[Design and application of a gas-liquid separator for the removal of carbon dioxide in the eluent of an ion chromatography system].

Yong-Han Peng, Jing-Wen Tang, Yi-Hua Li, Fei-Fang Zhang, Bing-Cheng Yang
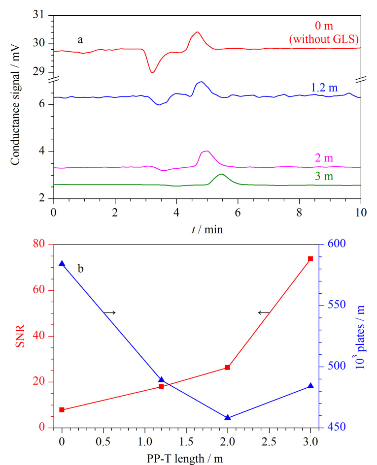
{"title":"[Design and application of a gas-liquid separator for the removal of carbon dioxide in the eluent of an ion chromatography system].","authors":"Yong-Han Peng, Jing-Wen Tang, Yi-Hua Li, Fei-Fang Zhang, Bing-Cheng Yang","doi":"10.3724/SP.J.1123.2024.03021","DOIUrl":null,"url":null,"abstract":"<p><p>A gas-liquid separator (GLS) for the removal of carbon dioxide in the eluent of an ion chromatography (IC) system was developed. Firstly, the microporous hollow fiber polypropylene tube (PP-T) was inserted into the polytetrafluoroethylene tube (PTFE-T) with suitable inner diameter to form a double casing structure and wound into a spiral shape. Each terminal of the PP-T is 3 cm longer than that of the PTFE-T. Then the terminals of PP-T and PTFE-T were fixed respectively on two horizontal joints equipped with tee joints, and the regenerated liquid pipeline was fixed on a vertical arm interface equipped with tee joints. When the carbonate eluent flows into PP-T from the upstream suppressor, the inhibited carbonate solution will decompose and produce CO<sub>2</sub>, which then escapes through PP-T and enters the flowing absorption solution located in the annular space between PP-T and PTFE-T, so as to achieve continuous and effective CO<sub>2</sub> removal. The production conditions and operating conditions of GLS were optimized, including the length of PP-T, the inner diameter of PTFE-T, the operating temperature, the type, concentration and flow rate of the absorption solution. The experimental results show that when 40 mmol/L potassium hydroxide solution is used as absorption solution, the removal efficiency of CO<sub>2</sub> can reach more than 98% at the flow rate of 1 mL/min. Higher operating temperature is helpful to improve the removal efficiency of CO<sub>2</sub> and reduce the baseline noise. The optimized operating temperature in this study was 40 ℃. When applying this GLS to the IC system for carbonate eluent, using a mixed eluent of 1.8 mmol/L potassium carbonate-3.2 mmol/L potassium bicarbonate (1∶1, v/v), the background conductance signal decreased from 41.6 mV without GLS to 5.5 mV after using GLS. Using a mixed standard solution of common anions (F<sup>-</sup>、Cl<sup>-</sup>、[Formula: see text] on the separation of other anions.</p>","PeriodicalId":101336,"journal":{"name":"Se pu = Chinese journal of chromatography","volume":"43 4","pages":"382-387"},"PeriodicalIF":0.0000,"publicationDate":"2025-04-08","publicationTypes":"Journal Article","fieldsOfStudy":null,"isOpenAccess":false,"openAccessPdf":"https://www.ncbi.nlm.nih.gov/pmc/articles/PMC11966376/pdf/","citationCount":"0","resultStr":null,"platform":"Semanticscholar","paperid":null,"PeriodicalName":"Se pu = Chinese journal of chromatography","FirstCategoryId":"1085","ListUrlMain":"https://doi.org/10.3724/SP.J.1123.2024.03021","RegionNum":0,"RegionCategory":null,"ArticlePicture":[],"TitleCN":null,"AbstractTextCN":null,"PMCID":null,"EPubDate":"","PubModel":"","JCR":"","JCRName":"","Score":null,"Total":0}
引用次数: 0

