Implementation strategies for school-based universal prevention: A qualitative pilot study of Enhanced and standard Replicating Effective Programs.

IF 2.6
Implementation research and practice Pub Date : 2025-03-31 eCollection Date: 2025-01-01 DOI:10.1177/26334895251330520
Andria B Eisman, Christine Koffkey, Judy Fridline, Christina Harvey, Rebecca E Hasson, Lawrence A Palinkas, Amy M Kilbourne
{"title":"Implementation strategies for school-based universal prevention: A qualitative pilot study of Enhanced and standard Replicating Effective Programs.","authors":"Andria B Eisman, Christine Koffkey, Judy Fridline, Christina Harvey, Rebecca E Hasson, Lawrence A Palinkas, Amy M Kilbourne","doi":"10.1177/26334895251330520","DOIUrl":null,"url":null,"abstract":"<p><strong>Background: </strong>School-based universal prevention programs, like the Michigan Model for Health™ (MMH), hold promise for enhancing youth behavioral health but often face implementation challenges due to insufficiently addressing priority student issues. Previous research identified trauma-sensitive content as a student need in the MMH. Enhanced Replicating Effective Programs (REP), a multicomponent implementation strategy, is well suited to support program providers in addressing priority health issues among youth.</p><p><strong>Method: </strong>This pilot cluster-randomized controlled trial compared Enhanced REP (tailored curriculum, training, and implementation facilitation with trauma-sensitive content) to standard REP (standard curriculum, initial training, as-needed technical assistance) across eight high schools serving low-income students. Through semistructured interviews at three time points, we assessed teacher perceptions of feasibility, acceptability, and appropriateness related to REP core and enhanced components.</p><p><strong>Results: </strong>Teachers generally found Enhanced REP to deliver MMH satisfactory and suitable. However, the school environment, notably administrative support, influenced feasibility compared to standard REP. Enhanced REP teachers reported benefits in meeting student needs that were not seen in the standard REP group. The standard REP data helped to understand the comparative value of the enhanced strategy during a time of notable upheaval and mental health challenges due to the COVID-19 pandemic.</p><p><strong>Conclusions: </strong>While some schools may succeed with less intensive strategies (REP), many may require more intensive approaches for effective implementation. Enhanced REP shows promise in tailoring curriculum delivery and providing additional support to meet student needs, but its success may hinge on organizational support, especially from leadership. Future research should investigate the addition of organizational-level strategies, such as leadership training, to optimize implementation and explore the comparative effectiveness of Enhanced versus standard REP.</p>","PeriodicalId":73354,"journal":{"name":"Implementation research and practice","volume":"6 ","pages":"26334895251330520"},"PeriodicalIF":2.6000,"publicationDate":"2025-03-31","publicationTypes":"Journal Article","fieldsOfStudy":null,"isOpenAccess":false,"openAccessPdf":"https://www.ncbi.nlm.nih.gov/pmc/articles/PMC11960151/pdf/","citationCount":"0","resultStr":null,"platform":"Semanticscholar","paperid":null,"PeriodicalName":"Implementation research and practice","FirstCategoryId":"1085","ListUrlMain":"https://doi.org/10.1177/26334895251330520","RegionNum":0,"RegionCategory":null,"ArticlePicture":[],"TitleCN":null,"AbstractTextCN":null,"PMCID":null,"EPubDate":"2025/1/1 0:00:00","PubModel":"eCollection","JCR":"","JCRName":"","Score":null,"Total":0}
引用次数: 0

Abstract

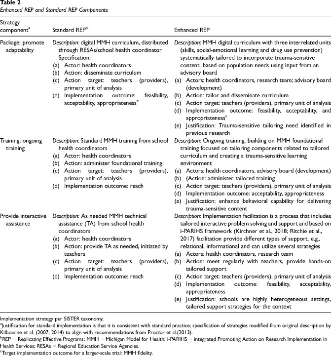
Background: School-based universal prevention programs, like the Michigan Model for Health™ (MMH), hold promise for enhancing youth behavioral health but often face implementation challenges due to insufficiently addressing priority student issues. Previous research identified trauma-sensitive content as a student need in the MMH. Enhanced Replicating Effective Programs (REP), a multicomponent implementation strategy, is well suited to support program providers in addressing priority health issues among youth.

