Developing predictive models for µ opioid receptor binding using machine learning and deep learning techniques.

IF 2.7 4区 医学 Q2 MEDICINE, RESEARCH & EXPERIMENTAL
Experimental Biology and Medicine Pub Date : 2025-03-19 eCollection Date: 2025-01-01 DOI:10.3389/ebm.2025.10359
Jie Liu, Jerry Li, Zoe Li, Fan Dong, Wenjing Guo, Weigong Ge, Tucker A Patterson, Huixiao Hong
{"title":"Developing predictive models for µ opioid receptor binding using machine learning and deep learning techniques.","authors":"Jie Liu, Jerry Li, Zoe Li, Fan Dong, Wenjing Guo, Weigong Ge, Tucker A Patterson, Huixiao Hong","doi":"10.3389/ebm.2025.10359","DOIUrl":null,"url":null,"abstract":"<p><p>Opioids exert their analgesic effect by binding to the µ opioid receptor (MOR), which initiates a downstream signaling pathway, eventually inhibiting pain transmission in the spinal cord. However, current opioids are addictive, often leading to overdose contributing to the opioid crisis in the United States. Therefore, understanding the structure-activity relationship between MOR and its ligands is essential for predicting MOR binding of chemicals, which could assist in the development of non-addictive or less-addictive opioid analgesics. This study aimed to develop machine learning and deep learning models for predicting MOR binding activity of chemicals. Chemicals with MOR binding activity data were first curated from public databases and the literature. Molecular descriptors of the curated chemicals were calculated using software Mold2. The chemicals were then split into training and external validation datasets. Random forest, k-nearest neighbors, support vector machine, multi-layer perceptron, and long short-term memory models were developed and evaluated using 5-fold cross-validations and external validations, resulting in Matthews correlation coefficients of 0.528-0.654 and 0.408, respectively. Furthermore, prediction confidence and applicability domain analyses highlighted their importance to the models' applicability. Our results suggest that the developed models could be useful for identifying MOR binders, potentially aiding in the development of non-addictive or less-addictive drugs targeting MOR.</p>","PeriodicalId":12163,"journal":{"name":"Experimental Biology and Medicine","volume":"250 ","pages":"10359"},"PeriodicalIF":2.7000,"publicationDate":"2025-03-19","publicationTypes":"Journal Article","fieldsOfStudy":null,"isOpenAccess":false,"openAccessPdf":"https://www.ncbi.nlm.nih.gov/pmc/articles/PMC11961360/pdf/","citationCount":"0","resultStr":null,"platform":"Semanticscholar","paperid":null,"PeriodicalName":"Experimental Biology and Medicine","FirstCategoryId":"3","ListUrlMain":"https://doi.org/10.3389/ebm.2025.10359","RegionNum":4,"RegionCategory":"医学","ArticlePicture":[],"TitleCN":null,"AbstractTextCN":null,"PMCID":null,"EPubDate":"2025/1/1 0:00:00","PubModel":"eCollection","JCR":"Q2","JCRName":"MEDICINE, RESEARCH & EXPERIMENTAL","Score":null,"Total":0}
引用次数: 0

Abstract

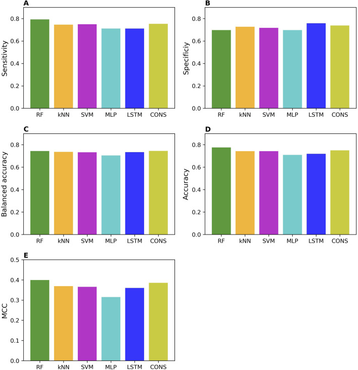
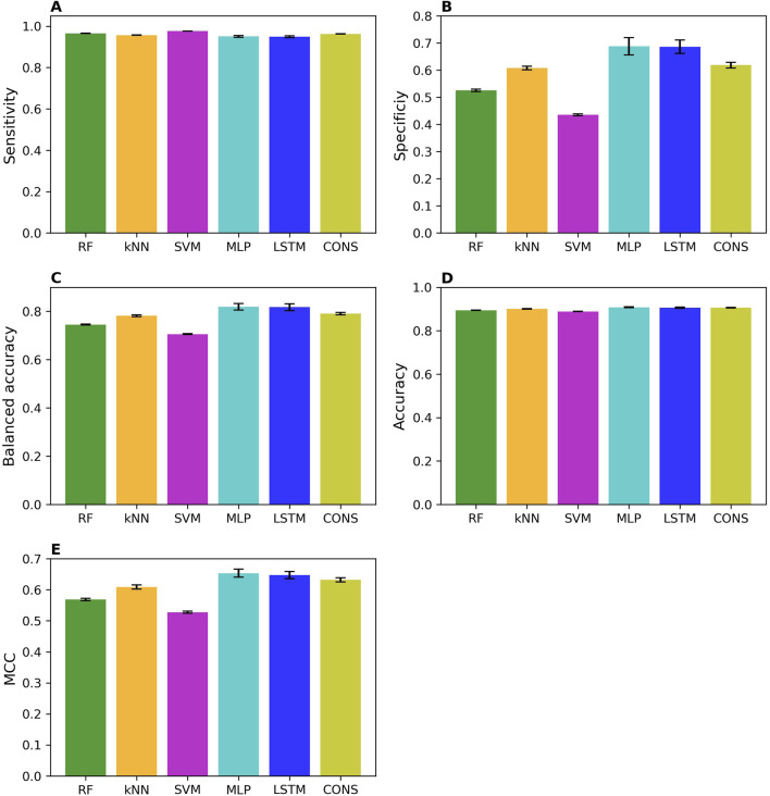
Opioids exert their analgesic effect by binding to the µ opioid receptor (MOR), which initiates a downstream signaling pathway, eventually inhibiting pain transmission in the spinal cord. However, current opioids are addictive, often leading to overdose contributing to the opioid crisis in the United States. Therefore, understanding the structure-activity relationship between MOR and its ligands is essential for predicting MOR binding of chemicals, which could assist in the development of non-addictive or less-addictive opioid analgesics. This study aimed to develop machine learning and deep learning models for predicting MOR binding activity of chemicals. Chemicals with MOR binding activity data were first curated from public databases and the literature. Molecular descriptors of the curated chemicals were calculated using software Mold2. The chemicals were then split into training and external validation datasets. Random forest, k-nearest neighbors, support vector machine, multi-layer perceptron, and long short-term memory models were developed and evaluated using 5-fold cross-validations and external validations, resulting in Matthews correlation coefficients of 0.528-0.654 and 0.408, respectively. Furthermore, prediction confidence and applicability domain analyses highlighted their importance to the models' applicability. Our results suggest that the developed models could be useful for identifying MOR binders, potentially aiding in the development of non-addictive or less-addictive drugs targeting MOR.

