Chromosome 1p Loss and 1q Gain for Grading of Meningioma.

IF 20.1 1区 医学 Q1 Biochemistry, Genetics and Molecular Biology
Alexander P Landry, Justin Z Wang, Vikas Patil, Jeff Liu, Chloe Gui, Yosef Ellenbogen, Andrew Ajisebutu, Leeor Yefet, Qingxia Wei, Olivia Singh, Julio Sosa, Sheila Mansouri, Aaron A Cohen-Gadol, Ghazaleh Tabatabai, Marcos Tatagiba, Felix Behling, Jill S Barnholtz-Sloan, Andrew E Sloan, Silky Chotai, Lola B Chambless, Alireza Mansouri, Serge Makarenko, Stephen Yip, Felix Ehret, David Capper, Derek S Tsang, Jennifer Moliterno, Murat Gunel, Pieter Wesseling, Felix Sahm, Kenneth Aldape, Andrew Gao, Gelareh Zadeh, Farshad Nassiri
{"title":"Chromosome 1p Loss and 1q Gain for Grading of Meningioma.","authors":"Alexander P Landry, Justin Z Wang, Vikas Patil, Jeff Liu, Chloe Gui, Yosef Ellenbogen, Andrew Ajisebutu, Leeor Yefet, Qingxia Wei, Olivia Singh, Julio Sosa, Sheila Mansouri, Aaron A Cohen-Gadol, Ghazaleh Tabatabai, Marcos Tatagiba, Felix Behling, Jill S Barnholtz-Sloan, Andrew E Sloan, Silky Chotai, Lola B Chambless, Alireza Mansouri, Serge Makarenko, Stephen Yip, Felix Ehret, David Capper, Derek S Tsang, Jennifer Moliterno, Murat Gunel, Pieter Wesseling, Felix Sahm, Kenneth Aldape, Andrew Gao, Gelareh Zadeh, Farshad Nassiri","doi":"10.1001/jamaoncol.2025.0329","DOIUrl":null,"url":null,"abstract":"<p><strong>Importance: </strong>The World Health Organization (WHO) classification of central nervous system tumors (CNS) grading for meningioma was updated in 2021 to include rare molecular features, namely homozygous deletions of CDKN2A or CDKN2B and TERT promotor alterations. Previous work, including the cIMPACT-NOW statement, has discussed the potential value of including chromosomal copy number alterations to help refine the current grading system.</p><p><strong>Objective: </strong>To identify chromosomal copy number alterations that could be used to improve the current CNS WHO grading of meningioma.</p><p><strong>Design, setting, and participants: </strong>In this cohort study, patients with surgically treated meningioma were followed-up until recurrence or progression of disease or death. Chromosomal copy number alterations were then correlated with progression-free survival (PFS) to identify new outcome biomarkers. This study included patients with a histopathological diagnosis of meningioma from multiple institutions in Canada, the US, and Germany, with molecular data collection starting in 2016. Data were analyzed from January to September 2024.</p><p><strong>Exposures: </strong>All patients underwent surgery for meningioma and a subset underwent radiation therapy.</p><p><strong>Main outcomes and measures: </strong>The main outcome was PFS. Cox regression analysis was used to identify copy number alterations associated with outcomes in the context of WHO grading.</p><p><strong>Results: </strong>Among 1964 patients with meningioma (1256 female; median [IQR] age, 58 [48-69] years) assessed, loss of chromosome 1p in WHO grade 1 meningiomas was associated with significantly worse outcomes compared with tumors without loss of 1p (median PFS, 5.83 [95% CI, 4.36-∞] years vs 34.54 [95% CI, 16.01-∞] years; log-rank P < .001). Outcomes of patients with WHO grade 1 tumors with loss of chromosome 1p were comparable to those of patients with WHO grade 2 tumors (median PFS, 4.48 [95% CI, 4.09-5.18] years). Combined loss of chromosome 1p and gain of chromosome 1q were associated with outcomes that were highly concordant with WHO grade 3 tumors, regardless of initial grade (median PFS: grade 1, 2.23 [95% CI, 1.28-∞] years; grade 2, 1.90 [95% CI, 1.23-2.25] years; grade 3, 2.27 [95% CI, 1.68-3.05] years).</p><p><strong>Conclusions and relevance: </strong>These findings highlight a role for cytogenetic profiling in the next iteration of CNS WHO grading, with a specific focus on chromosome 1p loss and 1q gain, suggesting that chromosome 1p loss, in addition to 22q loss, should be added as a criterion for a CNS WHO grade of 2 and addition of 1q gain as a criterion for a CNS WHO grade of 3.</p>","PeriodicalId":48661,"journal":{"name":"Jama Oncology","volume":" ","pages":"644-649"},"PeriodicalIF":20.1000,"publicationDate":"2025-06-01","publicationTypes":"Journal Article","fieldsOfStudy":null,"isOpenAccess":false,"openAccessPdf":"https://www.ncbi.nlm.nih.gov/pmc/articles/PMC11969356/pdf/","citationCount":"0","resultStr":null,"platform":"Semanticscholar","paperid":null,"PeriodicalName":"Jama Oncology","FirstCategoryId":"3","ListUrlMain":"https://doi.org/10.1001/jamaoncol.2025.0329","RegionNum":1,"RegionCategory":"医学","ArticlePicture":[],"TitleCN":null,"AbstractTextCN":null,"PMCID":null,"EPubDate":"","PubModel":"","JCR":"Q1","JCRName":"Biochemistry, Genetics and Molecular Biology","Score":null,"Total":0}
引用次数: 0