Method: This pilot cluster-randomized controlled trial compared Enhanced REP (tailored curriculum, training, and implementation facilitation with trauma-sensitive content) to standard REP (standard curriculum, initial training, as-needed technical assistance) across eight high schools serving low-income students. Through semistructured interviews at three time points, we assessed teacher perceptions of feasibility, acceptability, and appropriateness related to REP core and enhanced components.

Results: Teachers generally found Enhanced REP to deliver MMH satisfactory and suitable. However, the school environment, notably administrative support, influenced feasibility compared to standard REP. Enhanced REP teachers reported benefits in meeting student needs that were not seen in the standard REP group. The standard REP data helped to understand the comparative value of the enhanced strategy during a time of notable upheaval and mental health challenges due to the COVID-19 pandemic.

Conclusions: While some schools may succeed with less intensive strategies (REP), many may require more intensive approaches for effective implementation. Enhanced REP shows promise in tailoring curriculum delivery and providing additional support to meet student needs, but its success may hinge on organizational support, especially from leadership. Future research should investigate the addition of organizational-level strategies, such as leadership training, to optimize implementation and explore the comparative effectiveness of Enhanced versus standard REP.

Abstract Image

Abstract Image

Abstract Image

以学校为基础的普遍预防的实施策略:改进和标准复制有效方案的定性试点研究。
背景:以学校为基础的普遍预防计划,如密歇根健康模式™(MMH),有望提高青少年的行为健康,但由于没有充分解决优先学生问题,往往面临实施挑战。先前的研究将创伤敏感内容确定为MMH学生的需求。增强型复制有效方案(REP)是一种多组件实施战略,非常适合支持方案提供者解决青少年优先健康问题。方法:本试验性集群随机对照试验比较了八所为低收入学生服务的高中的强化REP(量身定制的课程、培训和实施便利,包括创伤敏感内容)和标准REP(标准课程、初始培训、按需技术援助)。通过三个时间点的半结构化访谈,我们评估了教师对REP核心和增强组件的可行性、可接受性和适当性的看法。结果:教师普遍认为强化REP提供MMH是满意和合适的。然而,与标准REP相比,学校环境,特别是行政支持,影响了可行性。加强REP的教师报告了在满足学生需求方面的好处,这在标准REP组中没有看到。标准REP数据有助于了解在2019冠状病毒病大流行造成的显著动荡和精神卫生挑战期间加强战略的相对价值。结论:虽然一些学校可能通过不那么密集的策略(REP)取得成功,但许多学校可能需要更密集的方法来有效实施。增强型REP在定制课程交付和提供满足学生需求的额外支持方面显示出了希望,但它的成功可能取决于组织的支持,尤其是来自领导层的支持。未来的研究应探讨组织层面的策略,如领导力培训,以优化实施,并探讨增强型REP与标准REP的比较效果。
本文章由计算机程序翻译,如有差异,请以英文原文为准。
求助全文
约1分钟内获得全文 求助全文
来源期刊
CiteScore
0.50
自引率
0.00%
发文量
0
审稿时长
18 weeks
×
引用
GB/T 7714-2015
复制
MLA
复制
APA
复制
导出至
BibTeX EndNote RefMan NoteFirst NoteExpress
×
提示
您的信息不完整,为了账户安全,请先补充。
现在去补充
×
提示
您因"违规操作"
具体请查看互助需知
我知道了
×
提示
确定
请完成安全验证×
copy
已复制链接
快去分享给好友吧!
我知道了
右上角分享
点击右上角分享
0
联系我们:info@booksci.cn Book学术提供免费学术资源搜索服务,方便国内外学者检索中英文文献。致力于提供最便捷和优质的服务体验。 Copyright © 2023 布克学术 All rights reserved.
京ICP备2023020795号-1
ghs 京公网安备 11010802042870号
Book学术文献互助
Book学术文献互助群
群 号:604180095
Book学术官方微信