Neoadjuvant camrelizumab plus trastuzumab and chemotherapy for HER2-positive gastric or gastroesophageal junction adenocarcinoma: a single-arm, phase 2 trial.

IF 5.1 1区 医学 Q1 GASTROENTEROLOGY & HEPATOLOGY
Gastric Cancer Pub Date : 2025-07-01 Epub Date: 2025-04-04 DOI:10.1007/s10120-025-01606-w
Yijie Ma, Zhi Li, Chen Wei, Jian Zhang, Qiang Fu, Zhandong Zhang, Chuang Shang, Jinbang Wang, Xiangbin Wan, Bin Zhang, Yongchao Zhang, Jing Li, He Zhang, Liangyu Bie, Qingxin Xia, Suxia Luo, Ning Li
{"title":"Neoadjuvant camrelizumab plus trastuzumab and chemotherapy for HER2-positive gastric or gastroesophageal junction adenocarcinoma: a single-arm, phase 2 trial.","authors":"Yijie Ma, Zhi Li, Chen Wei, Jian Zhang, Qiang Fu, Zhandong Zhang, Chuang Shang, Jinbang Wang, Xiangbin Wan, Bin Zhang, Yongchao Zhang, Jing Li, He Zhang, Liangyu Bie, Qingxin Xia, Suxia Luo, Ning Li","doi":"10.1007/s10120-025-01606-w","DOIUrl":null,"url":null,"abstract":"<p><strong>Background: </strong>The impact of neoadjuvant combined chemotherapy, immunotherapy, and targeted therapy on pathologic responses and survival outcomes in HER2-positive locally advanced gastric cancer remains unclear.</p><p><strong>Patients and methods: </strong>In this single-arm, phase 2 trial, patients with HER2-positive resectable cT4 and/or N + M0 gastric or gastroesophageal junction (G/GEJ) adenocarcinoma received four cycles of neoadjuvant camrelizumab plus trastuzumab and CapOx, followed by D2 gastrectomy and four cycles of CapOx. The primary endpoint was pathological complete response (pCR, ypT0N0) rate.</p><p><strong>Results: </strong>Twenty-five patients were enrolled and received neoadjuvant combination treatment. Of these patients, 11 (44%) were in cT3 and 14 (56%) in cT4a; all had positive nodal status. Of the 23 patients who underwent surgery, 5 (21.7%, 95% CI: 7.5-43.7) achieved pCR (ypT0N0), and 7 (30.4%, 95% CI: 13.2-52.9) achieved near pCR (ypT0). The R0 resection rate was 100%. During a median follow-up of 41.0 months, no patients with pCR had recurrence or death. In contrast, five of 18 patients with non-pCR had recurrence, and four of them died. The three-year disease-free survival rate was 78.3%. During neoadjuvant treatment, grade 3 adverse events were observed in 36% of patients, with no grade 4 or 5 adverse events reported. No treatment-related surgical delay or reoperation occurred.</p><p><strong>Conclusion: </strong>Neoadjuvant camrelizumab plus trastuzumab and chemotherapy demonstrated favorable response and tolerable safety in HER2-positive G/GEJ adenocarcinoma.</p>","PeriodicalId":12684,"journal":{"name":"Gastric Cancer","volume":" ","pages":"652-661"},"PeriodicalIF":5.1000,"publicationDate":"2025-07-01","publicationTypes":"Journal Article","fieldsOfStudy":null,"isOpenAccess":false,"openAccessPdf":"https://www.ncbi.nlm.nih.gov/pmc/articles/PMC12174190/pdf/","citationCount":"0","resultStr":null,"platform":"Semanticscholar","paperid":null,"PeriodicalName":"Gastric Cancer","FirstCategoryId":"3","ListUrlMain":"https://doi.org/10.1007/s10120-025-01606-w","RegionNum":1,"RegionCategory":"医学","ArticlePicture":[],"TitleCN":null,"AbstractTextCN":null,"PMCID":null,"EPubDate":"2025/4/4 0:00:00","PubModel":"Epub","JCR":"Q1","JCRName":"GASTROENTEROLOGY & HEPATOLOGY","Score":null,"Total":0}
引用次数: 0

Abstract

Background: The impact of neoadjuvant combined chemotherapy, immunotherapy, and targeted therapy on pathologic responses and survival outcomes in HER2-positive locally advanced gastric cancer remains unclear.

Patients and methods: In this single-arm, phase 2 trial, patients with HER2-positive resectable cT4 and/or N + M0 gastric or gastroesophageal junction (G/GEJ) adenocarcinoma received four cycles of neoadjuvant camrelizumab plus trastuzumab and CapOx, followed by D2 gastrectomy and four cycles of CapOx. The primary endpoint was pathological complete response (pCR, ypT0N0) rate.

