Four-Dimensional Dual-Energy Computed Tomography-Derived Parameters and Their Correlation with Thyroid Gland Functional Status.

IF 2.2 4区 医学 Q2 RADIOLOGY, NUCLEAR MEDICINE & MEDICAL IMAGING
Max H M C Scheepers, Zaid J J Al-Difaie, Nicole D Bouvy, Bas Havekes, Alida A Postma
{"title":"Four-Dimensional Dual-Energy Computed Tomography-Derived Parameters and Their Correlation with Thyroid Gland Functional Status.","authors":"Max H M C Scheepers, Zaid J J Al-Difaie, Nicole D Bouvy, Bas Havekes, Alida A Postma","doi":"10.3390/tomography11030022","DOIUrl":null,"url":null,"abstract":"<p><strong>Purpose: </strong>Dual-energy computed tomography (DECT) allows for the measurement of iodine concentration, a component for the synthesis of thyroid hormones. DECT can create virtual non-contrast (VNC) images, potentially reducing radiation exposure. This study explores the correlations between thyroid function and iodine concentration, as well as the relationship between thyroid densities in true non-contrast (TNC) and virtual non-contrast (VNC) images and thyroid function.</p><p><strong>Methods: </strong>The study involved 87 patients undergoing 4D-CT imaging with single and dual-energy scans for diagnosing primary hyperparathyroidism. Thyroid densities and iodine concentrations were measured across all scanning phases. These measurements were correlated with thyroid function, indicated by TSH and FT4 levels. Differences in thyroid density between post-contrast phases and TNC phases (ΔHU) were analyzed for correlations with thyroid function and iodine concentrations.</p><p><strong>Results: </strong>Positive correlations between iodine concentrations and TSH were found, with Spearman's coefficients (R) of 0.414, 0.361, and 0.349 for non-contrast, arterial, and venous phases, respectively. Thyroid density on TNC showed significant positive correlations with TSH levels (R = 0.436), consistently across both single- (R = 0.435) and dual-energy (R = 0.422) scans. Thyroid densities on VNC images did not correlate with TSH or FT4. Differences in density between contrast and non-contrast scans (ΔHU) negatively correlated with TSH (<i>p</i> = 0.002).</p><p><strong>Conclusions: </strong>DECT-derived iodine concentrations and thyroid densities in non-contrast CT scans demonstrated positive correlations with thyroid function, in contrast to thyroid densities on VNC scans. This indicates that VNC images are unsuitable for this purpose. Correlations between ΔHU and TSH suggest a potential link between the thyroid's structural properties to capture iodine and its hormonal function. This study underscores the potential value of (DE-) CT imaging for evaluating thyroid function as an additional benefit in head and neck scans.</p>","PeriodicalId":51330,"journal":{"name":"Tomography","volume":"11 3","pages":""},"PeriodicalIF":2.2000,"publicationDate":"2025-02-26","publicationTypes":"Journal Article","fieldsOfStudy":null,"isOpenAccess":false,"openAccessPdf":"https://www.ncbi.nlm.nih.gov/pmc/articles/PMC11946797/pdf/","citationCount":"0","resultStr":null,"platform":"Semanticscholar","paperid":null,"PeriodicalName":"Tomography","FirstCategoryId":"3","ListUrlMain":"https://doi.org/10.3390/tomography11030022","RegionNum":4,"RegionCategory":"医学","ArticlePicture":[],"TitleCN":null,"AbstractTextCN":null,"PMCID":null,"EPubDate":"","PubModel":"","JCR":"Q2","JCRName":"RADIOLOGY, NUCLEAR MEDICINE & MEDICAL IMAGING","Score":null,"Total":0}
引用次数: 0

Abstract

Purpose: Dual-energy computed tomography (DECT) allows for the measurement of iodine concentration, a component for the synthesis of thyroid hormones. DECT can create virtual non-contrast (VNC) images, potentially reducing radiation exposure. This study explores the correlations between thyroid function and iodine concentration, as well as the relationship between thyroid densities in true non-contrast (TNC) and virtual non-contrast (VNC) images and thyroid function.

Methods: The study involved 87 patients undergoing 4D-CT imaging with single and dual-energy scans for diagnosing primary hyperparathyroidism. Thyroid densities and iodine concentrations were measured across all scanning phases. These measurements were correlated with thyroid function, indicated by TSH and FT4 levels. Differences in thyroid density between post-contrast phases and TNC phases (ΔHU) were analyzed for correlations with thyroid function and iodine concentrations.

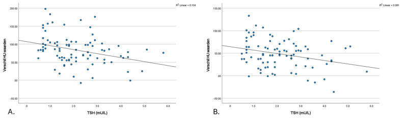
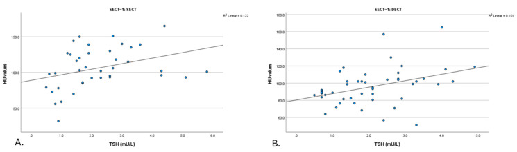
Results: Positive correlations between iodine concentrations and TSH were found, with Spearman's coefficients (R) of 0.414, 0.361, and 0.349 for non-contrast, arterial, and venous phases, respectively. Thyroid density on TNC showed significant positive correlations with TSH levels (R = 0.436), consistently across both single- (R = 0.435) and dual-energy (R = 0.422) scans. Thyroid densities on VNC images did not correlate with TSH or FT4. Differences in density between contrast and non-contrast scans (ΔHU) negatively correlated with TSH (p = 0.002).

