Assessment of Pelvic Motion During Single-Leg Weight-Bearing Tasks Using Smartphone Sensors: Validity Study.

Q2 Medicine
Yu Xi, Zhongsheng Li, Surendran Vatatheeswaran, Valter Devecchi, Alessio Gallina
{"title":"Assessment of Pelvic Motion During Single-Leg Weight-Bearing Tasks Using Smartphone Sensors: Validity Study.","authors":"Yu Xi, Zhongsheng Li, Surendran Vatatheeswaran, Valter Devecchi, Alessio Gallina","doi":"10.2196/65342","DOIUrl":null,"url":null,"abstract":"<p><strong>Background: </strong>Clinicians and athletic training specialists often assess the performance of single-leg, weight-bearing tasks to monitor rehabilitation progress and guide exercise progression. Some of the key metrics assessed are excessive pelvic motion, balance, and duration of each repetition of the exercise. Motion can be objectively characterized using motion capture (MOCAP); however, MOCAP is often not available in clinics due to the high costs and complexity of the analyses. Smartphones have built-in sensors that can be used to measure changes in body segment orientation and acceleration, which may make them a more feasible and affordable technology to use in practice.</p><p><strong>Objective: </strong>This study aimed to determine if, compared to gold-standard MOCAP, smartphone sensors can provide valid measures of pelvic orientation, acceleration, and repetition duration during single-leg tasks in healthy individuals.</p><p><strong>Methods: </strong>Overall, 52 healthy participants performed single-leg squats and step-down tasks from heights of 15 and 20 cm. Pelvic motion was assessed using MOCAP and a smartphone placed over the sacrum. The MATLAB (MathWorks) mobile app was used to collect smartphone acceleration and orientation data. Individual repetitions of each exercise were manually identified, and the following outcomes were extracted: duration of the repetition, mediolateral acceleration, and 3D pelvic orientation at peak squat. Validity was assessed by comparing metrics assessed with a smartphone and MOCAP using intraclass correlation coefficients (ICCs) and paired Wilcoxon tests. Differences between tasks were compared using 1-way ANOVA or the Friedman test.</p><p><strong>Results: </strong>Across the 3 single-leg tasks, smartphone estimates demonstrated consistently high agreement with the MOCAP for all metrics (ICC point estimates: >0.8 for mediolateral acceleration and frontal plane orientation; >0.9 for squat duration and orientation on the sagittal and transverse plane). Bias was identified for most outcomes (multiple P<.001). Both smartphone and MOCAP recordings identified clear differences between tasks, with step-down tasks usually requiring larger changes in pelvic orientation and larger mediolateral sways. Duration did not differ between tasks.</p><p><strong>Conclusions: </strong>Despite a consistent bias, the smartphone demonstrated good to excellent validity relative to gold-standard MOCAP for most outcomes. This demonstrates that smartphones offer an accessible and affordable tool to objectively characterize pelvic motion during different single-leg weight-bearing tasks in healthy participants. Together with earlier reports of good between-day reliability of similar measures during single-leg squats, our results suggest that smartphone sensors can be used to assess and monitor single-leg task performance. Future studies should investigate whether smartphone sensors can aid in the assessment and treatment of people with musculoskeletal disorders. More user-friendly interfaces and data analysis procedures may also facilitate the implementation of this technology in practice.</p>","PeriodicalId":36224,"journal":{"name":"JMIR Rehabilitation and Assistive Technologies","volume":"12 ","pages":"e65342"},"PeriodicalIF":0.0000,"publicationDate":"2025-04-01","publicationTypes":"Journal Article","fieldsOfStudy":null,"isOpenAccess":false,"openAccessPdf":"https://www.ncbi.nlm.nih.gov/pmc/articles/PMC11978237/pdf/","citationCount":"0","resultStr":null,"platform":"Semanticscholar","paperid":null,"PeriodicalName":"JMIR Rehabilitation and Assistive Technologies","FirstCategoryId":"1085","ListUrlMain":"https://doi.org/10.2196/65342","RegionNum":0,"RegionCategory":null,"ArticlePicture":[],"TitleCN":null,"AbstractTextCN":null,"PMCID":null,"EPubDate":"","PubModel":"","JCR":"Q2","JCRName":"Medicine","Score":null,"Total":0}
引用次数: 0

Abstract

Background: Clinicians and athletic training specialists often assess the performance of single-leg, weight-bearing tasks to monitor rehabilitation progress and guide exercise progression. Some of the key metrics assessed are excessive pelvic motion, balance, and duration of each repetition of the exercise. Motion can be objectively characterized using motion capture (MOCAP); however, MOCAP is often not available in clinics due to the high costs and complexity of the analyses. Smartphones have built-in sensors that can be used to measure changes in body segment orientation and acceleration, which may make them a more feasible and affordable technology to use in practice.

Objective: This study aimed to determine if, compared to gold-standard MOCAP, smartphone sensors can provide valid measures of pelvic orientation, acceleration, and repetition duration during single-leg tasks in healthy individuals.

