可以通过PUT3的异位表达来补充,这也恢复了多胺谱,从而将缺陷与基因的破坏联系起来。我们的研究为水稻品种组织的不同特征提供了生物学上的见解,作为其多胺谱的功能,并警告要谨慎对待转运蛋白的破坏,以促进作物对百草枯的抗性,因为这也可能导致严重的适应性损失。
本文章由计算机程序翻译,如有差异,请以英文原文为准。
求助全文
约1分钟内获得全文 求助全文
来源期刊
Biochemical Journal
Biochemical Journal 生物-生化与分子生物学
CiteScore
8.00
自引率
0.00%
发文量
255
审稿时长
1 months
期刊介绍: Exploring the molecular mechanisms that underpin key biological processes, the Biochemical Journal is a leading bioscience journal publishing high-impact scientific research papers and reviews on the latest advances and new mechanistic concepts in the fields of biochemistry, cellular biosciences and molecular biology. The Journal and its Editorial Board are committed to publishing work that provides a significant advance to current understanding or mechanistic insights; studies that go beyond observational work using in vitro and/or in vivo approaches are welcomed. Painless publishing: All papers undergo a rigorous peer review process; however, the Editorial Board is committed to ensuring that, if revisions are recommended, extra experiments not necessary to the paper will not be asked for. Areas covered in the journal include: Cell biology Chemical biology Energy processes Gene expression and regulation Mechanisms of disease Metabolism Molecular structure and function Plant biology Signalling
×
引用
GB/T 7714-2015
复制
MLA
复制
APA
复制
导出至
BibTeX EndNote RefMan NoteFirst NoteExpress
×
提示
您的信息不完整,为了账户安全,请先补充。
现在去补充
×
提示
您因"违规操作"
具体请查看互助需知
我知道了
×
提示
确定
请完成安全验证×
copy
已复制链接
快去分享给好友吧!
我知道了
右上角分享
点击右上角分享
0
联系我们:info@booksci.cn Book学术提供免费学术资源搜索服务,方便国内外学者检索中英文文献。致力于提供最便捷和优质的服务体验。 Copyright © 2023 布克学术 All rights reserved.
京ICP备2023020795号-1
ghs 京公网安备 11010802042870号
Book学术文献互助
Book学术文献互助群
群 号:604180095
Book学术官方微信