Dynamics of the vibro-impact capsule robot with a von Mises truss.

IF 5.2 2区 工程技术 Q1 ENGINEERING, MECHANICAL
Nonlinear Dynamics Pub Date : 2025-01-01 Epub Date: 2024-12-08 DOI:10.1007/s11071-024-10653-4
Yao Yan, Joseph Páez Chávez, Jiajia Shen, Yang Liu
{"title":"Dynamics of the vibro-impact capsule robot with a <i>von Mises</i> truss.","authors":"Yao Yan, Joseph Páez Chávez, Jiajia Shen, Yang Liu","doi":"10.1007/s11071-024-10653-4","DOIUrl":null,"url":null,"abstract":"<p><p>Functionalised nonlinear structures employing structural instabilities for rapid response shape-shifting are emerging technologies with a wide range of potential applications. The <i>von Mises</i> truss is a widely employed model for such functionalised nonlinear structures; however, few studies have delved into its functionality when integrated with a complex dynamical system. This paper investigates its efficacy on enhancing the progression speed of a vibration-driven robot, known as the vibro-impact capsule robot, which is a piecewise-smooth dynamical system having abundant coexisting attractors. Bifurcation analysis of the capsule robot integrated with a <i>von Mises</i> truss is conducted for this purpose. Our numerical studies focus on the influence of the frequency and amplitude of the robot's driving force on its progression. Specifically, we compare the periodic responses of both the capsule robots with and without the <i>von Mises</i> truss, utilising the numerical continuation techniques for piecewise-smooth dynamical systems. Our studies confirm the advantage of using the <i>von Mises</i> truss when the driving force of the robot is significantly small. Additionally, we identify an optimal operational regime on the amplitude-frequency control plane, where the maximum robot speed is achieved for a given amount of power consumption. The numerical studies presented in this work provide a promising indication of the advantages offered by the <i>von Mises</i> truss for vibration-driven robots. This research underscores the significant potential of functionalised nonlinear structures to enhance the efficiency of small-scale robots operating under power limitations.</p>","PeriodicalId":19723,"journal":{"name":"Nonlinear Dynamics","volume":"113 10","pages":"11047-11067"},"PeriodicalIF":5.2000,"publicationDate":"2025-01-01","publicationTypes":"Journal Article","fieldsOfStudy":null,"isOpenAccess":false,"openAccessPdf":"https://www.ncbi.nlm.nih.gov/pmc/articles/PMC11937207/pdf/","citationCount":"0","resultStr":null,"platform":"Semanticscholar","paperid":null,"PeriodicalName":"Nonlinear Dynamics","FirstCategoryId":"5","ListUrlMain":"https://doi.org/10.1007/s11071-024-10653-4","RegionNum":2,"RegionCategory":"工程技术","ArticlePicture":[],"TitleCN":null,"AbstractTextCN":null,"PMCID":null,"EPubDate":"2024/12/8 0:00:00","PubModel":"Epub","JCR":"Q1","JCRName":"ENGINEERING, MECHANICAL","Score":null,"Total":0}
引用次数: 0

Abstract

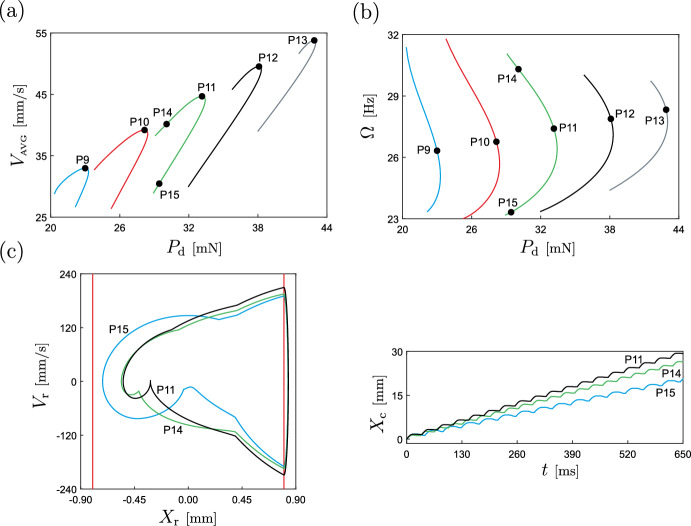
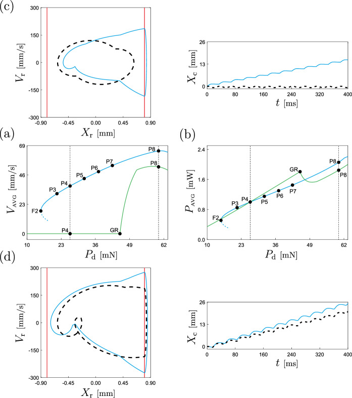
Functionalised nonlinear structures employing structural instabilities for rapid response shape-shifting are emerging technologies with a wide range of potential applications. The von Mises truss is a widely employed model for such functionalised nonlinear structures; however, few studies have delved into its functionality when integrated with a complex dynamical system. This paper investigates its efficacy on enhancing the progression speed of a vibration-driven robot, known as the vibro-impact capsule robot, which is a piecewise-smooth dynamical system having abundant coexisting attractors. Bifurcation analysis of the capsule robot integrated with a von Mises truss is conducted for this purpose. Our numerical studies focus on the influence of the frequency and amplitude of the robot's driving force on its progression. Specifically, we compare the periodic responses of both the capsule robots with and without the von Mises truss, utilising the numerical continuation techniques for piecewise-smooth dynamical systems. Our studies confirm the advantage of using the von Mises truss when the driving force of the robot is significantly small. Additionally, we identify an optimal operational regime on the amplitude-frequency control plane, where the maximum robot speed is achieved for a given amount of power consumption. The numerical studies presented in this work provide a promising indication of the advantages offered by the von Mises truss for vibration-driven robots. This research underscores the significant potential of functionalised nonlinear structures to enhance the efficiency of small-scale robots operating under power limitations.

