Assessing the vulnerability of mountain value chains to environmental and social drivers in Europe: A land-use and stakeholder-based approach

IF 5.1 2区 环境科学与生态学 Q2 ENGINEERING, ENVIRONMENTAL
Ambio Pub Date : 2025-03-26 DOI:10.1007/s13280-025-02153-5
Pablo González-Moreno, Emilia Schmitt, Javier Moreno-Ortiz, Teresa Pinto-Correia, Nuno Guiomar, María del Mar Delgado-Serrano
{"title":"Assessing the vulnerability of mountain value chains to environmental and social drivers in Europe: A land-use and stakeholder-based approach","authors":"Pablo González-Moreno,&nbsp;Emilia Schmitt,&nbsp;Javier Moreno-Ortiz,&nbsp;Teresa Pinto-Correia,&nbsp;Nuno Guiomar,&nbsp;María del Mar Delgado-Serrano","doi":"10.1007/s13280-025-02153-5","DOIUrl":null,"url":null,"abstract":"<div><p>Mountain ranges are complex socio-ecological systems recognised as the “undervalued ecological backbone” of Europe as they provided essential ecosystem services and goods. However, we lack a deep understanding on their vulnerability to both environmental and social drivers. We carried out a stakeholder-based study assessing the vulnerability of 23 land-use systems supporting a wide range of value chains in European mountain regions. In total, 513 stakeholders participated in the evaluation of vulnerability, providing estimates for importance, exposure and sensitivity to the drivers and an assessment of 160 adaptation mechanisms. Vulnerability was calculated per region, factoring the impact of each driver and the potential reduction by adaptation mechanisms. The analysis highlighted the dominance of climate-related drivers, followed by demographic changes. Most of the adaptation mechanisms demonstrated strong social and environmental feasibility but moderate economic feasibility. Many mechanisms have shown limited implementation but offer valuable insights to reduce vulnerability in European mountain regions.</p></div>","PeriodicalId":461,"journal":{"name":"Ambio","volume":"54 8","pages":"1386 - 1403"},"PeriodicalIF":5.1000,"publicationDate":"2025-03-26","publicationTypes":"Journal Article","fieldsOfStudy":null,"isOpenAccess":false,"openAccessPdf":"https://www.ncbi.nlm.nih.gov/pmc/articles/PMC12214118/pdf/","citationCount":"0","resultStr":null,"platform":"Semanticscholar","paperid":null,"PeriodicalName":"Ambio","FirstCategoryId":"93","ListUrlMain":"https://link.springer.com/article/10.1007/s13280-025-02153-5","RegionNum":2,"RegionCategory":"环境科学与生态学","ArticlePicture":[],"TitleCN":null,"AbstractTextCN":null,"PMCID":null,"EPubDate":"","PubModel":"","JCR":"Q2","JCRName":"ENGINEERING, ENVIRONMENTAL","Score":null,"Total":0}
引用次数: 0

Abstract

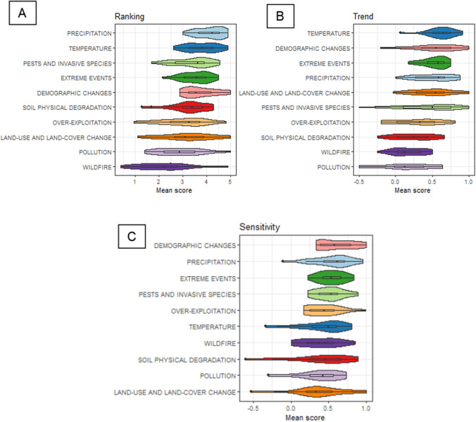
Mountain ranges are complex socio-ecological systems recognised as the “undervalued ecological backbone” of Europe as they provided essential ecosystem services and goods. However, we lack a deep understanding on their vulnerability to both environmental and social drivers. We carried out a stakeholder-based study assessing the vulnerability of 23 land-use systems supporting a wide range of value chains in European mountain regions. In total, 513 stakeholders participated in the evaluation of vulnerability, providing estimates for importance, exposure and sensitivity to the drivers and an assessment of 160 adaptation mechanisms. Vulnerability was calculated per region, factoring the impact of each driver and the potential reduction by adaptation mechanisms. The analysis highlighted the dominance of climate-related drivers, followed by demographic changes. Most of the adaptation mechanisms demonstrated strong social and environmental feasibility but moderate economic feasibility. Many mechanisms have shown limited implementation but offer valuable insights to reduce vulnerability in European mountain regions.

Abstract Image

Abstract Image

Abstract Image

评估欧洲山区价值链对环境和社会驱动因素的脆弱性:基于土地利用和利益相关者的方法。
山脉是复杂的社会生态系统,被认为是欧洲“被低估的生态支柱”,因为它们提供了重要的生态系统服务和产品。然而,我们对它们在环境和社会驱动因素下的脆弱性缺乏深刻认识。我们开展了一项基于利益相关者的研究,评估了支持欧洲山区广泛价值链的23个土地利用系统的脆弱性。总共有513个利益相关者参与了脆弱性评估,提供了对驱动因素的重要性、暴露度和敏感性的估计,并评估了160种适应机制。脆弱性是按区域计算的,考虑了每个驱动因素的影响和适应机制的潜在减少。该分析强调了气候相关驱动因素的主导地位,其次是人口变化。大多数适应机制表现出较强的社会和环境可行性,但经济可行性不高。许多机制的实施有限,但为减少欧洲山区的脆弱性提供了宝贵的见解。
本文章由计算机程序翻译,如有差异,请以英文原文为准。
求助全文
约1分钟内获得全文 求助全文
来源期刊
Ambio
Ambio 环境科学-工程:环境
CiteScore
14.30
自引率
3.10%
发文量
123
审稿时长
6 months
期刊介绍: Explores the link between anthropogenic activities and the environment, Ambio encourages multi- or interdisciplinary submissions with explicit management or policy recommendations. Ambio addresses the scientific, social, economic, and cultural factors that influence the condition of the human environment. Ambio particularly encourages multi- or inter-disciplinary submissions with explicit management or policy recommendations. For more than 45 years Ambio has brought international perspective to important developments in environmental research, policy and related activities for an international readership of specialists, generalists, students, decision-makers and interested laymen.
×
引用
GB/T 7714-2015
复制
MLA
复制
APA
复制
导出至
BibTeX EndNote RefMan NoteFirst NoteExpress
×
提示
您的信息不完整,为了账户安全,请先补充。
现在去补充
×
提示
您因"违规操作"
具体请查看互助需知
我知道了
×
提示
确定
请完成安全验证×
copy
已复制链接
快去分享给好友吧!
我知道了
右上角分享
点击右上角分享
0
联系我们:info@booksci.cn Book学术提供免费学术资源搜索服务,方便国内外学者检索中英文文献。致力于提供最便捷和优质的服务体验。 Copyright © 2023 布克学术 All rights reserved.
京ICP备2023020795号-1
ghs 京公网安备 11010802042870号
Book学术文献互助
Book学术文献互助群
群 号:604180095
Book学术官方微信