Accelerometer-measured physical activity, sedentary behavior, and mortality among cancer survivors: the Women's Health Accelerometry Collaboration.

IF 4.1 Q2 ONCOLOGY
Eric T Hyde, Kelly R Evenson, Gretchen E Bandoli, Jingjing Zou, Noe C Crespo, Humberto Parada, Michael J LaMonte, Annie Green Howard, Steve Nguyen, Meghan B Skiba, Tracy E Crane, Marcia L Stefanick, I-Min Lee, Andrea Z LaCroix
{"title":"Accelerometer-measured physical activity, sedentary behavior, and mortality among cancer survivors: the Women's Health Accelerometry Collaboration.","authors":"Eric T Hyde, Kelly R Evenson, Gretchen E Bandoli, Jingjing Zou, Noe C Crespo, Humberto Parada, Michael J LaMonte, Annie Green Howard, Steve Nguyen, Meghan B Skiba, Tracy E Crane, Marcia L Stefanick, I-Min Lee, Andrea Z LaCroix","doi":"10.1093/jncics/pkaf034","DOIUrl":null,"url":null,"abstract":"<p><strong>Background: </strong>Data on prospective associations of accelerometer-measured physical activity, sedentary behavior, and mortality among cancer survivors are lacking. Our study examined accelerometer-measured daily physical activity (including light, moderate to vigorous, total, and steps), sedentary behavior (sitting time and mean bout duration), and mortality among cancer survivors in the Women's Health Accelerometry Collaboration.</p><p><strong>Methods: </strong>Postmenopausal women in the Collaboration who reported a cancer diagnosis at least 1 year prior to wearing an ActiGraph GT3X+ device on the hip for at least 4 of 7 days from 2011 to 2015 were included. Outcomes included all-cause, cancer-related, and cardiovascular disease (CVD)-related mortality. Covariate-adjusted Cox regression estimated hazard ratios (HRs) and 95% CIs for each physical activity and sedentary behavior measure in association with mortality.</p><p><strong>Results: </strong>Overall, 2479 cancer survivors (mean [SD] age, 74.2 [6.7] years) were followed up for 8.3 years. For all-cause mortality (n = 594 cases), every 78.1 minutes per day in light physical activity, 96.5 minutes per day in total physical activity, 102.2 minutes per day in sitting time, and 4.8 minutes in a sitting bout duration had hazard ratios of 0.92 (95% CI = 0.84 to 1.01), 0.89 (95% CI = 0.80 to 0.98), 1.12 (95% CI = 1.02 to 1.24), and 1.04 (95% CI = 0.96 to 1.12), respectively. Linear associations for cancer mortality (n = 168) and CVD mortality (n = 109) were not statistically significant, except for steps (hazard ratio per 2469 steps/d = 0.66, 95% CI = 0.45 to 0.96) and sitting time (hazard ratio = 1.30, 95% CI = 1.02 to 1.67) for CVD mortality. Nonlinear associations showed benefits of moderate to vigorous physical activity (for all-cause and CVD mortality) and steps (all-cause mortality only) maximized at approximately 60 minutes per day and 5000-6000 steps per day, respectively.</p><p><strong>Conclusions: </strong>Among postmenopausal cancer survivors, higher physical activity and lower sedentary behavior was associated with reduced hazards of all-cause and CVD mortality.</p>","PeriodicalId":14681,"journal":{"name":"JNCI Cancer Spectrum","volume":" ","pages":""},"PeriodicalIF":4.1000,"publicationDate":"2025-04-30","publicationTypes":"Journal Article","fieldsOfStudy":null,"isOpenAccess":false,"openAccessPdf":"https://www.ncbi.nlm.nih.gov/pmc/articles/PMC12062960/pdf/","citationCount":"0","resultStr":null,"platform":"Semanticscholar","paperid":null,"PeriodicalName":"JNCI Cancer Spectrum","FirstCategoryId":"1085","ListUrlMain":"https://doi.org/10.1093/jncics/pkaf034","RegionNum":0,"RegionCategory":null,"ArticlePicture":[],"TitleCN":null,"AbstractTextCN":null,"PMCID":null,"EPubDate":"","PubModel":"","JCR":"Q2","JCRName":"ONCOLOGY","Score":null,"Total":0}
引用次数: 0

Abstract

Background: Data on prospective associations of accelerometer-measured physical activity, sedentary behavior, and mortality among cancer survivors are lacking. Our study examined accelerometer-measured daily physical activity (including light, moderate to vigorous, total, and steps), sedentary behavior (sitting time and mean bout duration), and mortality among cancer survivors in the Women's Health Accelerometry Collaboration.

Methods: Postmenopausal women in the Collaboration who reported a cancer diagnosis at least 1 year prior to wearing an ActiGraph GT3X+ device on the hip for at least 4 of 7 days from 2011 to 2015 were included. Outcomes included all-cause, cancer-related, and cardiovascular disease (CVD)-related mortality. Covariate-adjusted Cox regression estimated hazard ratios (HRs) and 95% CIs for each physical activity and sedentary behavior measure in association with mortality.