Abstract

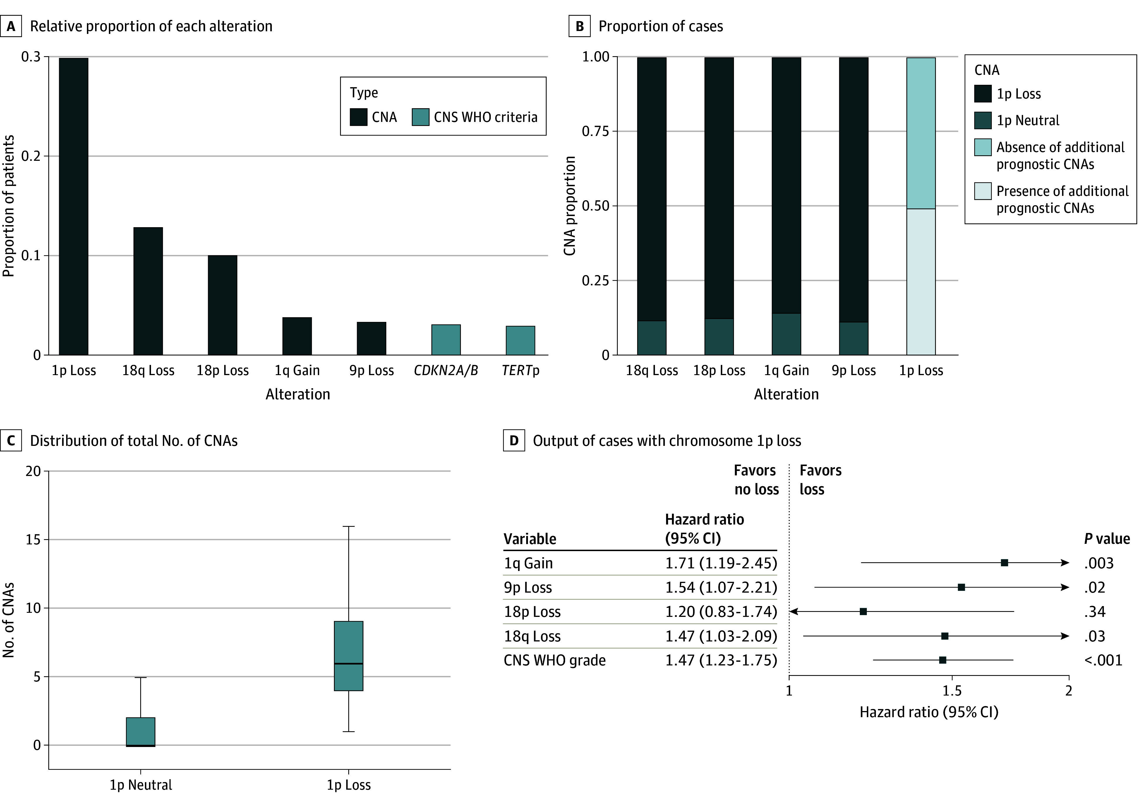
Importance: The World Health Organization (WHO) classification of central nervous system tumors (CNS) grading for meningioma was updated in 2021 to include rare molecular features, namely homozygous deletions of CDKN2A or CDKN2B and TERT promotor alterations. Previous work, including the cIMPACT-NOW statement, has discussed the potential value of including chromosomal copy number alterations to help refine the current grading system.

Objective: To identify chromosomal copy number alterations that could be used to improve the current CNS WHO grading of meningioma.

Design, setting, and participants: In this cohort study, patients with surgically treated meningioma were followed-up until recurrence or progression of disease or death. Chromosomal copy number alterations were then correlated with progression-free survival (PFS) to identify new outcome biomarkers. This study included patients with a histopathological diagnosis of meningioma from multiple institutions in Canada, the US, and Germany, with molecular data collection starting in 2016. Data were analyzed from January to September 2024.

Exposures: All patients underwent surgery for meningioma and a subset underwent radiation therapy.

Main outcomes and measures: The main outcome was PFS. Cox regression analysis was used to identify copy number alterations associated with outcomes in the context of WHO grading.

