Patterns, Predictors, and Prognostic Implication of Treatment-Related Amenorrhea in Patients With Breast Cancer.

IF 2.2 Q3 ONCOLOGY
World Journal of Oncology Pub Date : 2025-04-01 Epub Date: 2025-02-18 DOI:10.14740/wjon1991
Bryant Ng, Armeyra Devani Ferintasari, Susanna Hilda Hutajulu, Yufi Kartika Astari, Juan Adrian Wiranata, Suwardjo Suwardjo, Irianiwati Widodo, Lina Choridah, Wigati Dhamiyati, Mardiah Suci Hardianti, Kartika Widayati Taroeno-Hariadi
{"title":"Patterns, Predictors, and Prognostic Implication of Treatment-Related Amenorrhea in Patients With Breast Cancer.","authors":"Bryant Ng, Armeyra Devani Ferintasari, Susanna Hilda Hutajulu, Yufi Kartika Astari, Juan Adrian Wiranata, Suwardjo Suwardjo, Irianiwati Widodo, Lina Choridah, Wigati Dhamiyati, Mardiah Suci Hardianti, Kartika Widayati Taroeno-Hariadi","doi":"10.14740/wjon1991","DOIUrl":null,"url":null,"abstract":"<p><strong>Background: </strong>Treatment-related amenorrhea (TRA) is a common side effect of treatment in premenopausal patients with breast cancer, with important consequences for patient counseling and management. Its occurrence and potential influence on survival outcomes remain active areas of investigation. This study aimed to evaluate the incidence, risk factors, and prognostic significance of TRA in patients with breast cancer.</p><p><strong>Methods: </strong>This is a retrospective cohort study. Patients were interviewed during and after chemotherapy to assess their menstrual status. Sociodemographic, clinical, and treatment data of patients were also collected. TRA was classified into early amenorrhea (EA) and late amenorrhea (LA) based on the duration of amenorrhea. Univariable and multivariable logistic regression were used to identify risk factors of EA and LA. Kaplan-Meier curves and Cox proportional hazards analyses were used to investigate the impact of EA and LA on 3-year overall survival (OS).</p><p><strong>Results: </strong>There were 81 patients who were eligible for the final analysis. Of these subjects, 14 (17.3%) developed no amenorrhea, 67 (82.7%) developed EA, and 45 (55.6%) developed LA. We did not find any significant independent risk factor for EA. Age > 45 years (odds ratio (OR): 4.00; confidence interval (CI): 1.23 - 13.01; P = 0.021) and the usage of hormonal therapy (OR: 4.96; CI: 1.58 - 15.53; P = 0.006) independently significantly increase the risk of LA, whereas a metastatic disease status decreased the risk (OR: 0.20; CI: 0.04 - 0.90; P = 0.036). Both EA (hazard ratio (HR) = 0.262, CI: 0.105 - 0.653; P = 0.002) and LA (HR = 0.234, CI: 0.091 - 0.604; P = 0.001) were associated with an improved 3-year OS rate.</p><p><strong>Conclusions: </strong>Age > 45 years and the usage of hormonal therapy are risk factors for LA, while metastatic disease was associated with a decreased risk. Both EA and LA had a significant association with favorable 3-year OS. These findings enable clinicians to provide personalized guidance, tailor treatment strategies, and improve the outcomes of premenopausal patients with breast cancer. Standardization of how TRA is defined and assessed in future studies is essential to improve comparability and enhance the understanding of its clinical implications.</p>","PeriodicalId":46797,"journal":{"name":"World Journal of Oncology","volume":"16 2","pages":"200-209"},"PeriodicalIF":2.2000,"publicationDate":"2025-04-01","publicationTypes":"Journal Article","fieldsOfStudy":null,"isOpenAccess":false,"openAccessPdf":"https://www.ncbi.nlm.nih.gov/pmc/articles/PMC11954610/pdf/","citationCount":"0","resultStr":null,"platform":"Semanticscholar","paperid":null,"PeriodicalName":"World Journal of Oncology","FirstCategoryId":"1085","ListUrlMain":"https://doi.org/10.14740/wjon1991","RegionNum":0,"RegionCategory":null,"ArticlePicture":[],"TitleCN":null,"AbstractTextCN":null,"PMCID":null,"EPubDate":"2025/2/18 0:00:00","PubModel":"Epub","JCR":"Q3","JCRName":"ONCOLOGY","Score":null,"Total":0}
引用次数: 0

Abstract

Background: Treatment-related amenorrhea (TRA) is a common side effect of treatment in premenopausal patients with breast cancer, with important consequences for patient counseling and management. Its occurrence and potential influence on survival outcomes remain active areas of investigation. This study aimed to evaluate the incidence, risk factors, and prognostic significance of TRA in patients with breast cancer.

Methods: This is a retrospective cohort study. Patients were interviewed during and after chemotherapy to assess their menstrual status. Sociodemographic, clinical, and treatment data of patients were also collected. TRA was classified into early amenorrhea (EA) and late amenorrhea (LA) based on the duration of amenorrhea. Univariable and multivariable logistic regression were used to identify risk factors of EA and LA. Kaplan-Meier curves and Cox proportional hazards analyses were used to investigate the impact of EA and LA on 3-year overall survival (OS).

