The 90% effective dose of ciprofol and propofol with S-ketamine for painless abortion: a randomized, double-blind, sequential dose-finding trial.

IF 3.4 3区 医学 Q2 PHARMACOLOGY & PHARMACY
Therapeutic Advances in Drug Safety Pub Date : 2025-03-24 eCollection Date: 2025-01-01 DOI:10.1177/20420986251328673
Qiang Tao, Qiao Shi, Tao Xu, Shanshan Ye
{"title":"The 90% effective dose of ciprofol and propofol with S-ketamine for painless abortion: a randomized, double-blind, sequential dose-finding trial.","authors":"Qiang Tao, Qiao Shi, Tao Xu, Shanshan Ye","doi":"10.1177/20420986251328673","DOIUrl":null,"url":null,"abstract":"<p><strong>Background: </strong>Unlike the propofol-opioids combination, a single dose of S-ketamine with propofol achieves the same anesthetic effects while effectively minimizing adverse reactions in painless abortion. Ciprofol, a novel analog of propofol, has distinct advantages, its application in painless abortion is underexplored.</p><p><strong>Objectives: </strong>To investigate a 90% effective dose (ED<sub>90</sub>) of ciprofol and propofol with S-ketamine for painless abortion.</p><p><strong>Design: </strong>This prospective biased coin up-and-down (BCUD) sequential dose-finding study aimed to estimate the ED<sub>90</sub> of ciprofol when administered with 0.15 mg/kg S-ketamine in painless abortion while comparing adverse effects incidence with the ED<sub>90</sub> of propofol when combined with the same dose of S-ketamine.</p><p><strong>Methods: </strong>Eighty patients were recruited and randomly allocated to either ciprofol or propofol groups, with initial doses of 0.375 mg/kg and 1.5 mg/kg, respectively. The dose for the subsequent patient in the study was based on the response of the preceding patient, following the BCUD design. The study estimated the ED<sub>90</sub> using isotonic regression. Secondary outcomes, including the incidence of injection pain, vital signs, and adverse events, were recorded and compared between the two groups.</p><p><strong>Results: </strong>The ED<sub>90</sub> of ciprofol with 0.15 mg/kg S-ketamine was 0.498 mg/kg (95% confidence interval: 0.498-0.510), while the ED<sub>90</sub> of propofol with 0.15 mg/kg S-ketamine was 1.99 mg/kg (95% confidence interval: 1.98-2.16). Patients in the ciprofol group had a lower incidence of respiratory pause (7.5% vs 52.5%; <i>p</i> < 0.001). Other adverse events and recovery time were comparable between groups.</p><p><strong>Conclusion: </strong>Compared to propofol and S-ketamine combination, ciprofol and S-ketamine are equally effective with reduced respiratory depression. Thus, clinicians should consider a dose of 0.5 mg/kg ciprofol with 0.15 mg/kg S-ketamine for painless abortion.</p><p><strong>Trial registration: </strong>http://www.chictr.org.cn; ChiCTR2400086522; July 5, 2024.</p>","PeriodicalId":23012,"journal":{"name":"Therapeutic Advances in Drug Safety","volume":"16 ","pages":"20420986251328673"},"PeriodicalIF":3.4000,"publicationDate":"2025-03-24","publicationTypes":"Journal Article","fieldsOfStudy":null,"isOpenAccess":false,"openAccessPdf":"https://www.ncbi.nlm.nih.gov/pmc/articles/PMC11946288/pdf/","citationCount":"0","resultStr":null,"platform":"Semanticscholar","paperid":null,"PeriodicalName":"Therapeutic Advances in Drug Safety","FirstCategoryId":"3","ListUrlMain":"https://doi.org/10.1177/20420986251328673","RegionNum":3,"RegionCategory":"医学","ArticlePicture":[],"TitleCN":null,"AbstractTextCN":null,"PMCID":null,"EPubDate":"2025/1/1 0:00:00","PubModel":"eCollection","JCR":"Q2","JCRName":"PHARMACOLOGY & PHARMACY","Score":null,"Total":0}
引用次数: 0

Abstract

Background: Unlike the propofol-opioids combination, a single dose of S-ketamine with propofol achieves the same anesthetic effects while effectively minimizing adverse reactions in painless abortion. Ciprofol, a novel analog of propofol, has distinct advantages, its application in painless abortion is underexplored.

Objectives: To investigate a 90% effective dose (ED90) of ciprofol and propofol with S-ketamine for painless abortion.

Design: This prospective biased coin up-and-down (BCUD) sequential dose-finding study aimed to estimate the ED90 of ciprofol when administered with 0.15 mg/kg S-ketamine in painless abortion while comparing adverse effects incidence with the ED90 of propofol when combined with the same dose of S-ketamine.

