Investigating Biomechanical Postural Control Strategies in Healthy Aging Adults and Survivors of Stroke.

IF 1.4
Biomechanics (Basel, Switzerland) Pub Date : 2024-03-01 Epub Date: 2024-03-05 DOI:10.3390/biomechanics4010010
Lara A Thompson, Roni A Romero Melendez, Ji Chen
{"title":"Investigating Biomechanical Postural Control Strategies in Healthy Aging Adults and Survivors of Stroke.","authors":"Lara A Thompson, Roni A Romero Melendez, Ji Chen","doi":"10.3390/biomechanics4010010","DOIUrl":null,"url":null,"abstract":"<p><p>As the aging populations, both nationwide and worldwide, rapidly increase, falls leading to unintentional injury and death subsequently increase. Thus, developing an understanding of biomechanical postural control strategies used to maintain balance in aging healthy adults, and those that have suffered stroke, are critical. Here, we were interested in how one's body segments stabilize relative to one another, and in space, in order to maintain balance. To accomplish this goal, we studied 30 healthy individuals and 8 survivors of stroke between 60 and 85 years old, both before and after several weeks of sensory training. Motion capture data were acquired to assess participants' body kinematics during walking: forward (easiest), forward-tandem, backward, and backward-tandem walking (most challenging). Deviations (via the observation of the absolute angle with deviations, or AADs) of the head, thorax, and lumbar areas relative to an earth vertical reference, as well as how one body segment stabilized in space or relative to the inferior body segment (via the observation of anchoring indices, or AIs), were explored. The results provide metrics (AADs and AIs) that can assess aging posture. Further, the results show an initial indication that, for aging individuals, training could lead to improved head and body stabilization in space.</p>","PeriodicalId":72381,"journal":{"name":"Biomechanics (Basel, Switzerland)","volume":"4 1","pages":"153-164"},"PeriodicalIF":1.4000,"publicationDate":"2024-03-01","publicationTypes":"Journal Article","fieldsOfStudy":null,"isOpenAccess":false,"openAccessPdf":"https://www.ncbi.nlm.nih.gov/pmc/articles/PMC11952681/pdf/","citationCount":"0","resultStr":null,"platform":"Semanticscholar","paperid":null,"PeriodicalName":"Biomechanics (Basel, Switzerland)","FirstCategoryId":"1085","ListUrlMain":"https://doi.org/10.3390/biomechanics4010010","RegionNum":0,"RegionCategory":null,"ArticlePicture":[],"TitleCN":null,"AbstractTextCN":null,"PMCID":null,"EPubDate":"2024/3/5 0:00:00","PubModel":"Epub","JCR":"","JCRName":"","Score":null,"Total":0}
引用次数: 0

