Sexually transmitted infections among pre-exposure prophylaxis users in a Swedish multi-centre cohort.

IF 3.9 3区 医学 Q1 PUBLIC, ENVIRONMENTAL & OCCUPATIONAL HEALTH
Tobias Herder, Fredrik Månsson, Petra Tunbäck, Karin Sanner, Magnus Gisslén, Ester Fridenström, Minna Dawar, Susanne Strömdahl
{"title":"Sexually transmitted infections among pre-exposure prophylaxis users in a Swedish multi-centre cohort.","authors":"Tobias Herder, Fredrik Månsson, Petra Tunbäck, Karin Sanner, Magnus Gisslén, Ester Fridenström, Minna Dawar, Susanne Strömdahl","doi":"10.1093/eurpub/ckaf034","DOIUrl":null,"url":null,"abstract":"<p><p>An additional upsurge in bacterial STIs has been observed in Sweden following HIV pre-exposure prophylaxis (PrEP) implementation. From a prevention perspective, it is of relevance to optimize testing strategies within PrEP programmes to identify those most at risk. An open retrospective longitudinal observational cohort study was performed at three STI clinics in Uppsala, Gothenburg, and Malmö. A questionnaire and journal data regarding STI were collected from a sample of 199 MSM enrolled in the PrEP programmes and providing informed consent. Incident bacterial STIs during follow-up were analyzed with descriptive statistics, Poisson regression, and Cox regression. Median follow-up time was 632 days. A total of 270 gonorrhoea or chlamydia infections were recorded during PrEP follow-up, compared to 194 cases in the 2-year period prior to enrolment, giving an incidence rate ratio (IRR) of 1.56 (CI 95% 1.30-1.89). The testing frequency increased by 75% (IRR 1.69, CI 95% 1.60-1.90). For diagnoses of active syphilis, the increase was 108% (IRR 2.08. CI 95% 1.04-4.06), compared with a 5-year period preceding enrolment. The hazard ratio of time (days) until a first STI after PrEP initiation was 2.87 (CI 95% 1.72-4.80) for those having had a STI prior to PrEP initiation and 2.06 (CI 95% 1.03-4.13) for those reporting experience of group sex in the past year compared with those who had not. STI prior to PrEP initiation and group sex were associated with STI after initiation of PrEP, factors that could be considered if needing prioritizing the frequency of STI screening.</p>","PeriodicalId":12059,"journal":{"name":"European Journal of Public Health","volume":" ","pages":"752-759"},"PeriodicalIF":3.9000,"publicationDate":"2025-08-01","publicationTypes":"Journal Article","fieldsOfStudy":null,"isOpenAccess":false,"openAccessPdf":"https://www.ncbi.nlm.nih.gov/pmc/articles/PMC12311361/pdf/","citationCount":"0","resultStr":null,"platform":"Semanticscholar","paperid":null,"PeriodicalName":"European Journal of Public Health","FirstCategoryId":"3","ListUrlMain":"https://doi.org/10.1093/eurpub/ckaf034","RegionNum":3,"RegionCategory":"医学","ArticlePicture":[],"TitleCN":null,"AbstractTextCN":null,"PMCID":null,"EPubDate":"","PubModel":"","JCR":"Q1","JCRName":"PUBLIC, ENVIRONMENTAL & OCCUPATIONAL HEALTH","Score":null,"Total":0}
引用次数: 0