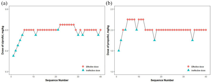
Methods: Eighty patients were recruited and randomly allocated to either ciprofol or propofol groups, with initial doses of 0.375 mg/kg and 1.5 mg/kg, respectively. The dose for the subsequent patient in the study was based on the response of the preceding patient, following the BCUD design. The study estimated the ED90 using isotonic regression. Secondary outcomes, including the incidence of injection pain, vital signs, and adverse events, were recorded and compared between the two groups.

Results: The ED90 of ciprofol with 0.15 mg/kg S-ketamine was 0.498 mg/kg (95% confidence interval: 0.498-0.510), while the ED90 of propofol with 0.15 mg/kg S-ketamine was 1.99 mg/kg (95% confidence interval: 1.98-2.16). Patients in the ciprofol group had a lower incidence of respiratory pause (7.5% vs 52.5%; p < 0.001). Other adverse events and recovery time were comparable between groups.

Conclusion: Compared to propofol and S-ketamine combination, ciprofol and S-ketamine are equally effective with reduced respiratory depression. Thus, clinicians should consider a dose of 0.5 mg/kg ciprofol with 0.15 mg/kg S-ketamine for painless abortion.

Trial registration: http://www.chictr.org.cn; ChiCTR2400086522; July 5, 2024.

Abstract Image

Abstract Image

Abstract Image

环丙酚和异丙酚联合s -氯胺酮用于无痛流产的90%有效剂量:一项随机、双盲、顺序剂量发现试验。
背景:与异丙酚-阿片类药物组合不同,单剂量s -氯胺酮与异丙酚在无痛流产中达到相同的麻醉效果,同时有效地减少不良反应。环丙酚是异丙酚的一种新型类似物,具有明显的优势,其在无痛流产中的应用尚不充分。目的:探讨环丙酚、异丙酚联合s -氯胺酮用于无痛人流的90%有效剂量(ED90)。设计:本前瞻性偏置硬币起落(BCUD)序贯剂量研究旨在评估环丙酚与0.15 mg/kg s -氯胺酮联合无痛流产时的ED90,并比较异丙酚与相同剂量s -氯胺酮联合使用时的ED90的不良反应发生率。方法:80例患者随机分为环丙酚组和异丙酚组,初始剂量分别为0.375 mg/kg和1.5 mg/kg。研究中后续患者的剂量是基于前一位患者的反应,遵循BCUD设计。本研究使用等渗回归估计ED90。记录并比较两组的次要结局,包括注射疼痛发生率、生命体征和不良事件。结果:环丙酚与0.15 mg/kg s -氯胺酮的ED90为0.498 mg/kg(95%可信区间:0.498 ~ 0.510),异丙酚与0.15 mg/kg s -氯胺酮的ED90为1.99 mg/kg(95%可信区间:1.98 ~ 2.16)。环丙酚组患者呼吸暂停发生率较低(7.5% vs 52.5%;结论:与异丙酚和s -氯胺酮联用相比,环丙酚和s -氯胺酮在减轻呼吸抑制方面同样有效。因此,临床医生应考虑0.5 mg/kg环丙酚联合0.15 mg/kg s -氯胺酮用于无痛流产。试验注册:http://www.chictr.org.cn;ChiCTR2400086522;2024年7月5日。
本文章由计算机程序翻译,如有差异,请以英文原文为准。
求助全文
约1分钟内获得全文 求助全文
来源期刊
Therapeutic Advances in Drug Safety
Therapeutic Advances in Drug Safety Medicine-Pharmacology (medical)
CiteScore
6.70
自引率
4.50%
发文量
31
审稿时长
9 weeks
期刊介绍: Therapeutic Advances in Drug Safety delivers the highest quality peer-reviewed articles, reviews, and scholarly comment on pioneering efforts and innovative studies pertaining to the safe use of drugs in patients. The journal has a strong clinical and pharmacological focus and is aimed at clinicians and researchers in drug safety, providing a forum in print and online for publishing the highest quality articles in this area. The editors welcome articles of current interest on research across all areas of drug safety, including therapeutic drug monitoring, pharmacoepidemiology, adverse drug reactions, drug interactions, pharmacokinetics, pharmacovigilance, medication/prescribing errors, risk management, ethics and regulation.
×
引用
GB/T 7714-2015
复制
MLA
复制
APA
复制
导出至
BibTeX EndNote RefMan NoteFirst NoteExpress
×
提示
您的信息不完整,为了账户安全,请先补充。
现在去补充
×
提示
您因"违规操作"
具体请查看互助需知
我知道了
×
提示
确定
请完成安全验证×
copy
已复制链接
快去分享给好友吧!
我知道了
右上角分享
点击右上角分享
0
联系我们:info@booksci.cn Book学术提供免费学术资源搜索服务,方便国内外学者检索中英文文献。致力于提供最便捷和优质的服务体验。 Copyright © 2023 布克学术 All rights reserved.
京ICP备2023020795号-1
ghs 京公网安备 11010802042870号
Book学术文献互助
Book学术文献互助群
群 号:604180095
Book学术官方微信