Pharmacokinetic/Pharmacodynamic Modeling of the Acute Heart Rate Effects of Delta-9 Tetrahydrocannabinol and Its Major Metabolites After Intravenous Injection in Healthy Volunteers.

IF 2.4 4区 医学 Q3 PHARMACOLOGY & PHARMACY
W R Wolowich, R Greif, L Theiler, Maren Kleine-Brueggeney
{"title":"Pharmacokinetic/Pharmacodynamic Modeling of the Acute Heart Rate Effects of Delta-9 Tetrahydrocannabinol and Its Major Metabolites After Intravenous Injection in Healthy Volunteers.","authors":"W R Wolowich, R Greif, L Theiler, Maren Kleine-Brueggeney","doi":"10.1007/s13318-025-00941-8","DOIUrl":null,"url":null,"abstract":"<p><strong>Background and objectives: </strong>Cannabis consumption is increasing in both the recreational and medical settings. Tetrahydrocannabinol (THC) is known to produce cardiovascular effects, but the specific roles of THC and its metabolites THC-OH and THC-COOH in cannabinoid-induced cardiovascular effects remain unclear. We hypothesized that THC and THC-OH mediate a cannabinoid-induced increase in heart rate in either an additive or synergistic fashion.</p><p><strong>Methods: </strong>The present study uses prospectively obtained data to evaluate the effect of THC and its metabolites on heart rate in healthy volunteers through non-linear mixed-effect pharmacokinetic/pharmacodynamic (PK/PD) modeling.</p><p><strong>Results: </strong>The PK/PD models reveal that THC, THC-OH and a combination of THC and THC-OH, but not THC-COOH, are responsible for THC-induced tachycardia. The EC50 of the THC Emax model was 0.53 µM, 25-fold the EC50 for the THC-OH Emax model. The General Empiric Dynamic Model indicates that THC and THC-OH act synergistically to increase heart rate. Neither sex nor CYP2C9 polymorphism contributes to THC-induced tachycardia.</p><p><strong>Conclusion: </strong>THC-OH but not THC-COOH contributes to the heart rate effect of THC and THC-OH may be acting in a synergistic manner with THC. This contributes to understanding the cardiovascular effects of THC and cannabis-induced cardiovascular events. Future research including further hemodynamic data will allow a detailed systems pharmacology or response surface model approach.</p><p><strong>Trial registration: </strong>www.isrctn.com ; registration number ISRCTN53019164.</p>","PeriodicalId":11939,"journal":{"name":"European Journal of Drug Metabolism and Pharmacokinetics","volume":" ","pages":"229-242"},"PeriodicalIF":2.4000,"publicationDate":"2025-05-01","publicationTypes":"Journal Article","fieldsOfStudy":null,"isOpenAccess":false,"openAccessPdf":"https://www.ncbi.nlm.nih.gov/pmc/articles/PMC12081532/pdf/","citationCount":"0","resultStr":null,"platform":"Semanticscholar","paperid":null,"PeriodicalName":"European Journal of Drug Metabolism and Pharmacokinetics","FirstCategoryId":"3","ListUrlMain":"https://doi.org/10.1007/s13318-025-00941-8","RegionNum":4,"RegionCategory":"医学","ArticlePicture":[],"TitleCN":null,"AbstractTextCN":null,"PMCID":null,"EPubDate":"2025/4/5 0:00:00","PubModel":"Epub","JCR":"Q3","JCRName":"PHARMACOLOGY & PHARMACY","Score":null,"Total":0}
引用次数: 0

Abstract

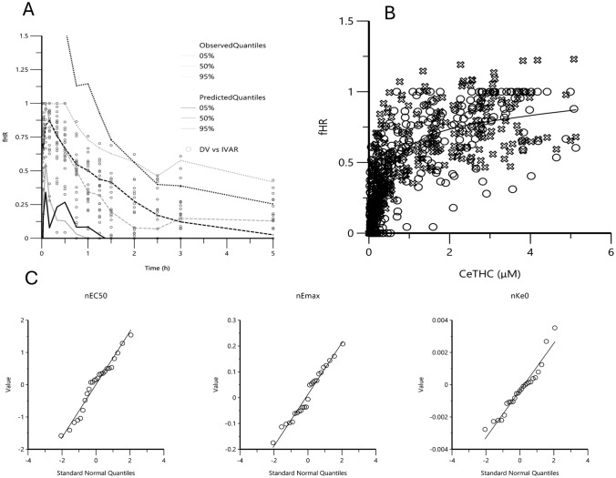
Background and objectives: Cannabis consumption is increasing in both the recreational and medical settings. Tetrahydrocannabinol (THC) is known to produce cardiovascular effects, but the specific roles of THC and its metabolites THC-OH and THC-COOH in cannabinoid-induced cardiovascular effects remain unclear. We hypothesized that THC and THC-OH mediate a cannabinoid-induced increase in heart rate in either an additive or synergistic fashion.