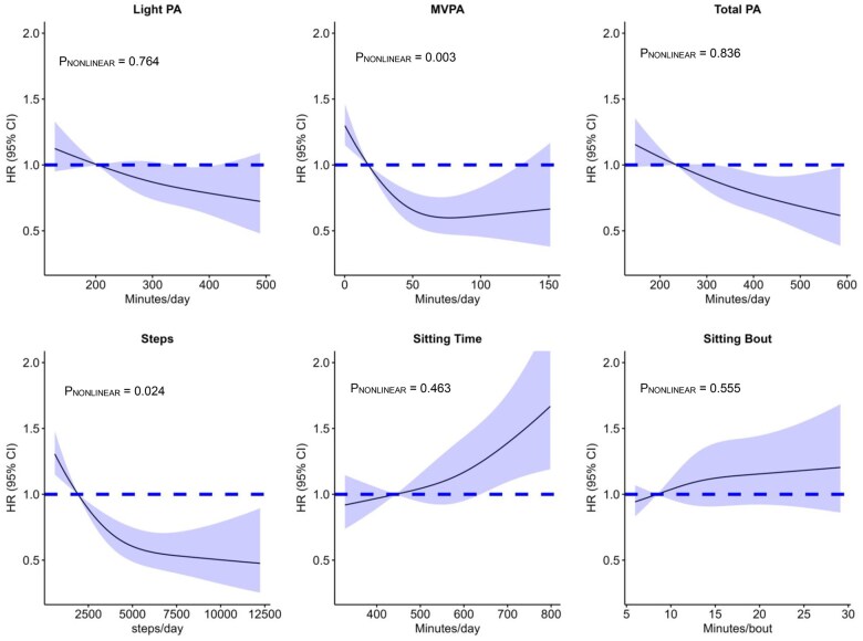
Results: Overall, 2479 cancer survivors (mean [SD] age, 74.2 [6.7] years) were followed up for 8.3 years. For all-cause mortality (n = 594 cases), every 78.1 minutes per day in light physical activity, 96.5 minutes per day in total physical activity, 102.2 minutes per day in sitting time, and 4.8 minutes in a sitting bout duration had hazard ratios of 0.92 (95% CI = 0.84 to 1.01), 0.89 (95% CI = 0.80 to 0.98), 1.12 (95% CI = 1.02 to 1.24), and 1.04 (95% CI = 0.96 to 1.12), respectively. Linear associations for cancer mortality (n = 168) and CVD mortality (n = 109) were not statistically significant, except for steps (hazard ratio per 2469 steps/d = 0.66, 95% CI = 0.45 to 0.96) and sitting time (hazard ratio = 1.30, 95% CI = 1.02 to 1.67) for CVD mortality. Nonlinear associations showed benefits of moderate to vigorous physical activity (for all-cause and CVD mortality) and steps (all-cause mortality only) maximized at approximately 60 minutes per day and 5000-6000 steps per day, respectively.

Conclusions: Among postmenopausal cancer survivors, higher physical activity and lower sedentary behavior was associated with reduced hazards of all-cause and CVD mortality.

Abstract Image

加速计测量的身体活动、久坐行为和癌症幸存者的死亡率:妇女健康加速计合作。
背景:目前缺乏加速计测量的身体活动(PA)、久坐行为(SB)和癌症幸存者死亡率之间的前瞻性关联数据。我们的研究检查了加速计测量的每日PA(包括轻、中至高PA [MVPA]、总PA和步数)、SB(坐着时间和平均运动时间)和妇女健康加速计协作(WHAC)癌症幸存者的死亡率。方法:纳入2011-2015年期间,在髋部佩戴ActiGraph GT3X+(7天中的4天)≥1年前报告癌症诊断的WHAC绝经后妇女。结果包括全因、癌症和心血管疾病(CVD)死亡率。协变量校正Cox回归估计了与死亡率相关的每个PA和SB测量的风险比(hr)和95%置信区间(CIs)。结果:总体而言,2479名癌症幸存者(平均[SD]年龄74.2[6.7]岁)被随访8.3年。在全因死亡率(594例)中,轻度PA为78.1 min/天,总PA为96.5 min/天,静坐时间为102.2 min/天,静坐时间为4.8 min,其hr (95% ci)分别为0.92(0.84-1.01)、0.89(0.80-0.98)、1.12(1.02-1.24)和1.04(0.96-1.12)。除了步数(每2469步/天HR =0.66, 95%CI: 0.45-0.96)和久坐时间(HR = 1.30, 95%CI: 1.02-1.67)与心血管疾病死亡率的相关性外,癌症死亡率(n = 168)和心血管疾病死亡率(n = 109)的线性相关性无统计学意义。非线性关联显示,MVPA(全因死亡率和心血管疾病死亡率)和步数(仅全因死亡率)的益处分别在60分钟/天和5000步/天左右最大化。结论:在绝经后癌症幸存者中,较高的PA和较低的SB与全因死亡率和心血管疾病死亡率的降低相关。
本文章由计算机程序翻译,如有差异,请以英文原文为准。
求助全文
约1分钟内获得全文 求助全文
来源期刊
JNCI Cancer Spectrum
JNCI Cancer Spectrum Medicine-Oncology
CiteScore
7.70
自引率
0.00%
发文量
80
审稿时长
18 weeks
×
引用
GB/T 7714-2015
复制
MLA
复制
APA
复制
导出至
BibTeX EndNote RefMan NoteFirst NoteExpress
×
提示
您的信息不完整,为了账户安全,请先补充。
现在去补充
×
提示
您因"违规操作"
具体请查看互助需知
我知道了
×
提示
确定
请完成安全验证×
copy
已复制链接
快去分享给好友吧!
我知道了
右上角分享
点击右上角分享
0
联系我们:info@booksci.cn Book学术提供免费学术资源搜索服务,方便国内外学者检索中英文文献。致力于提供最便捷和优质的服务体验。 Copyright © 2023 布克学术 All rights reserved.
京ICP备2023020795号-1
ghs 京公网安备 11010802042870号
Book学术文献互助
Book学术文献互助群
群 号:604180095
Book学术官方微信