The Presence of Diffuse Idiopathic Skeletal Hyperostosis (DISH) among Patients with High Burden of Cardiovascular Risk Factors: A Retrospective Study.

IF 2.3 Q2 RHEUMATOLOGY
International Journal of Rheumatology Pub Date : 2024-07-23 eCollection Date: 2024-01-01 DOI:10.1155/2024/8877237
Nadia Khalaily, Leonid Roshkovan, Amir Bieber, Reuven Mader, Shay Brikman
{"title":"The Presence of Diffuse Idiopathic Skeletal Hyperostosis (DISH) among Patients with High Burden of Cardiovascular Risk Factors: A Retrospective Study.","authors":"Nadia Khalaily, Leonid Roshkovan, Amir Bieber, Reuven Mader, Shay Brikman","doi":"10.1155/2024/8877237","DOIUrl":null,"url":null,"abstract":"<p><strong>Background: </strong>DISH is a systemic condition characterized by ligamentous ossification of at least four contiguous thoracic vertebrae. Prior studies have shown an association between DISH and cardiovascular morbidity.</p><p><strong>Objective: </strong>To investigate the association between DISH, cardiovascular risk factors, and MACE (myocardial infarction, ischemic stroke, and CV mortality) in patients who underwent coronary angiography between 5/2014 and 4/2015 in Ha'Emek Medical Center through 7 years of retrospective follow-up.</p><p><strong>Methods: </strong>Two cohorts were studied retrospectively and were defined according to the status of the coronary artery as diagnosed in angiography at enrolment (obstructive vs. nonobstructive coronary heart disease). For the retrospective analysis, we added the status of DISH (according to Resnick's criteria) and defined four cohorts as follows: CHD and DISH (group 1), CHD and no DISH (group 2), no CHD and DISH (group 3), and no CHD and no DISH (group 4). The four groups were followed up retrospectively for a median period of 7 years. Association between DISH and cardiovascular outcomes was studied.</p><p><strong>Results: </strong>198 patients were included in the study. 100 of them had CHD, and 98 were without significant CHD. At enrolment, DISH was present in 44 patients of CHD group and in 35 of non-CHD (<i>p</i> = 0.28 age and sex adjusted). Through the follow-up period, the presence of DISH was not found to be associated with death from any cause, cardiovascular death, ischemic stroke, and MACE. Within the group of non-CHD, there were two additional MI events in DISH (group 3) which was found to be statistically significant.</p><p><strong>Conclusion: </strong>Among patients with high burden of cardiovascular risk factors undergoing coronary angiography, the presence of DISH was not associated with an increased incidence of MACE.</p>","PeriodicalId":51715,"journal":{"name":"International Journal of Rheumatology","volume":"2024 ","pages":"8877237"},"PeriodicalIF":2.3000,"publicationDate":"2024-07-23","publicationTypes":"Journal Article","fieldsOfStudy":null,"isOpenAccess":false,"openAccessPdf":"https://www.ncbi.nlm.nih.gov/pmc/articles/PMC11949591/pdf/","citationCount":"0","resultStr":null,"platform":"Semanticscholar","paperid":null,"PeriodicalName":"International Journal of Rheumatology","FirstCategoryId":"1085","ListUrlMain":"https://doi.org/10.1155/2024/8877237","RegionNum":0,"RegionCategory":null,"ArticlePicture":[],"TitleCN":null,"AbstractTextCN":null,"PMCID":null,"EPubDate":"2024/1/1 0:00:00","PubModel":"eCollection","JCR":"Q2","JCRName":"RHEUMATOLOGY","Score":null,"Total":0}
引用次数: 0

Abstract

Background: DISH is a systemic condition characterized by ligamentous ossification of at least four contiguous thoracic vertebrae. Prior studies have shown an association between DISH and cardiovascular morbidity.

Objective: To investigate the association between DISH, cardiovascular risk factors, and MACE (myocardial infarction, ischemic stroke, and CV mortality) in patients who underwent coronary angiography between 5/2014 and 4/2015 in Ha'Emek Medical Center through 7 years of retrospective follow-up.