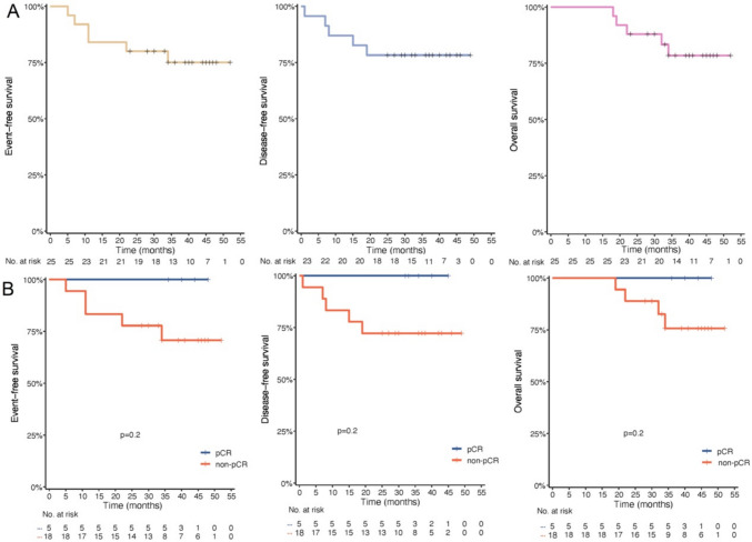
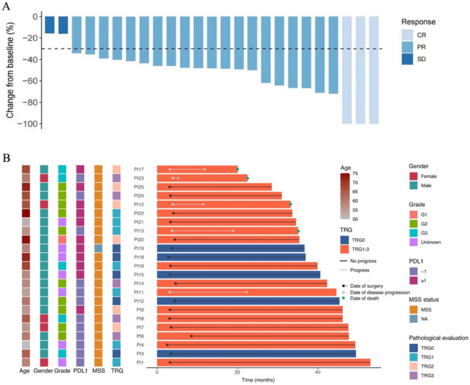
Results: Twenty-five patients were enrolled and received neoadjuvant combination treatment. Of these patients, 11 (44%) were in cT3 and 14 (56%) in cT4a; all had positive nodal status. Of the 23 patients who underwent surgery, 5 (21.7%, 95% CI: 7.5-43.7) achieved pCR (ypT0N0), and 7 (30.4%, 95% CI: 13.2-52.9) achieved near pCR (ypT0). The R0 resection rate was 100%. During a median follow-up of 41.0 months, no patients with pCR had recurrence or death. In contrast, five of 18 patients with non-pCR had recurrence, and four of them died. The three-year disease-free survival rate was 78.3%. During neoadjuvant treatment, grade 3 adverse events were observed in 36% of patients, with no grade 4 or 5 adverse events reported. No treatment-related surgical delay or reoperation occurred.

Conclusion: Neoadjuvant camrelizumab plus trastuzumab and chemotherapy demonstrated favorable response and tolerable safety in HER2-positive G/GEJ adenocarcinoma.

Abstract Image

Abstract Image

Abstract Image

新辅助camrelizumab +曲妥珠单抗和化疗治疗her2阳性胃或胃食管交界处腺癌:单臂,2期试验
背景:新辅助联合化疗、免疫治疗和靶向治疗对her2阳性局部晚期胃癌的病理反应和生存结局的影响尚不清楚。患者和方法:在这项单臂2期试验中,her2阳性可切除的cT4和/或N + M0胃或胃食管交界(G/GEJ)腺癌患者接受了4个周期的新辅助camrelizumab +曲妥珠单抗和CapOx,随后进行D2胃切除术和4个周期的CapOx。主要终点为病理完全缓解(pCR, ypT0N0)率。结果:25例患者接受新辅助联合治疗。在这些患者中,11例(44%)为cT3, 14例(56%)为cT4a;均为阳性节点状态。在接受手术的23例患者中,5例(21.7%,95% CI: 7.5-43.7)实现了pCR (ypT0N0), 7例(30.4%,95% CI: 13.2-52.9)实现了近pCR (ypT0)。R0切除率100%。在中位随访41.0个月期间,没有pCR患者复发或死亡。相比之下,18例非pcr患者中有5例复发,其中4例死亡。3年无病生存率为78.3%。在新辅助治疗期间,36%的患者观察到3级不良事件,未报告4级或5级不良事件。无治疗相关的手术延迟或再手术发生。结论:新辅助camrelizumab联合曲妥珠单抗和化疗在her2阳性G/GEJ腺癌中表现出良好的反应和耐受安全性。
本文章由计算机程序翻译,如有差异,请以英文原文为准。
求助全文
约1分钟内获得全文 求助全文
来源期刊
Gastric Cancer
Gastric Cancer 医学-胃肠肝病学
CiteScore
14.70
自引率
2.70%
发文量
80
审稿时长
6-12 weeks
期刊介绍: Gastric Cancer is an esteemed global forum that focuses on various aspects of gastric cancer research, treatment, and biology worldwide. The journal promotes a diverse range of content, including original articles, case reports, short communications, and technical notes. It also welcomes Letters to the Editor discussing published articles or sharing viewpoints on gastric cancer topics. Review articles are predominantly sought after by the Editor, ensuring comprehensive coverage of the field. With a dedicated and knowledgeable editorial team, the journal is committed to providing exceptional support and ensuring high levels of author satisfaction. In fact, over 90% of published authors have expressed their intent to publish again in our esteemed journal.
×
引用
GB/T 7714-2015
复制
MLA
复制
APA
复制
导出至
BibTeX EndNote RefMan NoteFirst NoteExpress
×
提示
您的信息不完整,为了账户安全,请先补充。
现在去补充
×
提示
您因"违规操作"
具体请查看互助需知
我知道了
×
提示
确定
请完成安全验证×
copy
已复制链接
快去分享给好友吧!
我知道了
右上角分享
点击右上角分享
0
联系我们:info@booksci.cn Book学术提供免费学术资源搜索服务,方便国内外学者检索中英文文献。致力于提供最便捷和优质的服务体验。 Copyright © 2023 布克学术 All rights reserved.
京ICP备2023020795号-1
ghs 京公网安备 11010802042870号
Book学术文献互助
Book学术文献互助群
群 号:604180095
Book学术官方微信