Abstract Image

Abstract Image

Abstract Image

利用机器学习和深度学习技术开发微阿片受体结合的预测模型。
阿片通过与μ阿片受体(MOR)结合,启动下游信号通路,最终抑制疼痛在脊髓中的传递,从而发挥镇痛作用。然而,目前的阿片类药物具有成瘾性,经常导致过量使用,从而导致美国的阿片类药物危机。因此,了解MOR及其配体之间的构效关系对于预测化学物质的MOR结合至关重要,这可能有助于开发非成瘾性或低成瘾性阿片类镇痛药。本研究旨在建立机器学习和深度学习模型来预测化学物质的MOR结合活性。具有MOR结合活性数据的化学物质首先从公共数据库和文献中筛选。用Mold2软件计算了整理后的化学物质的分子描述符。然后将这些化学物质分成训练数据集和外部验证数据集。随机森林模型、k近邻模型、支持向量机模型、多层感知器模型和长短期记忆模型分别进行了5倍交叉验证和外部验证,得到的马修斯相关系数分别为0.528 ~ 0.654和0.408。预测置信度和适用域分析对模型的适用性具有重要意义。我们的研究结果表明,开发的模型可以用于识别MOR结合物,可能有助于开发针对MOR的非成瘾性或低成瘾性药物。
本文章由计算机程序翻译,如有差异,请以英文原文为准。
求助全文
约1分钟内获得全文 求助全文
来源期刊
Experimental Biology and Medicine
Experimental Biology and Medicine 医学-医学:研究与实验
CiteScore
6.00
自引率
0.00%
发文量
157
审稿时长
1 months
期刊介绍: Experimental Biology and Medicine (EBM) is a global, peer-reviewed journal dedicated to the publication of multidisciplinary and interdisciplinary research in the biomedical sciences. EBM provides both research and review articles as well as meeting symposia and brief communications. Articles in EBM represent cutting edge research at the overlapping junctions of the biological, physical and engineering sciences that impact upon the health and welfare of the world''s population. Topics covered in EBM include: Anatomy/Pathology; Biochemistry and Molecular Biology; Bioimaging; Biomedical Engineering; Bionanoscience; Cell and Developmental Biology; Endocrinology and Nutrition; Environmental Health/Biomarkers/Precision Medicine; Genomics, Proteomics, and Bioinformatics; Immunology/Microbiology/Virology; Mechanisms of Aging; Neuroscience; Pharmacology and Toxicology; Physiology; Stem Cell Biology; Structural Biology; Systems Biology and Microphysiological Systems; and Translational Research.
×
引用
GB/T 7714-2015
复制
MLA
复制
APA
复制
导出至
BibTeX EndNote RefMan NoteFirst NoteExpress
×
提示
您的信息不完整,为了账户安全,请先补充。
现在去补充
×
提示
您因"违规操作"
具体请查看互助需知
我知道了
×
提示
确定
请完成安全验证×
copy
已复制链接
快去分享给好友吧!
我知道了
右上角分享
点击右上角分享
0
联系我们:info@booksci.cn Book学术提供免费学术资源搜索服务,方便国内外学者检索中英文文献。致力于提供最便捷和优质的服务体验。 Copyright © 2023 布克学术 All rights reserved.
京ICP备2023020795号-1
ghs 京公网安备 11010802042870号
Book学术文献互助
Book学术文献互助群
群 号:604180095
Book学术官方微信