Serum and plasma sphingolipids as biomarkers of chemotherapy-induced cardiotoxicity in female patients with breast cancer.

IF 4.1 2区 医学 Q1 BIOCHEMISTRY & MOLECULAR BIOLOGY
Journal of Lipid Research Pub Date : 2025-05-01 Epub Date: 2025-04-05 DOI:10.1016/j.jlr.2025.100798
Samia Mohammed, Andreas P Kalogeropoulos, Victoria Alvarado, Michelle Weisfelner-Bloom, Christopher J Clarke
{"title":"Serum and plasma sphingolipids as biomarkers of chemotherapy-induced cardiotoxicity in female patients with breast cancer.","authors":"Samia Mohammed, Andreas P Kalogeropoulos, Victoria Alvarado, Michelle Weisfelner-Bloom, Christopher J Clarke","doi":"10.1016/j.jlr.2025.100798","DOIUrl":null,"url":null,"abstract":"<p><p>Although effective as a chemotherapeutic, the utility of Doxorubicin (Dox) is hampered by cardiotoxicity. Despite this, the ability to predict and guide monitoring of patients receiving Dox is hampered by a lack of effective biomarkers to identify susceptible patients and detect early signs of subclinical cardiotoxicity. Based on their well-established roles in the response to Dox and other chemotherapies, we performed a retrospective analysis of serum and plasma sphingolipids (SLs) from female patients with breast cancer (BC) undergoing anthracycline-containing therapy, correlating with cardiac parameters assessed by echocardiography. Results showed substantial changes in both plasma and serum SL species during therapy including ceramide (Cer), deoxydihydroCer, and dihydrosphingosine with reversion toward baseline after treatment. Linear mixed-effects model analysis revealed that baseline levels of a number of SLs correlated with adverse cardiac outcomes. Here, serum sphingosine-1-phosphate (S1P), dihydroS1P, and plasma Cer performed comparably to the prognostic value of pro-NT-BNP, an established biomarker of cardiotoxicity. Intriguingly, while pro-NT-BNP had no predictive value at mid- and post-therapy timepoints, serum S1P and dihydroS1P, and plasma Cer levels showed a correlation with adverse outcomes, particularly at the post-therapy timepoint. Finally, analysis of plasma and serum C16:C24-Cer ratios-previously linked with adverse cardiac outcomes-showed no correlation in the context of chemotherapy treatment. Overall, this pilot study provides initial evidence that plasma and serum SLs may have benefits as both prognostic and diagnostic biomarkers for female BC patients undergoing anthracycline-containing chemotherapy. Consequently, diagnostic SL measurements-recently implemented for metabolic-associated cardiac disorders-could have wider utility.</p>","PeriodicalId":16209,"journal":{"name":"Journal of Lipid Research","volume":" ","pages":"100798"},"PeriodicalIF":4.1000,"publicationDate":"2025-05-01","publicationTypes":"Journal Article","fieldsOfStudy":null,"isOpenAccess":false,"openAccessPdf":"https://www.ncbi.nlm.nih.gov/pmc/articles/PMC12127548/pdf/","citationCount":"0","resultStr":null,"platform":"Semanticscholar","paperid":null,"PeriodicalName":"Journal of Lipid Research","FirstCategoryId":"99","ListUrlMain":"https://doi.org/10.1016/j.jlr.2025.100798","RegionNum":2,"RegionCategory":"医学","ArticlePicture":[],"TitleCN":null,"AbstractTextCN":null,"PMCID":null,"EPubDate":"2025/4/5 0:00:00","PubModel":"Epub","JCR":"Q1","JCRName":"BIOCHEMISTRY & MOLECULAR BIOLOGY","Score":null,"Total":0}
引用次数: 0