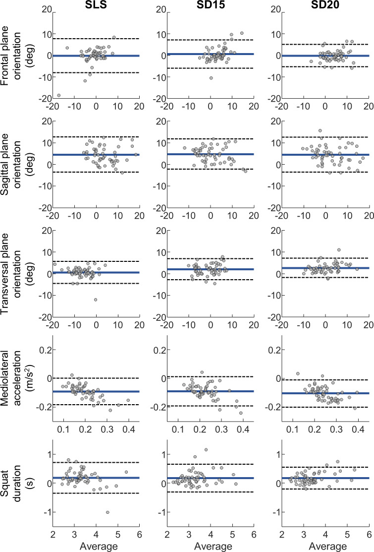
Methods: Overall, 52 healthy participants performed single-leg squats and step-down tasks from heights of 15 and 20 cm. Pelvic motion was assessed using MOCAP and a smartphone placed over the sacrum. The MATLAB (MathWorks) mobile app was used to collect smartphone acceleration and orientation data. Individual repetitions of each exercise were manually identified, and the following outcomes were extracted: duration of the repetition, mediolateral acceleration, and 3D pelvic orientation at peak squat. Validity was assessed by comparing metrics assessed with a smartphone and MOCAP using intraclass correlation coefficients (ICCs) and paired Wilcoxon tests. Differences between tasks were compared using 1-way ANOVA or the Friedman test.

Results: Across the 3 single-leg tasks, smartphone estimates demonstrated consistently high agreement with the MOCAP for all metrics (ICC point estimates: >0.8 for mediolateral acceleration and frontal plane orientation; >0.9 for squat duration and orientation on the sagittal and transverse plane). Bias was identified for most outcomes (multiple P<.001). Both smartphone and MOCAP recordings identified clear differences between tasks, with step-down tasks usually requiring larger changes in pelvic orientation and larger mediolateral sways. Duration did not differ between tasks.

Conclusions: Despite a consistent bias, the smartphone demonstrated good to excellent validity relative to gold-standard MOCAP for most outcomes. This demonstrates that smartphones offer an accessible and affordable tool to objectively characterize pelvic motion during different single-leg weight-bearing tasks in healthy participants. Together with earlier reports of good between-day reliability of similar measures during single-leg squats, our results suggest that smartphone sensors can be used to assess and monitor single-leg task performance. Future studies should investigate whether smartphone sensors can aid in the assessment and treatment of people with musculoskeletal disorders. More user-friendly interfaces and data analysis procedures may also facilitate the implementation of this technology in practice.

Abstract Image

Abstract Image

Abstract Image

使用智能手机传感器评估单腿负重任务时骨盆运动:有效性研究。
背景:临床医生和运动训练专家经常评估单腿负重任务的表现,以监测康复进展并指导运动进展。评估的一些关键指标是骨盆过度运动、平衡和每次重复运动的持续时间。运动可以使用动作捕捉(MOCAP)客观表征;然而,由于高成本和分析的复杂性,MOCAP通常无法在诊所使用。智能手机有内置的传感器,可以用来测量身体部分方向和加速度的变化,这可能使它们成为一种更可行、更经济的技术,可以在实践中使用。目的:本研究旨在确定,与金标准MOCAP相比,智能手机传感器是否可以在健康个体的单腿任务中提供有效的骨盆方向、加速度和重复时间测量。方法:总共有52名健康参与者进行了单腿深蹲和从15和20厘米高度下降的任务。使用MOCAP和放置在骶骨上的智能手机评估骨盆运动。使用MATLAB (MathWorks)移动应用程序收集智能手机加速和方向数据。人工识别每个运动的个别重复次数,并提取以下结果:重复时间,中外侧加速度和深蹲峰值时的三维骨盆方向。通过使用类内相关系数(ICCs)和配对Wilcoxon检验比较智能手机和MOCAP评估的指标来评估有效性。任务间的差异采用单因素方差分析或弗里德曼检验进行比较。结果:在3个单腿任务中,智能手机估计值与MOCAP在所有指标上都表现出一致的高度一致性(ICC点估计值:中外侧加速度和正面方向:>.8;在矢状面和横切面上,深蹲持续时间和方向为>0.9)。结论:尽管存在一致的偏倚,但相对于金标准MOCAP,智能手机在大多数结果中表现出良好到极好的效度。这表明智能手机提供了一种方便且价格合理的工具,可以客观地描述健康参与者在不同单腿负重任务期间的骨盆运动。结合早期关于单腿深蹲期间类似测量的良好日间可靠性的报告,我们的研究结果表明,智能手机传感器可以用来评估和监测单腿任务的表现。未来的研究应该调查智能手机传感器是否可以帮助评估和治疗肌肉骨骼疾病患者。更多用户友好的界面和数据分析程序也可能促进该技术在实践中的实施。
本文章由计算机程序翻译,如有差异,请以英文原文为准。
求助全文
约1分钟内获得全文 求助全文
来源期刊
CiteScore
4.20
自引率
0.00%
发文量
31
审稿时长
12 weeks
×
引用
GB/T 7714-2015
复制
MLA
复制
APA
复制
导出至
BibTeX EndNote RefMan NoteFirst NoteExpress
×
提示
您的信息不完整,为了账户安全,请先补充。
现在去补充
×
提示
您因"违规操作"
具体请查看互助需知
我知道了
×
提示
确定
请完成安全验证×
copy
已复制链接
快去分享给好友吧!
我知道了
右上角分享
点击右上角分享
0
联系我们:info@booksci.cn Book学术提供免费学术资源搜索服务,方便国内外学者检索中英文文献。致力于提供最便捷和优质的服务体验。 Copyright © 2023 布克学术 All rights reserved.
京ICP备2023020795号-1
ghs 京公网安备 11010802042870号
Book学术文献互助
Book学术文献互助群
群 号:604180095
Book学术官方微信