Conclusions: DECT-derived iodine concentrations and thyroid densities in non-contrast CT scans demonstrated positive correlations with thyroid function, in contrast to thyroid densities on VNC scans. This indicates that VNC images are unsuitable for this purpose. Correlations between ΔHU and TSH suggest a potential link between the thyroid's structural properties to capture iodine and its hormonal function. This study underscores the potential value of (DE-) CT imaging for evaluating thyroid function as an additional benefit in head and neck scans.

Abstract Image

Abstract Image

Abstract Image

四维双能量计算机断层扫描衍生参数及其与甲状腺功能状态的相关性。
目的:双能计算机断层扫描(DECT)允许测量碘浓度,碘是甲状腺激素合成的一个组成部分。DECT可以创建虚拟无对比度(VNC)映像,潜在地减少辐射暴露。本研究探讨甲状腺功能与碘浓度之间的相关性,以及真实非对比(TNC)和虚拟非对比(VNC)图像中甲状腺密度与甲状腺功能之间的关系。方法:87例患者行4D-CT单能量和双能量扫描诊断原发性甲状旁腺功能亢进。在所有扫描阶段测量甲状腺密度和碘浓度。这些测量与甲状腺功能相关,由TSH和FT4水平指示。对比期和TNC期甲状腺密度的差异(ΔHU)与甲状腺功能和碘浓度的相关性进行了分析。结果:碘浓度与TSH呈正相关,非造影剂期、动脉期和静脉期的Spearman系数(R)分别为0.414、0.361和0.349。TNC上的甲状腺密度与TSH水平呈显著正相关(R = 0.436),在单能量扫描(R = 0.435)和双能量扫描(R = 0.422)中均一致。VNC图像上的甲状腺密度与TSH或FT4无关。对比扫描和非对比扫描之间的密度差异(ΔHU)与TSH呈负相关(p = 0.002)。结论:与VNC扫描的甲状腺密度相比,非对比CT扫描的dect衍生的碘浓度和甲状腺密度与甲状腺功能呈正相关。这表明VNC映像不适合用于此目的。ΔHU和TSH之间的相关性表明,甲状腺捕获碘的结构特性与其激素功能之间存在潜在的联系。本研究强调了(DE-) CT成像在评估甲状腺功能方面的潜在价值,作为头颈部扫描的额外益处。
本文章由计算机程序翻译,如有差异,请以英文原文为准。
求助全文
约1分钟内获得全文 求助全文
来源期刊
Tomography
Tomography Medicine-Radiology, Nuclear Medicine and Imaging
CiteScore
2.70
自引率
10.50%
发文量
222
期刊介绍: TomographyTM publishes basic (technical and pre-clinical) and clinical scientific articles which involve the advancement of imaging technologies. Tomography encompasses studies that use single or multiple imaging modalities including for example CT, US, PET, SPECT, MR and hyperpolarization technologies, as well as optical modalities (i.e. bioluminescence, photoacoustic, endomicroscopy, fiber optic imaging and optical computed tomography) in basic sciences, engineering, preclinical and clinical medicine. Tomography also welcomes studies involving exploration and refinement of contrast mechanisms and image-derived metrics within and across modalities toward the development of novel imaging probes for image-based feedback and intervention. The use of imaging in biology and medicine provides unparalleled opportunities to noninvasively interrogate tissues to obtain real-time dynamic and quantitative information required for diagnosis and response to interventions and to follow evolving pathological conditions. As multi-modal studies and the complexities of imaging technologies themselves are ever increasing to provide advanced information to scientists and clinicians. Tomography provides a unique publication venue allowing investigators the opportunity to more precisely communicate integrated findings related to the diverse and heterogeneous features associated with underlying anatomical, physiological, functional, metabolic and molecular genetic activities of normal and diseased tissue. Thus Tomography publishes peer-reviewed articles which involve the broad use of imaging of any tissue and disease type including both preclinical and clinical investigations. In addition, hardware/software along with chemical and molecular probe advances are welcome as they are deemed to significantly contribute towards the long-term goal of improving the overall impact of imaging on scientific and clinical discovery.
×
引用
GB/T 7714-2015
复制
MLA
复制
APA
复制
导出至
BibTeX EndNote RefMan NoteFirst NoteExpress
×
提示
您的信息不完整,为了账户安全,请先补充。
现在去补充
×
提示
您因"违规操作"
具体请查看互助需知
我知道了
×
提示
确定
请完成安全验证×
copy
已复制链接
快去分享给好友吧!
我知道了
右上角分享
点击右上角分享
0
联系我们:info@booksci.cn Book学术提供免费学术资源搜索服务,方便国内外学者检索中英文文献。致力于提供最便捷和优质的服务体验。 Copyright © 2023 布克学术 All rights reserved.
京ICP备2023020795号-1
ghs 京公网安备 11010802042870号
Book学术文献互助
Book学术文献互助群
群 号:604180095
Book学术官方微信