The Association Between Humidex and Daily Outpatient Visits for Pediatric Respiratory Diseases in Shijiazhuang, China: A Time Series Analysis.

IF 2.4 3区 医学 Q2 PUBLIC, ENVIRONMENTAL & OCCUPATIONAL HEALTH
International Journal of Public Health Pub Date : 2025-03-17 eCollection Date: 2025-01-01 DOI:10.3389/ijph.2025.1607752
Xixi Du, Fengge Chen, Mingyang Guan, Feng Li, Hui Kang, Yang Wang
{"title":"The Association Between Humidex and Daily Outpatient Visits for Pediatric Respiratory Diseases in Shijiazhuang, China: A Time Series Analysis.","authors":"Xixi Du, Fengge Chen, Mingyang Guan, Feng Li, Hui Kang, Yang Wang","doi":"10.3389/ijph.2025.1607752","DOIUrl":null,"url":null,"abstract":"<p><strong>Objectives: </strong>At present, most studies have focused on the effects of temperature or humidity on children's health, while relatively few have explored the combined effects of temperature and humidity on children's health. We aimed to examine the impact of humidex, a comprehensive temperature and humidity index, on the outpatient department of respiratory diseases in children.</p><p><strong>Methods: </strong>Daily outpatient visits for pediatric respiratory disorders, meteorological conditions, and air pollution in Shijiazhuang were recorded. From 2014 to 2022, we evaluated the impact of humidex on outpatient visits for respiratory disorders in children using a distributed lag non-linear model (DLNM). The model controlled air pollution (PM<sub>2.5</sub>, NO<sub>2</sub>, and SO<sub>2</sub>) and wind velocity, as well as day of week, seasonality, and long-term trend. In addition, stratified analysis was performed according to different genders, ages, and disease types.</p><p><strong>Results: </strong>Humidex and the outpatient exposure-response curve of children's respiratory diseases showed a \"V\" type. The cumulative relative risks (CRR) of extremely high and low humidex were 1.124 (95% confidence interval [CI] = 1.030-1.228) and 1.344 (95% CI = 1.136-1.590), respectively. The burden of respiratory diseases in children attributed to non-optimal humidex was 13.96% (95% empirical CI[eCI] = 7.81-19.33%), most of which was attributed to low humidex, with an AF of 12.54% (95% eCI = 5.94-18.32%), and only 1.42% (95% eCI = 0.19-2.48%) was due to high humidex.</p><p><strong>Conclusion: </strong>Low humidex exposure significantly increased the risk of respiratory illnesses in children, and children aged 7-14 were more susceptible to low humidex.</p>","PeriodicalId":14322,"journal":{"name":"International Journal of Public Health","volume":"70 ","pages":"1607752"},"PeriodicalIF":2.4000,"publicationDate":"2025-03-17","publicationTypes":"Journal Article","fieldsOfStudy":null,"isOpenAccess":false,"openAccessPdf":"https://www.ncbi.nlm.nih.gov/pmc/articles/PMC11955390/pdf/","citationCount":"0","resultStr":null,"platform":"Semanticscholar","paperid":null,"PeriodicalName":"International Journal of Public Health","FirstCategoryId":"3","ListUrlMain":"https://doi.org/10.3389/ijph.2025.1607752","RegionNum":3,"RegionCategory":"医学","ArticlePicture":[],"TitleCN":null,"AbstractTextCN":null,"PMCID":null,"EPubDate":"2025/1/1 0:00:00","PubModel":"eCollection","JCR":"Q2","JCRName":"PUBLIC, ENVIRONMENTAL & OCCUPATIONAL HEALTH","Score":null,"Total":0}
引用次数: 0

Abstract

Objectives: At present, most studies have focused on the effects of temperature or humidity on children's health, while relatively few have explored the combined effects of temperature and humidity on children's health. We aimed to examine the impact of humidex, a comprehensive temperature and humidity index, on the outpatient department of respiratory diseases in children.

Methods: Daily outpatient visits for pediatric respiratory disorders, meteorological conditions, and air pollution in Shijiazhuang were recorded. From 2014 to 2022, we evaluated the impact of humidex on outpatient visits for respiratory disorders in children using a distributed lag non-linear model (DLNM). The model controlled air pollution (PM2.5, NO2, and SO2) and wind velocity, as well as day of week, seasonality, and long-term trend. In addition, stratified analysis was performed according to different genders, ages, and disease types.