Results: Among 1964 patients with meningioma (1256 female; median [IQR] age, 58 [48-69] years) assessed, loss of chromosome 1p in WHO grade 1 meningiomas was associated with significantly worse outcomes compared with tumors without loss of 1p (median PFS, 5.83 [95% CI, 4.36-∞] years vs 34.54 [95% CI, 16.01-∞] years; log-rank P < .001). Outcomes of patients with WHO grade 1 tumors with loss of chromosome 1p were comparable to those of patients with WHO grade 2 tumors (median PFS, 4.48 [95% CI, 4.09-5.18] years). Combined loss of chromosome 1p and gain of chromosome 1q were associated with outcomes that were highly concordant with WHO grade 3 tumors, regardless of initial grade (median PFS: grade 1, 2.23 [95% CI, 1.28-∞] years; grade 2, 1.90 [95% CI, 1.23-2.25] years; grade 3, 2.27 [95% CI, 1.68-3.05] years).

Conclusions and relevance: These findings highlight a role for cytogenetic profiling in the next iteration of CNS WHO grading, with a specific focus on chromosome 1p loss and 1q gain, suggesting that chromosome 1p loss, in addition to 22q loss, should be added as a criterion for a CNS WHO grade of 2 and addition of 1q gain as a criterion for a CNS WHO grade of 3.

Abstract Image

Abstract Image

Abstract Image

染色体1p缺失和1q增益对脑膜瘤分级的影响。
重要性:世界卫生组织(WHO)对脑膜瘤中枢神经系统肿瘤(CNS)分级的分类于2021年更新,纳入了罕见的分子特征,即CDKN2A或CDKN2B的纯合缺失和TERT启动子改变。以前的工作,包括cIMPACT-NOW声明,已经讨论了包括染色体拷贝数改变的潜在价值,以帮助完善当前的评分系统。目的:鉴别染色体拷贝数改变,以提高脑膜瘤的CNS WHO分级。设计、环境和参与者:在这项队列研究中,手术治疗的脑膜瘤患者被随访,直到疾病复发或进展或死亡。然后将染色体拷贝数改变与无进展生存期(PFS)相关联,以确定新的结局生物标志物。本研究纳入了来自加拿大、美国和德国多家机构的组织病理学诊断为脑膜瘤的患者,并从2016年开始收集分子数据。数据分析时间为2024年1月至9月。暴露:所有患者接受手术治疗脑膜瘤,一部分患者接受放射治疗。主要观察指标:主要观察指标为PFS。使用Cox回归分析来确定WHO分级背景下与结果相关的拷贝数变化。结果:1964例脑膜瘤患者中,女性1256例;中位[IQR]年龄,58[48-69]岁)评估,世卫组织1级脑膜瘤中染色体1p丢失与未丢失1p的肿瘤相比,预后明显更差(中位PFS, 5.83 [95% CI, 4.36-∞]年vs 34.54 [95% CI, 16.01-∞]年;结论和相关性:这些发现强调了细胞遗传学分析在CNS WHO分级的下一次迭代中的作用,特别关注染色体1p缺失和1q增益,这表明除了22q缺失之外,染色体1p缺失应该作为CNS WHO分级2级的标准,增加1q增益作为CNS WHO分级3级的标准。
本文章由计算机程序翻译,如有差异,请以英文原文为准。
求助全文
约1分钟内获得全文 求助全文
来源期刊
Jama Oncology
Jama Oncology Medicine-Oncology
CiteScore
37.50
自引率
1.80%
发文量
423
期刊介绍: At JAMA Oncology, our primary goal is to contribute to the advancement of oncology research and enhance patient care. As a leading journal in the field, we strive to publish influential original research, opinions, and reviews that push the boundaries of oncology science. Our mission is to serve as the definitive resource for scientists, clinicians, and trainees in oncology globally. Through our innovative and timely scientific and educational content, we aim to provide a comprehensive understanding of cancer pathogenesis and the latest treatment advancements to our readers. We are dedicated to effectively disseminating the findings of significant clinical research, major scientific breakthroughs, actionable discoveries, and state-of-the-art treatment pathways to the oncology community. Our ultimate objective is to facilitate the translation of new knowledge into tangible clinical benefits for individuals living with and surviving cancer.
×
引用
GB/T 7714-2015
复制
MLA
复制
APA
复制
导出至
BibTeX EndNote RefMan NoteFirst NoteExpress
×
提示
您的信息不完整,为了账户安全,请先补充。
现在去补充
×
提示
您因"违规操作"
具体请查看互助需知
我知道了
×
提示
确定
请完成安全验证×
copy
已复制链接
快去分享给好友吧!
我知道了
右上角分享
点击右上角分享
0
联系我们:info@booksci.cn Book学术提供免费学术资源搜索服务,方便国内外学者检索中英文文献。致力于提供最便捷和优质的服务体验。 Copyright © 2023 布克学术 All rights reserved.
京ICP备2023020795号-1
ghs 京公网安备 11010802042870号
Book学术文献互助
Book学术文献互助群
群 号:604180095
Book学术官方微信