Abstract

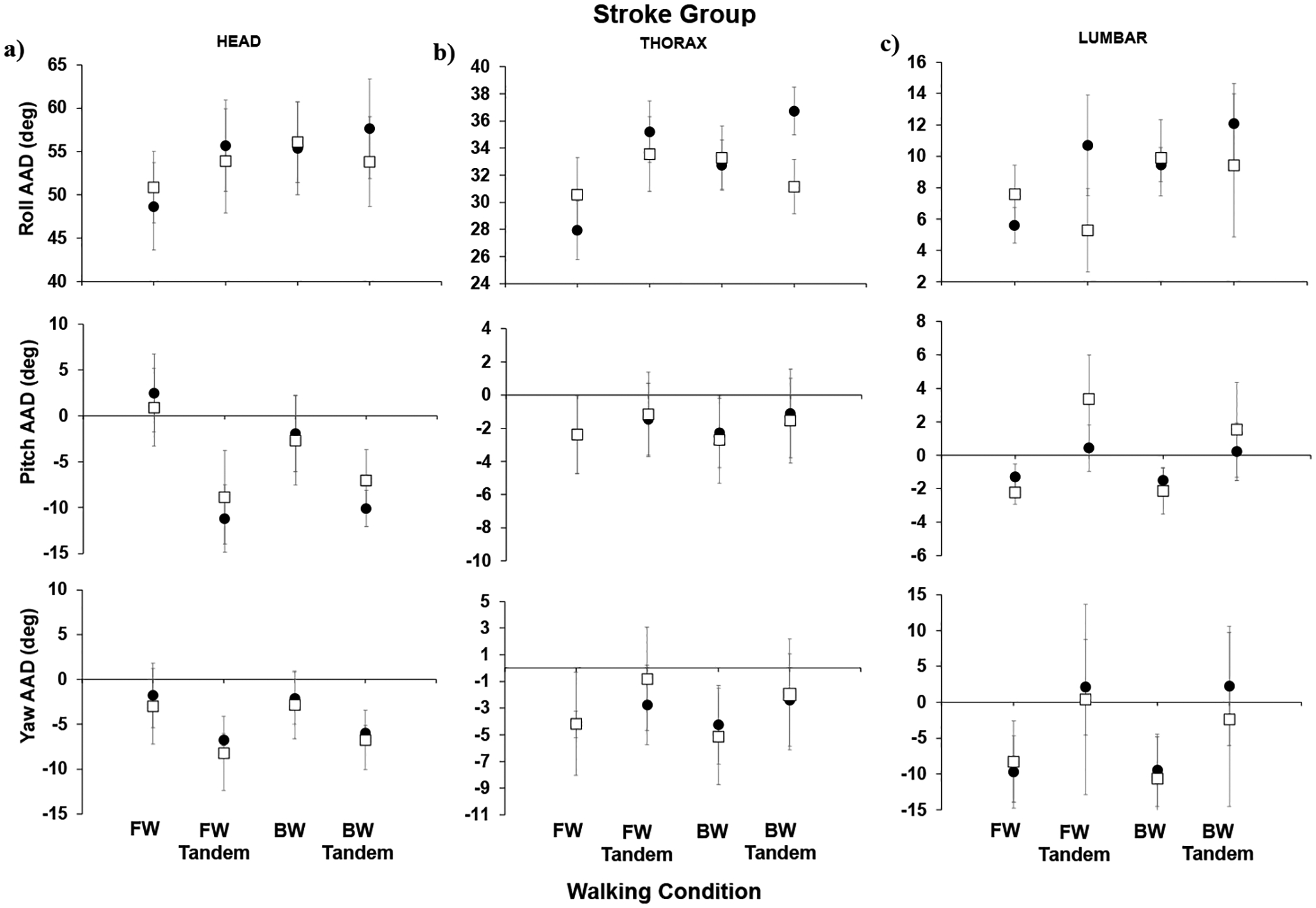
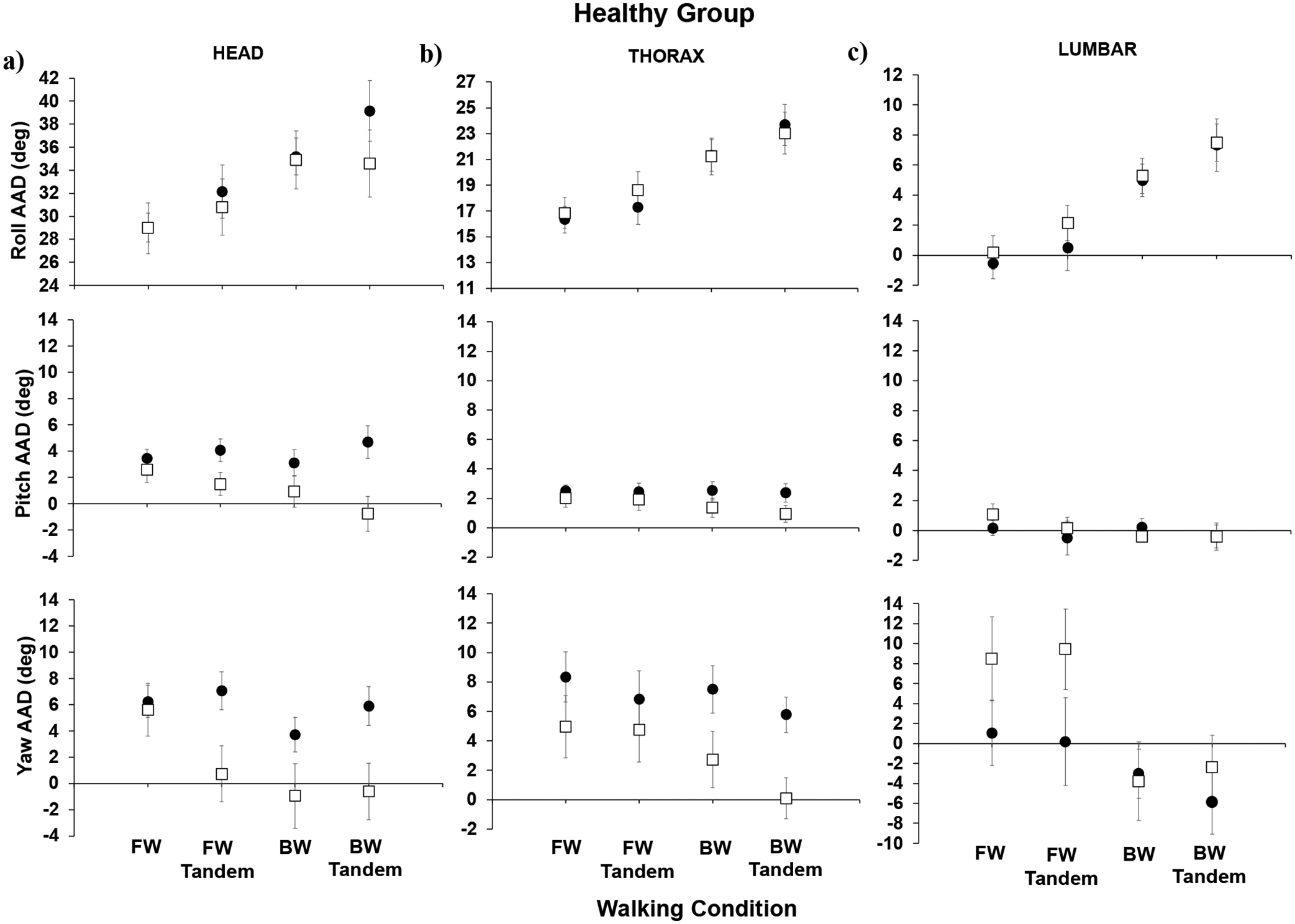
As the aging populations, both nationwide and worldwide, rapidly increase, falls leading to unintentional injury and death subsequently increase. Thus, developing an understanding of biomechanical postural control strategies used to maintain balance in aging healthy adults, and those that have suffered stroke, are critical. Here, we were interested in how one's body segments stabilize relative to one another, and in space, in order to maintain balance. To accomplish this goal, we studied 30 healthy individuals and 8 survivors of stroke between 60 and 85 years old, both before and after several weeks of sensory training. Motion capture data were acquired to assess participants' body kinematics during walking: forward (easiest), forward-tandem, backward, and backward-tandem walking (most challenging). Deviations (via the observation of the absolute angle with deviations, or AADs) of the head, thorax, and lumbar areas relative to an earth vertical reference, as well as how one body segment stabilized in space or relative to the inferior body segment (via the observation of anchoring indices, or AIs), were explored. The results provide metrics (AADs and AIs) that can assess aging posture. Further, the results show an initial indication that, for aging individuals, training could lead to improved head and body stabilization in space.

