Platelet-Derived Growth Factor as Biomarker of Clinical Outcome for Autologous Platelet Concentrate Therapy in Grade I Knee Osteoarthritis.

IF 3.4 Q1 MEDICINE, RESEARCH & EXPERIMENTAL
Biologics : Targets & Therapy Pub Date : 2025-03-25 eCollection Date: 2025-01-01 DOI:10.2147/BTT.S500522
Michele Francesco Di Tolla, Serena Romano, Pietro Vassetti, Domenico Perugini, Immacolata Filoso, Serena Cabaro, Giusy Ferraro, Francesco Oriente, Giuseppe Perruolo, Flora Arvonio, Vittoria D'Esposito, Pietro Formisano
{"title":"Platelet-Derived Growth Factor as Biomarker of Clinical Outcome for Autologous Platelet Concentrate Therapy in Grade I Knee Osteoarthritis.","authors":"Michele Francesco Di Tolla, Serena Romano, Pietro Vassetti, Domenico Perugini, Immacolata Filoso, Serena Cabaro, Giusy Ferraro, Francesco Oriente, Giuseppe Perruolo, Flora Arvonio, Vittoria D'Esposito, Pietro Formisano","doi":"10.2147/BTT.S500522","DOIUrl":null,"url":null,"abstract":"<p><strong>Introduction: </strong>Autologous platelet concentrates (APC) are widely used in the infiltrative treatment of knee osteoarthritis (OA) to enhance tissue healing and relieve pain. Aim of this study was to identify predictive biomarkers for clinical outcomes in patients with grade I knee OA.</p><p><strong>Methods: </strong>A panel of growth factors (GFs) and cytokines was determined in peripheral blood (PB) and APC. The Numeric Pain Rating Scale (NPRS) was used as a clinical readout before and after the APC infiltration.</p><p><strong>Results: </strong>A lower white blood cell (WBC) count and higher Monocyte-chemoattractant Protein-1 levels in PB were associated with APC-induced pain relief. Platelet-derived Growth Factor (PDGF) levels in APC were significantly higher in OA patients displaying a larger NPRS reduction, independent of platelet count. Finally, the simultaneous determination of PDGF, Vascular Endothelial Growth Factor, and Macrophage Inflammatory Protein-1α in APC discriminated OA patients with very poor or no response.</p><p><strong>Conclusion: </strong>Platelet-released GFs rather than platelet counts may predict clinical outcomes in grade 1 knee OA.</p>","PeriodicalId":9025,"journal":{"name":"Biologics : Targets & Therapy","volume":"19 ","pages":"137-147"},"PeriodicalIF":3.4000,"publicationDate":"2025-03-25","publicationTypes":"Journal Article","fieldsOfStudy":null,"isOpenAccess":false,"openAccessPdf":"https://www.ncbi.nlm.nih.gov/pmc/articles/PMC11954473/pdf/","citationCount":"0","resultStr":null,"platform":"Semanticscholar","paperid":null,"PeriodicalName":"Biologics : Targets & Therapy","FirstCategoryId":"1085","ListUrlMain":"https://doi.org/10.2147/BTT.S500522","RegionNum":0,"RegionCategory":null,"ArticlePicture":[],"TitleCN":null,"AbstractTextCN":null,"PMCID":null,"EPubDate":"2025/1/1 0:00:00","PubModel":"eCollection","JCR":"Q1","JCRName":"MEDICINE, RESEARCH & EXPERIMENTAL","Score":null,"Total":0}
引用次数: 0

Abstract

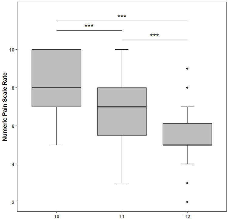
Introduction: Autologous platelet concentrates (APC) are widely used in the infiltrative treatment of knee osteoarthritis (OA) to enhance tissue healing and relieve pain. Aim of this study was to identify predictive biomarkers for clinical outcomes in patients with grade I knee OA.

Methods: A panel of growth factors (GFs) and cytokines was determined in peripheral blood (PB) and APC. The Numeric Pain Rating Scale (NPRS) was used as a clinical readout before and after the APC infiltration.

Results: A lower white blood cell (WBC) count and higher Monocyte-chemoattractant Protein-1 levels in PB were associated with APC-induced pain relief. Platelet-derived Growth Factor (PDGF) levels in APC were significantly higher in OA patients displaying a larger NPRS reduction, independent of platelet count. Finally, the simultaneous determination of PDGF, Vascular Endothelial Growth Factor, and Macrophage Inflammatory Protein-1α in APC discriminated OA patients with very poor or no response.

Conclusion: Platelet-released GFs rather than platelet counts may predict clinical outcomes in grade 1 knee OA.

Abstract Image

Abstract Image

Abstract Image

血小板衍生生长因子作为自体浓缩血小板治疗I级膝骨关节炎临床结果的生物标志物
自体血小板浓缩物(APC)广泛应用于膝关节骨性关节炎(OA)的浸润治疗,以促进组织愈合和缓解疼痛。本研究的目的是确定I级膝关节OA患者临床结果的预测性生物标志物。方法:测定外周血(PB)和APC中生长因子(GFs)和细胞因子(cytokines)的含量。数值疼痛评定量表(NPRS)作为APC浸润前后的临床读数。结果:低白细胞(WBC)计数和高单核细胞化学引诱蛋白-1水平与apc诱导的疼痛缓解有关。OA患者APC中血小板衍生生长因子(PDGF)水平显著升高,NPRS降低幅度更大,与血小板计数无关。最后,同时检测APC中PDGF、血管内皮生长因子和巨噬细胞炎症蛋白-1α,以区分极差或无反应的OA患者。结论:血小板释放的GFs比血小板计数更能预测1级膝关节OA的临床结果。
本文章由计算机程序翻译,如有差异,请以英文原文为准。
求助全文
约1分钟内获得全文 求助全文
来源期刊
Biologics : Targets & Therapy
Biologics : Targets & Therapy MEDICINE, RESEARCH & EXPERIMENTAL-
CiteScore
8.30
自引率
0.00%
发文量
22
审稿时长
16 weeks
×
引用
GB/T 7714-2015
复制
MLA
复制
APA
复制
导出至
BibTeX EndNote RefMan NoteFirst NoteExpress
×
提示
您的信息不完整,为了账户安全,请先补充。
现在去补充
×
提示
您因"违规操作"
具体请查看互助需知
我知道了
×
提示
确定
请完成安全验证×
copy
已复制链接
快去分享给好友吧!
我知道了
右上角分享
点击右上角分享
0
联系我们:info@booksci.cn Book学术提供免费学术资源搜索服务,方便国内外学者检索中英文文献。致力于提供最便捷和优质的服务体验。 Copyright © 2023 布克学术 All rights reserved.
京ICP备2023020795号-1
ghs 京公网安备 11010802042870号
Book学术文献互助
Book学术文献互助群
群 号:604180095
Book学术官方微信