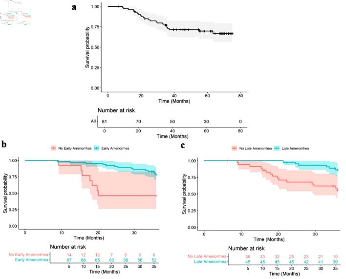
Results: There were 81 patients who were eligible for the final analysis. Of these subjects, 14 (17.3%) developed no amenorrhea, 67 (82.7%) developed EA, and 45 (55.6%) developed LA. We did not find any significant independent risk factor for EA. Age > 45 years (odds ratio (OR): 4.00; confidence interval (CI): 1.23 - 13.01; P = 0.021) and the usage of hormonal therapy (OR: 4.96; CI: 1.58 - 15.53; P = 0.006) independently significantly increase the risk of LA, whereas a metastatic disease status decreased the risk (OR: 0.20; CI: 0.04 - 0.90; P = 0.036). Both EA (hazard ratio (HR) = 0.262, CI: 0.105 - 0.653; P = 0.002) and LA (HR = 0.234, CI: 0.091 - 0.604; P = 0.001) were associated with an improved 3-year OS rate.

Conclusions: Age > 45 years and the usage of hormonal therapy are risk factors for LA, while metastatic disease was associated with a decreased risk. Both EA and LA had a significant association with favorable 3-year OS. These findings enable clinicians to provide personalized guidance, tailor treatment strategies, and improve the outcomes of premenopausal patients with breast cancer. Standardization of how TRA is defined and assessed in future studies is essential to improve comparability and enhance the understanding of its clinical implications.

Abstract Image

乳腺癌患者治疗相关性闭经的模式、预测因素和预后意义。
背景:治疗相关性闭经(TRA)是绝经前乳腺癌患者治疗中常见的副作用,对患者咨询和管理具有重要意义。它的发生和对生存结果的潜在影响仍然是研究的活跃领域。本研究旨在评估乳腺癌患者TRA的发生率、危险因素及预后意义。方法:回顾性队列研究。在化疗期间和化疗后对患者进行访谈,以评估其月经状况。还收集了患者的社会人口学、临床和治疗数据。根据闭经持续时间,将TRA分为早期闭经(EA)和晚期闭经(LA)。采用单变量和多变量logistic回归分析EA和LA的危险因素。采用Kaplan-Meier曲线和Cox比例风险分析探讨EA和LA对3年总生存期(OS)的影响。结果:81例患者符合最终分析条件。其中14例(17.3%)未发生闭经,67例(82.7%)发生EA, 45例(55.6%)发生LA。我们未发现任何显著的EA独立危险因素。年龄0 ~ 45岁(比值比(OR): 4.00;置信区间(CI): 1.23 - 13.01;P = 0.021)和激素治疗的使用情况(OR: 4.96;Ci: 1.58 - 15.53;P = 0.006)显著增加LA的风险,而转移性疾病状态降低风险(OR: 0.20;Ci: 0.04 - 0.90;P = 0.036)。风险比(HR) = 0.262, CI: 0.105 ~ 0.653;P = 0.002)和LA (HR = 0.234, CI: 0.091 ~ 0.604;P = 0.001)与改善的3年OS率相关。结论:年龄0 ~ 45岁和使用激素治疗是LA的危险因素,而转移性疾病与风险降低相关。EA和LA均与良好的3年OS有显著关联。这些发现使临床医生能够提供个性化的指导,定制治疗策略,并改善绝经前乳腺癌患者的预后。在未来的研究中,如何定义和评估TRA的标准化对于提高可比性和加强对其临床意义的理解至关重要。
本文章由计算机程序翻译,如有差异,请以英文原文为准。
求助全文
约1分钟内获得全文 求助全文
来源期刊
CiteScore
6.10
自引率
15.40%
发文量
37
期刊介绍: World Journal of Oncology, bimonthly, publishes original contributions describing basic research and clinical investigation of cancer, on the cellular, molecular, prevention, diagnosis, therapy and prognosis aspects. The submissions can be basic research or clinical investigation oriented. This journal welcomes those submissions focused on the clinical trials of new treatment modalities for cancer, and those submissions focused on molecular or cellular research of the oncology pathogenesis. Case reports submitted for consideration of publication should explore either a novel genomic event/description or a new safety signal from an oncolytic agent. The areas of interested manuscripts are these disciplines: tumor immunology and immunotherapy; cancer molecular pharmacology and chemotherapy; drug sensitivity and resistance; cancer epidemiology; clinical trials; cancer pathology; radiobiology and radiation oncology; solid tumor oncology; hematological malignancies; surgical oncology; pediatric oncology; molecular oncology and cancer genes; gene therapy; cancer endocrinology; cancer metastasis; prevention and diagnosis of cancer; other cancer related subjects. The types of manuscripts accepted are original article, review, editorial, short communication, case report, letter to the editor, book review.
×
引用
GB/T 7714-2015
复制
MLA
复制
APA
复制
导出至
BibTeX EndNote RefMan NoteFirst NoteExpress
×
提示
您的信息不完整,为了账户安全,请先补充。
现在去补充
×
提示
您因"违规操作"
具体请查看互助需知
我知道了
×
提示
确定
请完成安全验证×
copy
已复制链接
快去分享给好友吧!
我知道了
右上角分享
点击右上角分享
0
联系我们:info@booksci.cn Book学术提供免费学术资源搜索服务,方便国内外学者检索中英文文献。致力于提供最便捷和优质的服务体验。 Copyright © 2023 布克学术 All rights reserved.
京ICP备2023020795号-1
ghs 京公网安备 11010802042870号
Book学术文献互助
Book学术文献互助群
群 号:604180095
Book学术官方微信