Abstract Image

Abstract Image

Abstract Image

研究健康老年人和中风幸存者的生物力学姿势控制策略。
随着全国乃至世界范围内老龄化人口的迅速增加,导致意外伤害和死亡的跌倒也随之增加。因此,了解用于维持健康老年人和中风患者平衡的生物力学姿势控制策略是至关重要的。在这里,我们感兴趣的是一个人的身体各部分如何相对稳定,在空间中,以保持平衡。为了实现这一目标,我们研究了30名健康人和8名60至85岁的中风幸存者,在进行几周的感觉训练之前和之后。获得运动捕捉数据以评估参与者在行走过程中的身体运动学:向前(最容易),向前串联,向后和向后串联行走(最具挑战性)。探讨了头部、胸部和腰椎相对于地面垂直参考的偏离(通过观察绝对偏离角,或AADs),以及一个身体节段如何在空间或相对于下身体节段稳定(通过观察锚定指数,或AIs)。结果提供了可以评估衰老姿势的指标(AADs和ai)。此外,研究结果初步表明,对于老年人来说,训练可以改善头部和身体在太空中的稳定性。
本文章由计算机程序翻译,如有差异,请以英文原文为准。
求助全文
约1分钟内获得全文 求助全文
来源期刊
CiteScore
1.50
自引率
0.00%
发文量
0
×
引用
GB/T 7714-2015
复制
MLA
复制
APA
复制
导出至
BibTeX EndNote RefMan NoteFirst NoteExpress
×
提示
您的信息不完整,为了账户安全,请先补充。
现在去补充
×
提示
您因"违规操作"
具体请查看互助需知
我知道了
×
提示
确定
请完成安全验证×
copy
已复制链接
快去分享给好友吧!
我知道了
右上角分享
点击右上角分享
0
联系我们:info@booksci.cn Book学术提供免费学术资源搜索服务,方便国内外学者检索中英文文献。致力于提供最便捷和优质的服务体验。 Copyright © 2023 布克学术 All rights reserved.
京ICP备2023020795号-1
ghs 京公网安备 11010802042870号
Book学术文献互助
Book学术文献互助群
群 号:604180095
Book学术官方微信