Abstract

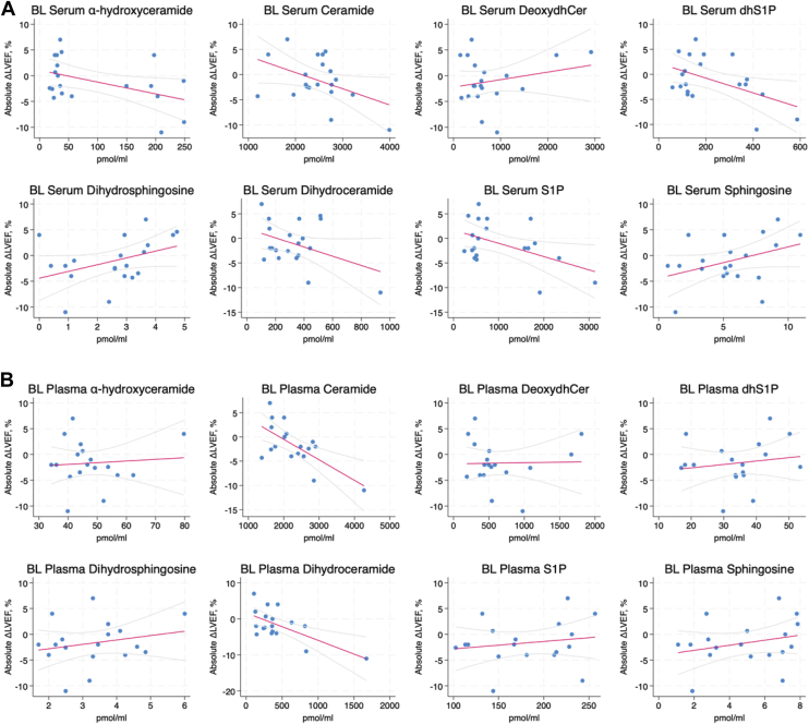
Although effective as a chemotherapeutic, the utility of Doxorubicin (Dox) is hampered by cardiotoxicity. Despite this, the ability to predict and guide monitoring of patients receiving Dox is hampered by a lack of effective biomarkers to identify susceptible patients and detect early signs of subclinical cardiotoxicity. Based on their well-established roles in the response to Dox and other chemotherapies, we performed a retrospective analysis of serum and plasma sphingolipids (SLs) from female patients with breast cancer (BC) undergoing anthracycline-containing therapy, correlating with cardiac parameters assessed by echocardiography. Results showed substantial changes in both plasma and serum SL species during therapy including ceramide (Cer), deoxydihydroCer, and dihydrosphingosine with reversion toward baseline after treatment. Linear mixed-effects model analysis revealed that baseline levels of a number of SLs correlated with adverse cardiac outcomes. Here, serum sphingosine-1-phosphate (S1P), dihydroS1P, and plasma Cer performed comparably to the prognostic value of pro-NT-BNP, an established biomarker of cardiotoxicity. Intriguingly, while pro-NT-BNP had no predictive value at mid- and post-therapy timepoints, serum S1P and dihydroS1P, and plasma Cer levels showed a correlation with adverse outcomes, particularly at the post-therapy timepoint. Finally, analysis of plasma and serum C16:C24-Cer ratios-previously linked with adverse cardiac outcomes-showed no correlation in the context of chemotherapy treatment. Overall, this pilot study provides initial evidence that plasma and serum SLs may have benefits as both prognostic and diagnostic biomarkers for female BC patients undergoing anthracycline-containing chemotherapy. Consequently, diagnostic SL measurements-recently implemented for metabolic-associated cardiac disorders-could have wider utility.

Abstract Image

Abstract Image

Abstract Image

血清和血浆鞘脂作为女性乳腺癌患者化疗诱导的心脏毒性的生物标志物。
虽然作为一种有效的化疗药物,阿霉素(Dox)的效用受到心脏毒性的阻碍。尽管如此,由于缺乏有效的生物标志物来识别易感患者和检测亚临床心脏毒性的早期迹象,预测和指导对接受阿霉素治疗患者的监测的能力受到阻碍。基于鞘脂在阿霉素和其他化疗药物应答中的作用,我们对接受蒽环类药物治疗的女性乳腺癌(BC)患者的血清和血浆鞘脂(SLs)进行了回顾性分析,并通过超声心动图评估其与心脏参数的相关性。结果显示,治疗期间血浆和血清SL种类发生了实质性变化,包括神经酰胺(Cer)、脱氧二氢氢和二氢鞘氨醇,治疗后向基线回落。线性混合效应模型分析显示,一些SLs的基线水平与不良心脏结局相关。在这里,血清鞘氨醇-1-磷酸(S1P)和二氢S1P以及血浆Cer的预后价值与前nt - bnp(一种已建立的心脏毒性生物标志物)的预后价值相当。有趣的是,虽然在治疗中期和治疗后时间点,亲nt - bnp没有预测价值,但血清S1P、二氢S1P和血浆Cer水平与不良结局相关,尤其是在治疗后时间点。最后,分析血浆和血清C16:C24-Cer比率-先前与不良心脏结果相关-显示在化疗的背景下没有相关性。总的来说,这项初步研究提供了初步证据,表明血浆和血清SLs可能对接受蒽环类药物化疗的女性BC患者的预后和诊断生物标志物都有好处。因此,最近用于代谢相关心脏疾病的诊断性SL测量可能具有更广泛的用途。
本文章由计算机程序翻译,如有差异,请以英文原文为准。
求助全文
约1分钟内获得全文 求助全文
来源期刊
Journal of Lipid Research
Journal of Lipid Research 生物-生化与分子生物学
CiteScore
11.10
自引率
4.60%
发文量
146
审稿时长
41 days
期刊介绍: The Journal of Lipid Research (JLR) publishes original articles and reviews in the broadly defined area of biological lipids. We encourage the submission of manuscripts relating to lipids, including those addressing problems in biochemistry, molecular biology, structural biology, cell biology, genetics, molecular medicine, clinical medicine and metabolism. Major criteria for acceptance of articles are new insights into mechanisms of lipid function and metabolism and/or genes regulating lipid metabolism along with sound primary experimental data. Interpretation of the data is the authors’ responsibility, and speculation should be labeled as such. Manuscripts that provide new ways of purifying, identifying and quantifying lipids are invited for the Methods section of the Journal. JLR encourages contributions from investigators in all countries, but articles must be submitted in clear and concise English.
×
引用
GB/T 7714-2015
复制
MLA
复制
APA
复制
导出至
BibTeX EndNote RefMan NoteFirst NoteExpress
×
提示
您的信息不完整,为了账户安全,请先补充。
现在去补充
×
提示
您因"违规操作"
具体请查看互助需知
我知道了
×
提示
确定
请完成安全验证×
copy
已复制链接
快去分享给好友吧!
我知道了
右上角分享
点击右上角分享
0
联系我们:info@booksci.cn Book学术提供免费学术资源搜索服务,方便国内外学者检索中英文文献。致力于提供最便捷和优质的服务体验。 Copyright © 2023 布克学术 All rights reserved.
京ICP备2023020795号-1
ghs 京公网安备 11010802042870号
Book学术文献互助
Book学术文献互助群
群 号:604180095
Book学术官方微信