Abstract

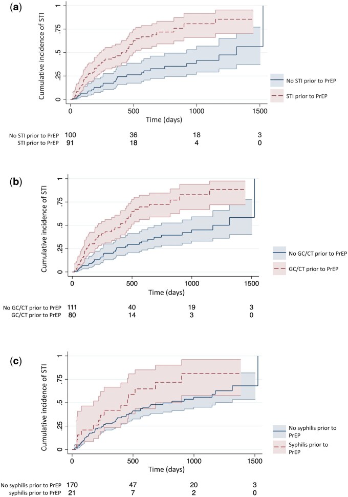
An additional upsurge in bacterial STIs has been observed in Sweden following HIV pre-exposure prophylaxis (PrEP) implementation. From a prevention perspective, it is of relevance to optimize testing strategies within PrEP programmes to identify those most at risk. An open retrospective longitudinal observational cohort study was performed at three STI clinics in Uppsala, Gothenburg, and Malmö. A questionnaire and journal data regarding STI were collected from a sample of 199 MSM enrolled in the PrEP programmes and providing informed consent. Incident bacterial STIs during follow-up were analyzed with descriptive statistics, Poisson regression, and Cox regression. Median follow-up time was 632 days. A total of 270 gonorrhoea or chlamydia infections were recorded during PrEP follow-up, compared to 194 cases in the 2-year period prior to enrolment, giving an incidence rate ratio (IRR) of 1.56 (CI 95% 1.30-1.89). The testing frequency increased by 75% (IRR 1.69, CI 95% 1.60-1.90). For diagnoses of active syphilis, the increase was 108% (IRR 2.08. CI 95% 1.04-4.06), compared with a 5-year period preceding enrolment. The hazard ratio of time (days) until a first STI after PrEP initiation was 2.87 (CI 95% 1.72-4.80) for those having had a STI prior to PrEP initiation and 2.06 (CI 95% 1.03-4.13) for those reporting experience of group sex in the past year compared with those who had not. STI prior to PrEP initiation and group sex were associated with STI after initiation of PrEP, factors that could be considered if needing prioritizing the frequency of STI screening.

Abstract Image

瑞典多中心队列暴露前预防使用者中的性传播感染
在瑞典实施艾滋病毒暴露前预防措施后,观察到细菌性传播感染的增加。从预防的角度来看,优化预防规划内的检测策略,以确定风险最大的人是有意义的。在乌普萨拉、哥德堡和Malmö的三家性传播感染诊所进行了一项开放的回顾性纵向观察队列研究。从199名参加PrEP项目并提供知情同意的男男性行为者样本中收集了关于性传播感染的问卷和期刊数据。采用描述性统计、泊松回归和Cox回归分析随访期间细菌性性传播感染事件。中位随访时间为632天。在PrEP随访期间共记录了270例淋病或衣原体感染,与入组前2年期间的194例相比,发病率比(IRR)为1.56 (CI 95% 1.30-1.89)。检测频率增加75% (IRR 1.69, CI 95% 1.60-1.90)。活动性梅毒的诊断增加了108% (IRR 2.08)。CI 95% 1.04-4.06),与入组前5年相比。在开始PrEP之前有过性传播感染的人与没有经历过群体性行为的人相比,在开始PrEP之前有过性传播感染的时间(天)的风险比为2.87 (CI 95% 1.72-4.80),在过去一年中有过群体性行为的人与没有经历过群体性行为的人相比,风险比为2.06 (CI 95% 1.03-4.13)。开始PrEP之前的性传播感染和群体性行为与开始PrEP后的性传播感染相关,如果需要优先考虑性传播感染筛查频率,可以考虑这些因素。
本文章由计算机程序翻译,如有差异,请以英文原文为准。
求助全文
约1分钟内获得全文 求助全文
来源期刊
European Journal of Public Health
European Journal of Public Health 医学-公共卫生、环境卫生与职业卫生
CiteScore
5.60
自引率
2.30%
发文量
2039
审稿时长
3-8 weeks
期刊介绍: The European Journal of Public Health (EJPH) is a multidisciplinary journal aimed at attracting contributions from epidemiology, health services research, health economics, social sciences, management sciences, ethics and law, environmental health sciences, and other disciplines of relevance to public health. The journal provides a forum for discussion and debate of current international public health issues, with a focus on the European Region. Bi-monthly issues contain peer-reviewed original articles, editorials, commentaries, book reviews, news, letters to the editor, announcements of events, and various other features.
×
引用
GB/T 7714-2015
复制
MLA
复制
APA
复制
导出至
BibTeX EndNote RefMan NoteFirst NoteExpress
×
提示
您的信息不完整,为了账户安全,请先补充。
现在去补充
×
提示
您因"违规操作"
具体请查看互助需知
我知道了
×
提示
确定
请完成安全验证×
copy
已复制链接
快去分享给好友吧!
我知道了
右上角分享
点击右上角分享
0
联系我们:info@booksci.cn Book学术提供免费学术资源搜索服务,方便国内外学者检索中英文文献。致力于提供最便捷和优质的服务体验。 Copyright © 2023 布克学术 All rights reserved.
京ICP备2023020795号-1
ghs 京公网安备 11010802042870号
Book学术文献互助
Book学术文献互助群
群 号:604180095
Book学术官方微信