Dietary silymarin supplementation enhances chemotherapy efficacy of capecitabine and irinotecan and mitigates hepatotoxicity in a mouse model of colon cancer.

IF 2.1 Q3 CHEMISTRY, MEDICINAL
Research in Pharmaceutical Sciences Pub Date : 2025-02-20 eCollection Date: 2025-02-01 DOI:10.4103/RPS.RPS_204_24
Sepideh Hassani, Hassan Malekinejad, Mohammad Hassan Khadem-Ansari, Ata Abbasi, Fatemeh Kheradmand
{"title":"Dietary silymarin supplementation enhances chemotherapy efficacy of capecitabine and irinotecan and mitigates hepatotoxicity in a mouse model of colon cancer.","authors":"Sepideh Hassani, Hassan Malekinejad, Mohammad Hassan Khadem-Ansari, Ata Abbasi, Fatemeh Kheradmand","doi":"10.4103/RPS.RPS_204_24","DOIUrl":null,"url":null,"abstract":"<p><strong>Background and purpose: </strong>The flavonoid silymarin (SMN) has shown promise due to its antioxidant, anti-inflammatory, and anticancer properties. SMN has been widely used in preclinical and clinical studies to treat various types of cancer, alone and with chemotherapy agents. Recent research suggests that SMN may increase conventional chemotherapy efficacy and reduce adverse effects. Herein, we investigated the therapeutic efficacy of SMN and its combination with capecitabine (CAP) and irinotecan (IRI) in a mouse model of colon cancer.</p><p><strong>Experimental approach: </strong>Following 1,2 dimethylhydrazine-induced colon cancer, a modified diet supplemented with SMN (2500 ppm) and mono- and combined therapy of CAP and IRI was used. Serum samples were analyzed for lipid profile, liver function, and inflammatory cytokines. Oxidative stress and inflammation markers, including malondialdehyde (MDA), nitric oxide (NO), myeloperoxidase (MPO), superoxide dismutase (SOD), and glutathione peroxidase (GPx) were measured in colonic, hepatic, and circulatory samples. Colonic BAX and Bcl-2 levels were examined <i>via</i> western blotting and histopathological analysis of colon sections was conducted.</p><p><strong>Findings/results: </strong>SMN alone and combined with chemotherapeutic agents significantly mitigated the elevated inflammatory cytokines liver function enzyme levels, and hyperlipidemia. Furthermore, SMN supplementation with chemotherapy agents enhanced antioxidant activity and reduced lipid peroxidation and inflammatory markers. Significant upregulation of BAX and downregulation of Bcl-2 were observed. In addition, treatment regimens ameliorated carcinogen-induced polyp multiplicity, adenoma formation, dysplastic changes, and lymphocytic aggregation.</p><p><strong>Conclusion and implications: </strong>Our results demonstrated that the potential anticancer properties of SMN could enhance chemotherapy efficacy and reduce carcinogen- and chemotherapy-induced hepatotoxicity.</p>","PeriodicalId":21075,"journal":{"name":"Research in Pharmaceutical Sciences","volume":"20 1","pages":"77-94"},"PeriodicalIF":2.1000,"publicationDate":"2025-02-20","publicationTypes":"Journal Article","fieldsOfStudy":null,"isOpenAccess":false,"openAccessPdf":"https://www.ncbi.nlm.nih.gov/pmc/articles/PMC11972028/pdf/","citationCount":"0","resultStr":null,"platform":"Semanticscholar","paperid":null,"PeriodicalName":"Research in Pharmaceutical Sciences","FirstCategoryId":"1085","ListUrlMain":"https://doi.org/10.4103/RPS.RPS_204_24","RegionNum":0,"RegionCategory":null,"ArticlePicture":[],"TitleCN":null,"AbstractTextCN":null,"PMCID":null,"EPubDate":"2025/2/1 0:00:00","PubModel":"eCollection","JCR":"Q3","JCRName":"CHEMISTRY, MEDICINAL","Score":null,"Total":0}
引用次数: 0

Abstract

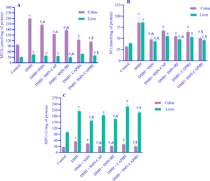
Background and purpose: The flavonoid silymarin (SMN) has shown promise due to its antioxidant, anti-inflammatory, and anticancer properties. SMN has been widely used in preclinical and clinical studies to treat various types of cancer, alone and with chemotherapy agents. Recent research suggests that SMN may increase conventional chemotherapy efficacy and reduce adverse effects. Herein, we investigated the therapeutic efficacy of SMN and its combination with capecitabine (CAP) and irinotecan (IRI) in a mouse model of colon cancer.