Methods: The present study uses prospectively obtained data to evaluate the effect of THC and its metabolites on heart rate in healthy volunteers through non-linear mixed-effect pharmacokinetic/pharmacodynamic (PK/PD) modeling.

Results: The PK/PD models reveal that THC, THC-OH and a combination of THC and THC-OH, but not THC-COOH, are responsible for THC-induced tachycardia. The EC50 of the THC Emax model was 0.53 µM, 25-fold the EC50 for the THC-OH Emax model. The General Empiric Dynamic Model indicates that THC and THC-OH act synergistically to increase heart rate. Neither sex nor CYP2C9 polymorphism contributes to THC-induced tachycardia.

Conclusion: THC-OH but not THC-COOH contributes to the heart rate effect of THC and THC-OH may be acting in a synergistic manner with THC. This contributes to understanding the cardiovascular effects of THC and cannabis-induced cardiovascular events. Future research including further hemodynamic data will allow a detailed systems pharmacology or response surface model approach.

Trial registration: www.isrctn.com ; registration number ISRCTN53019164.

Abstract Image

Abstract Image

Abstract Image

健康志愿者静脉注射δ -9四氢大麻酚及其主要代谢物对急性心率影响的药代动力学/药效学模型
背景和目标:娱乐和医疗场所的大麻消费都在增加。四氢大麻酚(THC)具有心血管效应,但THC及其代谢物THC- oh和THC- cooh在大麻素诱导的心血管效应中的具体作用尚不清楚。我们假设THC和THC- oh以相加或协同的方式介导大麻素诱导的心率增加。方法:本研究采用前瞻性数据,通过非线性混合效应药代动力学/药效学(PK/PD)模型,评价四氢大麻酚及其代谢物对健康志愿者心率的影响。结果:PK/PD模型显示THC、THC- oh以及THC和THC- oh的联合作用与THC诱导的心动过速有关,但与THC- cooh无关。THC Emax模型EC50为0.53µM,是THC- oh Emax模型EC50的25倍。一般经验动态模型表明,四氢大麻酚和四氢大麻酚- oh协同作用,提高心率。性别和CYP2C9多态性与四氢大麻酚诱导的心动过速无关。结论:THC- oh参与THC的心率效应,THC- oh可能与THC协同作用。这有助于理解四氢大麻酚和大麻诱导的心血管事件对心血管的影响。未来的研究包括进一步的血流动力学数据将允许详细的系统药理学或反应面模型方法。试验注册:www.isrctn.com;注册号ISRCTN53019164。
本文章由计算机程序翻译,如有差异,请以英文原文为准。
求助全文
约1分钟内获得全文 求助全文
来源期刊
CiteScore
3.70
自引率
0.00%
发文量
64
审稿时长
>12 weeks
期刊介绍: Hepatology International is a peer-reviewed journal featuring articles written by clinicians, clinical researchers and basic scientists is dedicated to research and patient care issues in hepatology. This journal focuses mainly on new and emerging diagnostic and treatment options, protocols and molecular and cellular basis of disease pathogenesis, new technologies, in liver and biliary sciences. Hepatology International publishes original research articles related to clinical care and basic research; review articles; consensus guidelines for diagnosis and treatment; invited editorials, and controversies in contemporary issues. The journal does not publish case reports.
×
引用
GB/T 7714-2015
复制
MLA
复制
APA
复制
导出至
BibTeX EndNote RefMan NoteFirst NoteExpress
×
提示
您的信息不完整,为了账户安全,请先补充。
现在去补充
×
提示
您因"违规操作"
具体请查看互助需知
我知道了
×
提示
确定
请完成安全验证×
copy
已复制链接
快去分享给好友吧!
我知道了
右上角分享
点击右上角分享
0
联系我们:info@booksci.cn Book学术提供免费学术资源搜索服务,方便国内外学者检索中英文文献。致力于提供最便捷和优质的服务体验。 Copyright © 2023 布克学术 All rights reserved.
京ICP备2023020795号-1
ghs 京公网安备 11010802042870号
Book学术文献互助
Book学术文献互助群
群 号:604180095
Book学术官方微信