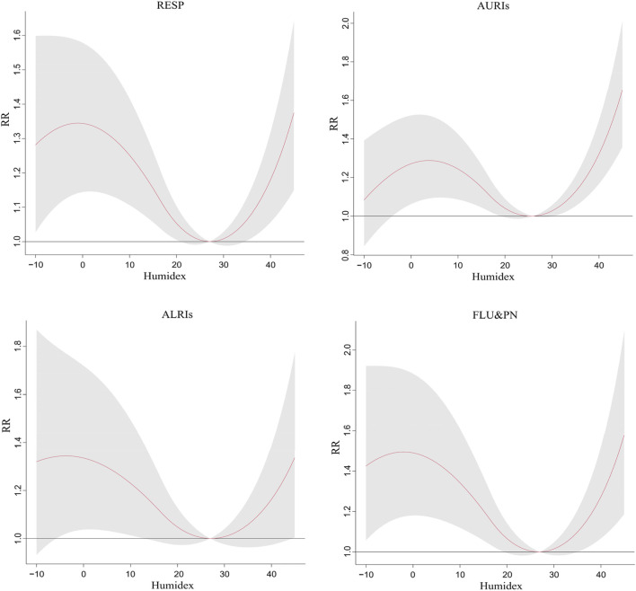
Results: Humidex and the outpatient exposure-response curve of children's respiratory diseases showed a "V" type. The cumulative relative risks (CRR) of extremely high and low humidex were 1.124 (95% confidence interval [CI] = 1.030-1.228) and 1.344 (95% CI = 1.136-1.590), respectively. The burden of respiratory diseases in children attributed to non-optimal humidex was 13.96% (95% empirical CI[eCI] = 7.81-19.33%), most of which was attributed to low humidex, with an AF of 12.54% (95% eCI = 5.94-18.32%), and only 1.42% (95% eCI = 0.19-2.48%) was due to high humidex.

Conclusion: Low humidex exposure significantly increased the risk of respiratory illnesses in children, and children aged 7-14 were more susceptible to low humidex.

Abstract Image

中国石家庄湿度与小儿呼吸系统疾病每日门诊量之间的关系:时间序列分析
目的:目前的研究大多集中在温度或湿度对儿童健康的影响,而探索温度和湿度对儿童健康的综合影响的研究相对较少。我们的目的是研究humidex,一个综合的温度和湿度指数,对儿童呼吸系统疾病门诊的影响。方法:记录石家庄市儿童呼吸系统疾病、气象条件和空气污染的日门诊人次。从2014年到2022年,我们使用分布滞后非线性模型(DLNM)评估了humidex对儿童呼吸系统疾病门诊就诊的影响。该模式控制了大气污染(PM2.5、NO2和SO2)和风速,以及周中天数、季节性和长期趋势。此外,根据不同性别、年龄和疾病类型进行分层分析。结果:Humidex与儿童呼吸道疾病门诊暴露-反应曲线呈“V”型。超高湿度和低湿度的累积相对危险度(CRR)分别为1.124(95%可信区间[CI] = 1.030 ~ 1.228)和1.344 (95% CI = 1.136 ~ 1.590)。非最佳湿度导致儿童呼吸系统疾病负担占13.96%(95%经验CI[eCI] = 7.81 ~ 19.33%),其中低湿度导致儿童呼吸系统疾病负担最多,AF为12.54% (95% eCI = 5.94 ~ 18.32%),高湿度导致儿童呼吸系统疾病负担仅为1.42% (95% eCI = 0.19 ~ 2.48%)。结论:低湿度暴露显著增加了儿童呼吸系统疾病的发生风险,其中7 ~ 14岁儿童更易受到低湿度暴露的影响。
本文章由计算机程序翻译,如有差异,请以英文原文为准。
求助全文
约1分钟内获得全文 求助全文
来源期刊
International Journal of Public Health
International Journal of Public Health 医学-公共卫生、环境卫生与职业卫生
CiteScore
4.20
自引率
2.20%
发文量
269
审稿时长
12 months
期刊介绍: The International Journal of Public Health publishes scientific articles relevant to global public health, from different countries and cultures, and assembles them into issues that raise awareness and understanding of public health problems and solutions. The Journal welcomes submissions of original research, critical and relevant reviews, methodological papers and manuscripts that emphasize theoretical content. IJPH sometimes publishes commentaries and opinions. Special issues highlight key areas of current research. The Editorial Board''s mission is to provide a thoughtful forum for contemporary issues and challenges in global public health research and practice.
×
引用
GB/T 7714-2015
复制
MLA
复制
APA
复制
导出至
BibTeX EndNote RefMan NoteFirst NoteExpress
×
提示
您的信息不完整,为了账户安全,请先补充。
现在去补充
×
提示
您因"违规操作"
具体请查看互助需知
我知道了
×
提示
确定
请完成安全验证×
copy
已复制链接
快去分享给好友吧!
我知道了
右上角分享
点击右上角分享
0
联系我们:info@booksci.cn Book学术提供免费学术资源搜索服务,方便国内外学者检索中英文文献。致力于提供最便捷和优质的服务体验。 Copyright © 2023 布克学术 All rights reserved.
京ICP备2023020795号-1
ghs 京公网安备 11010802042870号
Book学术文献互助
Book学术文献互助群
群 号:604180095
Book学术官方微信