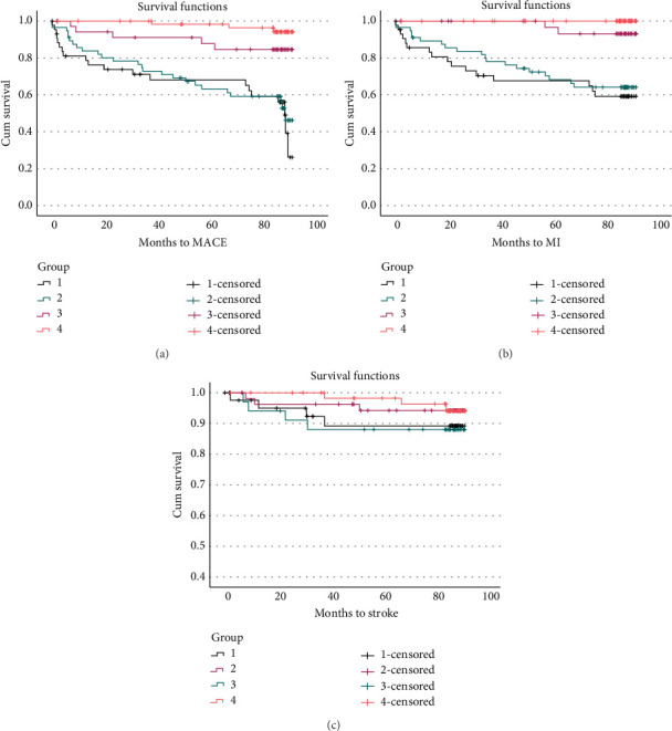
Methods: Two cohorts were studied retrospectively and were defined according to the status of the coronary artery as diagnosed in angiography at enrolment (obstructive vs. nonobstructive coronary heart disease). For the retrospective analysis, we added the status of DISH (according to Resnick's criteria) and defined four cohorts as follows: CHD and DISH (group 1), CHD and no DISH (group 2), no CHD and DISH (group 3), and no CHD and no DISH (group 4). The four groups were followed up retrospectively for a median period of 7 years. Association between DISH and cardiovascular outcomes was studied.

Results: 198 patients were included in the study. 100 of them had CHD, and 98 were without significant CHD. At enrolment, DISH was present in 44 patients of CHD group and in 35 of non-CHD (p = 0.28 age and sex adjusted). Through the follow-up period, the presence of DISH was not found to be associated with death from any cause, cardiovascular death, ischemic stroke, and MACE. Within the group of non-CHD, there were two additional MI events in DISH (group 3) which was found to be statistically significant.

Conclusion: Among patients with high burden of cardiovascular risk factors undergoing coronary angiography, the presence of DISH was not associated with an increased incidence of MACE.

Abstract Image

Abstract Image

Abstract Image

弥漫性特发性骨骼肥厚症(DISH)在心血管危险因素高负担患者中的存在:一项回顾性研究
背景:DISH是一种以至少四个连续胸椎韧带骨化为特征的全身性疾病。先前的研究表明DISH与心血管疾病之间存在关联。目的:通过7年的回顾性随访,探讨2014年5月至2015年4月在哈梅内克医疗中心行冠状动脉造影患者的DISH、心血管危险因素与MACE(心肌梗死、缺血性卒中和CV死亡率)之间的关系。方法:回顾性研究两个队列,并根据入组时血管造影诊断的冠状动脉状态(阻塞性与非阻塞性冠心病)进行定义。为了进行回顾性分析,我们加入了DISH的状态(根据Resnick标准),并定义了四个队列:冠心病和DISH(1组),冠心病和无DISH(2组),无冠心病和DISH(3组),无冠心病和无DISH(4组)。四组回顾性随访,中位时间为7年。研究了DISH与心血管结局的关系。结果:198例患者纳入研究。其中冠心病100例,无明显冠心病98例。入组时,44例冠心病患者出现DISH, 35例非冠心病患者出现DISH (p = 0.28,经年龄和性别调整)。在随访期间,没有发现DISH的存在与任何原因的死亡、心血管死亡、缺血性中风和MACE相关。在非冠心病组中,DISH组(第3组)有2例额外的心肌梗死事件,这有统计学意义。结论:在接受冠状动脉造影的心血管危险因素负担高的患者中,DISH的存在与MACE发生率的增加无关。
本文章由计算机程序翻译,如有差异,请以英文原文为准。
求助全文
约1分钟内获得全文 求助全文
来源期刊
CiteScore
4.40
自引率
0.00%
发文量
9
审稿时长
24 weeks
×
引用
GB/T 7714-2015
复制
MLA
复制
APA
复制
导出至
BibTeX EndNote RefMan NoteFirst NoteExpress
×
提示
您的信息不完整,为了账户安全,请先补充。
现在去补充
×
提示
您因"违规操作"
具体请查看互助需知
我知道了
×
提示
确定
请完成安全验证×
copy
已复制链接
快去分享给好友吧!
我知道了
右上角分享
点击右上角分享
0
联系我们:info@booksci.cn Book学术提供免费学术资源搜索服务,方便国内外学者检索中英文文献。致力于提供最便捷和优质的服务体验。 Copyright © 2023 布克学术 All rights reserved.
京ICP备2023020795号-1
ghs 京公网安备 11010802042870号
Book学术文献互助
Book学术文献互助群
群 号:604180095
Book学术官方微信