Abstract Image

Abstract Image

Abstract Image

von Mises桁架振动冲击胶囊机器人动力学研究。
利用结构不稳定性实现快速响应变形的功能化非线性结构是一种具有广泛应用潜力的新兴技术。von Mises桁架是这类泛函化非线性结构广泛采用的模型;然而,很少有研究深入研究其与复杂动力系统集成时的功能。本文研究了该方法对振动驱动机器人(即振动冲击胶囊机器人)的推进速度的提高效果。振动冲击胶囊机器人是一个具有大量共存吸引子的分段光滑动力系统。为此,对集成了von Mises桁架的胶囊机器人进行了分岔分析。我们的数值研究集中于机器人驱动力的频率和振幅对其前进的影响。具体来说,我们利用分段光滑动力系统的数值延延技术,比较了有和没有von Mises桁架的胶囊机器人的周期响应。我们的研究证实了当机器人的驱动力非常小时,使用von Mises桁架的优势。此外,我们在幅频控制平面上确定了一个最佳的操作制度,在该制度下,机器人的最大速度是在给定的功耗下实现的。在这项工作中提出的数值研究提供了一个有希望的指示,冯米塞斯桁架为振动驱动机器人提供的优势。这项研究强调了功能化非线性结构的巨大潜力,以提高在功率限制下运行的小型机器人的效率。
本文章由计算机程序翻译,如有差异,请以英文原文为准。
求助全文
约1分钟内获得全文 求助全文
来源期刊
Nonlinear Dynamics
Nonlinear Dynamics 工程技术-工程:机械
CiteScore
9.00
自引率
17.90%
发文量
966
审稿时长
5.9 months
期刊介绍: Nonlinear Dynamics provides a forum for the rapid publication of original research in the field. The journal’s scope encompasses all nonlinear dynamic phenomena associated with mechanical, structural, civil, aeronautical, ocean, electrical, and control systems. Review articles and original contributions are based on analytical, computational, and experimental methods. The journal examines such topics as perturbation and computational methods, symbolic manipulation, dynamic stability, local and global methods, bifurcations, chaos, and deterministic and random vibrations. The journal also investigates Lie groups, multibody dynamics, robotics, fluid-solid interactions, system modeling and identification, friction and damping models, signal analysis, and measurement techniques.
×
引用
GB/T 7714-2015
复制
MLA
复制
APA
复制
导出至
BibTeX EndNote RefMan NoteFirst NoteExpress
×
提示
您的信息不完整,为了账户安全,请先补充。
现在去补充
×
提示
您因"违规操作"
具体请查看互助需知
我知道了
×
提示
确定
请完成安全验证×
copy
已复制链接
快去分享给好友吧!
我知道了
右上角分享
点击右上角分享
0
联系我们:info@booksci.cn Book学术提供免费学术资源搜索服务,方便国内外学者检索中英文文献。致力于提供最便捷和优质的服务体验。 Copyright © 2023 布克学术 All rights reserved.
京ICP备2023020795号-1
ghs 京公网安备 11010802042870号
Book学术文献互助
Book学术文献互助群
群 号:604180095
Book学术官方微信