Abstract

A gas-liquid separator (GLS) for the removal of carbon dioxide in the eluent of an ion chromatography (IC) system was developed. Firstly, the microporous hollow fiber polypropylene tube (PP-T) was inserted into the polytetrafluoroethylene tube (PTFE-T) with suitable inner diameter to form a double casing structure and wound into a spiral shape. Each terminal of the PP-T is 3 cm longer than that of the PTFE-T. Then the terminals of PP-T and PTFE-T were fixed respectively on two horizontal joints equipped with tee joints, and the regenerated liquid pipeline was fixed on a vertical arm interface equipped with tee joints. When the carbonate eluent flows into PP-T from the upstream suppressor, the inhibited carbonate solution will decompose and produce CO2, which then escapes through PP-T and enters the flowing absorption solution located in the annular space between PP-T and PTFE-T, so as to achieve continuous and effective CO2 removal. The production conditions and operating conditions of GLS were optimized, including the length of PP-T, the inner diameter of PTFE-T, the operating temperature, the type, concentration and flow rate of the absorption solution. The experimental results show that when 40 mmol/L potassium hydroxide solution is used as absorption solution, the removal efficiency of CO2 can reach more than 98% at the flow rate of 1 mL/min. Higher operating temperature is helpful to improve the removal efficiency of CO2 and reduce the baseline noise. The optimized operating temperature in this study was 40 ℃. When applying this GLS to the IC system for carbonate eluent, using a mixed eluent of 1.8 mmol/L potassium carbonate-3.2 mmol/L potassium bicarbonate (1∶1, v/v), the background conductance signal decreased from 41.6 mV without GLS to 5.5 mV after using GLS. Using a mixed standard solution of common anions (F-、Cl-、[Formula: see text] on the separation of other anions.

Abstract Image

Abstract Image

Abstract Image

[用于去除离子色谱系统洗脱液中二氧化碳的气液分离器的设计与应用]。
研制了一种用于离子色谱系统洗脱液中二氧化碳的气液分离器(GLS)。首先,将微孔中空聚丙烯纤维管(PP-T)插入合适内径的聚四氟乙烯管(PTFE-T)中,形成双套管结构,缠绕成螺旋状。PP-T的每个端子比PTFE-T的长3cm。然后将PP-T和PTFE-T端子分别固定在两个带三通接头的水平接头上,将再生液管道固定在一个带三通接头的垂直臂界面上。当碳酸盐洗脱液从上游抑制器流入PP-T时,被抑制的碳酸盐溶液分解产生CO2, CO2通过PP-T逸出,进入位于PP-T与PTFE-T之间环形空间的流动吸收液中,从而实现连续有效的CO2脱除。对吸附液的生产条件和操作条件进行了优化,包括PP-T的长度、聚四氟乙烯- t的内径、操作温度、吸收液的种类、浓度和流速。实验结果表明,以40 mmol/L氢氧化钾溶液为吸收液,以1 mL/min的流速对CO2的去除率可达98%以上。较高的工作温度有利于提高CO2的脱除效率,降低基线噪声。本研究的最佳操作温度为40℃。将该GLS应用于碳酸盐洗脱液IC系统中,以1.8 mmol/L碳酸钾-3.2 mmol/L碳酸氢钾(1∶1,v/v)为混合洗脱液时,背景电导信号从无GLS时的41.6 mV下降到有GLS后的5.5 mV。用常见阴离子(F-、Cl-)的混合标准溶液,[公式:见文]对其他阴离子进行分离。
本文章由计算机程序翻译,如有差异,请以英文原文为准。
求助全文
约1分钟内获得全文 求助全文
来源期刊
自引率
0.00%
发文量
0
×
引用
GB/T 7714-2015
复制
MLA
复制
APA
复制
导出至
BibTeX EndNote RefMan NoteFirst NoteExpress
×
提示
您的信息不完整,为了账户安全,请先补充。
现在去补充
×
提示
您因"违规操作"
具体请查看互助需知
我知道了
×
提示
确定
请完成安全验证×
copy
已复制链接
快去分享给好友吧!
我知道了
右上角分享
点击右上角分享
0
联系我们:info@booksci.cn Book学术提供免费学术资源搜索服务,方便国内外学者检索中英文文献。致力于提供最便捷和优质的服务体验。 Copyright © 2023 布克学术 All rights reserved.
京ICP备2023020795号-1
ghs 京公网安备 11010802042870号
Book学术文献互助
Book学术文献互助群
群 号:604180095
Book学术官方微信