Estimating sodium and potassium intakes in a Portuguese adult population: can first-morning void urine replace 24-hour urine samples?

IF 2 Q3 NUTRITION & DIETETICS
Journal of Nutritional Science Pub Date : 2025-03-26 eCollection Date: 2025-01-01 DOI:10.1017/jns.2025.16
Ana Carolina Lages Goios, Milton Severo, Carla Maria Moura Lopes, Duarte Paulo Martins Torres
{"title":"Estimating sodium and potassium intakes in a Portuguese adult population: can first-morning void urine replace 24-hour urine samples?","authors":"Ana Carolina Lages Goios, Milton Severo, Carla Maria Moura Lopes, Duarte Paulo Martins Torres","doi":"10.1017/jns.2025.16","DOIUrl":null,"url":null,"abstract":"<p><p>This study aimed to assess the extent to which first-morning void (FMV) urine samples can estimate sodium and potassium excretion compared with 24-hour (24-h) urine samples at the population level. We conducted a cross-sectional study collecting urine samples (FMV and 24-h) and two non-consecutive 24-h dietary recalls in a sub-sample from the Portuguese IAN-AF sampling frame. Six predictive equations were used to estimate 24-h sodium and potassium excretion from FMV urine samples. Pearson correlation coefficients were calculated to compare the association between FMV and 24-h urine collections. Cross-classifications into tertiles were computed to calculate the agreement between measured and estimated excretion with and without calibration. Pearson correlation coefficients were calculated to compare the excretion estimation from FMV and reported intake from 24-h dietary recalls. Bland-Altman plots assessed the agreement between two-day dietary recall and the best-performing calibrated equation. Data from eighty-six subjects aged 18-84 were analysed. Estimated sodium and potassium concentrations from the predictive equations moderate or strongly correlated with the measured 24-h urine samples. The Toft equation was the most predictive and reliable, displaying a moderate correlation (r=0.655) with no risk of over or underestimation of sodium excretion (p=0.096). Tanaka and Kawasaki equations showed a similar moderate correlation (r=0.54 and r=0.58, respectively) but tended to underestimate the 24-h urine excretion of potassium (p<0.001). Calibrated predictive equations using FMV urine samples provide a moderately accurate alternative and resource-efficient option for large-scale nutritional epidemiology studies when 24-h urine collection is impractical.</p>","PeriodicalId":47536,"journal":{"name":"Journal of Nutritional Science","volume":"14 ","pages":"e29"},"PeriodicalIF":2.0000,"publicationDate":"2025-03-26","publicationTypes":"Journal Article","fieldsOfStudy":null,"isOpenAccess":false,"openAccessPdf":"https://www.ncbi.nlm.nih.gov/pmc/articles/PMC11955307/pdf/","citationCount":"0","resultStr":null,"platform":"Semanticscholar","paperid":null,"PeriodicalName":"Journal of Nutritional Science","FirstCategoryId":"1085","ListUrlMain":"https://doi.org/10.1017/jns.2025.16","RegionNum":0,"RegionCategory":null,"ArticlePicture":[],"TitleCN":null,"AbstractTextCN":null,"PMCID":null,"EPubDate":"2025/1/1 0:00:00","PubModel":"eCollection","JCR":"Q3","JCRName":"NUTRITION & DIETETICS","Score":null,"Total":0}
引用次数: 0