Experimental approach: Following 1,2 dimethylhydrazine-induced colon cancer, a modified diet supplemented with SMN (2500 ppm) and mono- and combined therapy of CAP and IRI was used. Serum samples were analyzed for lipid profile, liver function, and inflammatory cytokines. Oxidative stress and inflammation markers, including malondialdehyde (MDA), nitric oxide (NO), myeloperoxidase (MPO), superoxide dismutase (SOD), and glutathione peroxidase (GPx) were measured in colonic, hepatic, and circulatory samples. Colonic BAX and Bcl-2 levels were examined via western blotting and histopathological analysis of colon sections was conducted.

Findings/results: SMN alone and combined with chemotherapeutic agents significantly mitigated the elevated inflammatory cytokines liver function enzyme levels, and hyperlipidemia. Furthermore, SMN supplementation with chemotherapy agents enhanced antioxidant activity and reduced lipid peroxidation and inflammatory markers. Significant upregulation of BAX and downregulation of Bcl-2 were observed. In addition, treatment regimens ameliorated carcinogen-induced polyp multiplicity, adenoma formation, dysplastic changes, and lymphocytic aggregation.

Conclusion and implications: Our results demonstrated that the potential anticancer properties of SMN could enhance chemotherapy efficacy and reduce carcinogen- and chemotherapy-induced hepatotoxicity.

Abstract Image

Abstract Image

Abstract Image

在结肠癌小鼠模型中,膳食补充水飞蓟素可增强卡培他滨和伊立替康的化疗效果并减轻肝毒性。
背景与目的:类黄酮水飞蓟素(SMN)因其抗氧化、抗炎和抗癌的特性而被广泛应用。SMN已广泛应用于临床前和临床研究,用于治疗各种类型的癌症,无论是单独治疗还是与化疗药物联合治疗。最近的研究表明,SMN可以提高常规化疗的疗效,减少不良反应。本研究探讨SMN及其联合卡培他滨(CAP)、伊立替康(IRI)治疗结肠癌小鼠模型的疗效。实验方法:1,2二甲基肼诱导结肠癌后,采用添加SMN (2500 ppm)的改良饮食以及CAP和IRI的单一和联合治疗。分析血清样本的血脂、肝功能和炎症细胞因子。在结肠、肝脏和循环样本中检测氧化应激和炎症标志物,包括丙二醛(MDA)、一氧化氮(NO)、髓过氧化物酶(MPO)、超氧化物歧化酶(SOD)和谷胱甘肽过氧化物酶(GPx)。western blotting检测结肠BAX和Bcl-2水平,并对结肠切片进行组织病理学分析。结果:SMN单独或联合化疗药物可显著缓解炎症因子、肝功能、酶水平升高和高脂血症。此外,SMN补充化疗药物增强抗氧化活性,减少脂质过氧化和炎症标志物。BAX显著上调,Bcl-2显著下调。此外,治疗方案改善了癌变诱导的息肉多样性、腺瘤形成、发育不良改变和淋巴细胞聚集。结论和意义:我们的研究结果表明,SMN具有潜在的抗癌特性,可以提高化疗疗效,减少致癌物质和化疗引起的肝毒性。
本文章由计算机程序翻译,如有差异,请以英文原文为准。
求助全文
约1分钟内获得全文 求助全文
来源期刊
Research in Pharmaceutical Sciences
Research in Pharmaceutical Sciences CHEMISTRY, MEDICINAL-
CiteScore
3.60
自引率
19.00%
发文量
50
审稿时长
34 weeks
期刊介绍: Research in Pharmaceutical Sciences (RPS) is included in Thomson Reuters ESCI Web of Science (searchable at WoS master journal list), indexed with PubMed and PubMed Central and abstracted in the Elsevier Bibliographic Databases. Databases include Scopus, EMBASE, EMCare, EMBiology and Elsevier BIOBASE. It is also indexed in several specialized databases including Scientific Information Database (SID), Google Scholar, Iran Medex, Magiran, Index Copernicus (IC) and Islamic World Science Citation Center (ISC).
×
引用
GB/T 7714-2015
复制
MLA
复制
APA
复制
导出至
BibTeX EndNote RefMan NoteFirst NoteExpress
×
提示
您的信息不完整,为了账户安全,请先补充。
现在去补充
×
提示
您因"违规操作"
具体请查看互助需知
我知道了
×
提示
确定
请完成安全验证×
copy
已复制链接
快去分享给好友吧!
我知道了
右上角分享
点击右上角分享
0
联系我们:info@booksci.cn Book学术提供免费学术资源搜索服务,方便国内外学者检索中英文文献。致力于提供最便捷和优质的服务体验。 Copyright © 2023 布克学术 All rights reserved.
京ICP备2023020795号-1
ghs 京公网安备 11010802042870号
Book学术文献互助
Book学术文献互助群
群 号:604180095
Book学术官方微信