Abstract

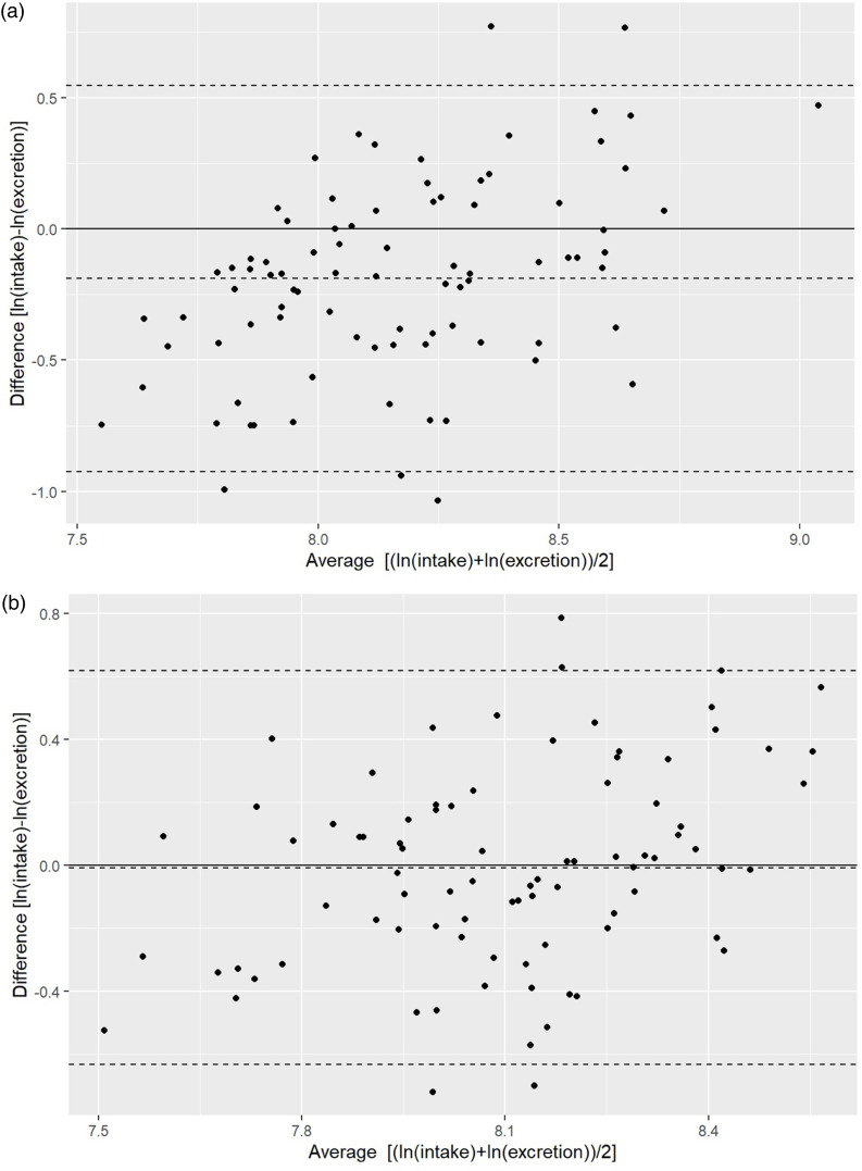
This study aimed to assess the extent to which first-morning void (FMV) urine samples can estimate sodium and potassium excretion compared with 24-hour (24-h) urine samples at the population level. We conducted a cross-sectional study collecting urine samples (FMV and 24-h) and two non-consecutive 24-h dietary recalls in a sub-sample from the Portuguese IAN-AF sampling frame. Six predictive equations were used to estimate 24-h sodium and potassium excretion from FMV urine samples. Pearson correlation coefficients were calculated to compare the association between FMV and 24-h urine collections. Cross-classifications into tertiles were computed to calculate the agreement between measured and estimated excretion with and without calibration. Pearson correlation coefficients were calculated to compare the excretion estimation from FMV and reported intake from 24-h dietary recalls. Bland-Altman plots assessed the agreement between two-day dietary recall and the best-performing calibrated equation. Data from eighty-six subjects aged 18-84 were analysed. Estimated sodium and potassium concentrations from the predictive equations moderate or strongly correlated with the measured 24-h urine samples. The Toft equation was the most predictive and reliable, displaying a moderate correlation (r=0.655) with no risk of over or underestimation of sodium excretion (p=0.096). Tanaka and Kawasaki equations showed a similar moderate correlation (r=0.54 and r=0.58, respectively) but tended to underestimate the 24-h urine excretion of potassium (p<0.001). Calibrated predictive equations using FMV urine samples provide a moderately accurate alternative and resource-efficient option for large-scale nutritional epidemiology studies when 24-h urine collection is impractical.

Abstract Image

Abstract Image

Abstract Image

估计葡萄牙成年人钠和钾的摄入量:第一天早上的空尿能代替24小时的尿样吗?
本研究旨在评估在人群水平上,与24小时(24小时)尿液样本相比,早晨空腹(FMV)尿液样本可以估计钠和钾排泄的程度。我们进行了一项横断面研究,收集了葡萄牙IAN-AF取样框架的一个亚样本的尿液样本(FMV和24小时)和两次非连续的24小时饮食召回。6个预测方程用于估计FMV尿样24小时钠和钾排泄量。计算Pearson相关系数来比较FMV与24小时尿液收集之间的关系。通过计算交叉分类来计算在有和没有校准的情况下测量和估计的排泄量之间的一致性。计算Pearson相关系数来比较从FMV估计的排泄量和从24小时饮食回顾中报告的摄入量。Bland-Altman图评估了两天饮食回忆和最佳校准方程之间的一致性。研究人员分析了86名年龄在18-84岁之间的研究对象的数据。从预测方程中估计的钠和钾浓度与测量的24小时尿液样本中度或强烈相关。Toft方程是最具预测性和可靠性的,显示中等相关性(r=0.655),没有高估或低估钠排泄的风险(p=0.096)。Tanaka和Kawasaki方程显示了类似的中等相关性(r分别=0.54和r=0.58),但倾向于低估24小时尿钾排泄量(p
本文章由计算机程序翻译,如有差异,请以英文原文为准。
求助全文
约1分钟内获得全文 求助全文
来源期刊
Journal of Nutritional Science
Journal of Nutritional Science NUTRITION & DIETETICS-
CiteScore
3.00
自引率
0.00%
发文量
91
审稿时长
7 weeks
期刊介绍: Journal of Nutritional Science is an international, peer-reviewed, online only, open access journal that welcomes high-quality research articles in all aspects of nutrition. The underlying aim of all work should be, as far as possible, to develop nutritional concepts. JNS encompasses the full spectrum of nutritional science including public health nutrition, epidemiology, dietary surveys, nutritional requirements, metabolic studies, body composition, energetics, appetite, obesity, ageing, endocrinology, immunology, neuroscience, microbiology, genetics, molecular and cellular biology and nutrigenomics. JNS welcomes Primary Research Papers, Brief Reports, Review Articles, Systematic Reviews, Workshop Reports, Letters to the Editor and Obituaries.
×
引用
GB/T 7714-2015
复制
MLA
复制
APA
复制
导出至
BibTeX EndNote RefMan NoteFirst NoteExpress
×
提示
您的信息不完整,为了账户安全,请先补充。
现在去补充
×
提示
您因"违规操作"
具体请查看互助需知
我知道了
×
提示
确定
请完成安全验证×
copy
已复制链接
快去分享给好友吧!
我知道了
右上角分享
点击右上角分享
0
联系我们:info@booksci.cn Book学术提供免费学术资源搜索服务,方便国内外学者检索中英文文献。致力于提供最便捷和优质的服务体验。 Copyright © 2023 布克学术 All rights reserved.
京ICP备2023020795号-1
ghs 京公网安备 11010802042870号
Book学术文献互助
Book学术文献互助群
群 号:604180095
Book学术官方微信