[Prognostic value of prolymphocyte percentage in chronic lymphocytic leukemia].

Q3 Medicine
Z L Zhang, J H Zhou, L X Xing, Y Wang, T L Qiu, R Wang, H Wang, L Fan, H Y Zhu, Y Miao, J Y Li
{"title":"[Prognostic value of prolymphocyte percentage in chronic lymphocytic leukemia].","authors":"Z L Zhang, J H Zhou, L X Xing, Y Wang, T L Qiu, R Wang, H Wang, L Fan, H Y Zhu, Y Miao, J Y Li","doi":"10.3760/cma.j.cn121090-20241205-00537","DOIUrl":null,"url":null,"abstract":"<p><p><b>Objective:</b> To investigate the impact of peripheral blood prolymphocyte percentage on the prognosis of patients with chronic lymphocytic leukemia (CLL) . <b>Methods:</b> This study included 300 patients diagnosed with CLL at the Department of Hematology of Jiangsu Provincial People's Hospital from October 2011 to December 2020. The association between prolymphocyte percentage and other parameters was analyzed, and the optimal cutoff prolymphocyte percentage was determined by X-tile analysis. Further survival analysis and prognostic model construction were used to validate the predictive value of prolymphocyte percentage. <b>Results:</b> Of the 300 eligible patients with CLL who were enrolled, 50 received Bruton tyrosine kinase inhibitors (BTKi) as first-line treatment. The group with higher prolymphocyte percentage comprised more patients in the advanced stages (<i>P</i>=0.010) and had higher β(2)-microglobulin (<i>P</i><0.001), unmutated immunoglobulin heavy-chain variable region gene (<i>P</i><0.001), and TP53 aberration (<i>P</i>=0.004). The optimal cutoff percentage of prolymphocytes was 1%. Patients with a prolymphocyte percentage >1% had significantly shorter treatment-free survival (TFS) (<i>P</i><0.001) and overall survival time (<i>P</i>=0.007) than patients with a prolymphocyte percentage ≤1%. On multivariate analysis, prolymphocyte percentage >1% tended to have an independent prognostic value for TFS [<i>HR</i>=1.405 (95% <i>CI</i> 0.971~2.032), <i>P</i>=0.071]. Compared with the nomogram of CLL international prognostic index (CLL-IPI) alone, the nomogram of CLL-IPI combined with prolymphocyte percentage showed better discrimination (area under the curve: 0.778 <i>vs</i>. 0.637; <i>P</i>=0.006). In addition, patients with a prolymphocyte percentage >1% were more likely to progress after BTKi treatment (<i>P</i>=0.038) . <b>Conclusion:</b> Peripheral blood prolymphocyte percentage was associated with various clinical and biological parameters and prognosis among patients with treatment-naive CLL.</p>","PeriodicalId":24016,"journal":{"name":"Zhonghua xue ye xue za zhi = Zhonghua xueyexue zazhi","volume":"46 2","pages":"140-146"},"PeriodicalIF":0.0000,"publicationDate":"2025-02-14","publicationTypes":"Journal Article","fieldsOfStudy":null,"isOpenAccess":false,"openAccessPdf":"https://www.ncbi.nlm.nih.gov/pmc/articles/PMC11951225/pdf/","citationCount":"0","resultStr":null,"platform":"Semanticscholar","paperid":null,"PeriodicalName":"Zhonghua xue ye xue za zhi = Zhonghua xueyexue zazhi","FirstCategoryId":"1085","ListUrlMain":"https://doi.org/10.3760/cma.j.cn121090-20241205-00537","RegionNum":0,"RegionCategory":null,"ArticlePicture":[],"TitleCN":null,"AbstractTextCN":null,"PMCID":null,"EPubDate":"","PubModel":"","JCR":"Q3","JCRName":"Medicine","Score":null,"Total":0}
引用次数: 0

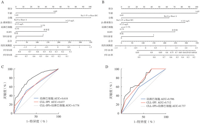
Abstract

Objective: To investigate the impact of peripheral blood prolymphocyte percentage on the prognosis of patients with chronic lymphocytic leukemia (CLL) . Methods: This study included 300 patients diagnosed with CLL at the Department of Hematology of Jiangsu Provincial People's Hospital from October 2011 to December 2020. The association between prolymphocyte percentage and other parameters was analyzed, and the optimal cutoff prolymphocyte percentage was determined by X-tile analysis. Further survival analysis and prognostic model construction were used to validate the predictive value of prolymphocyte percentage. Results: Of the 300 eligible patients with CLL who were enrolled, 50 received Bruton tyrosine kinase inhibitors (BTKi) as first-line treatment. The group with higher prolymphocyte percentage comprised more patients in the advanced stages (P=0.010) and had higher β(2)-microglobulin (P<0.001), unmutated immunoglobulin heavy-chain variable region gene (P<0.001), and TP53 aberration (P=0.004). The optimal cutoff percentage of prolymphocytes was 1%. Patients with a prolymphocyte percentage >1% had significantly shorter treatment-free survival (TFS) (P<0.001) and overall survival time (P=0.007) than patients with a prolymphocyte percentage ≤1%. On multivariate analysis, prolymphocyte percentage >1% tended to have an independent prognostic value for TFS [HR=1.405 (95% CI 0.971~2.032), P=0.071]. Compared with the nomogram of CLL international prognostic index (CLL-IPI) alone, the nomogram of CLL-IPI combined with prolymphocyte percentage showed better discrimination (area under the curve: 0.778 vs. 0.637; P=0.006). In addition, patients with a prolymphocyte percentage >1% were more likely to progress after BTKi treatment (P=0.038) . Conclusion: Peripheral blood prolymphocyte percentage was associated with various clinical and biological parameters and prognosis among patients with treatment-naive CLL.

Abstract Image

Abstract Image

Abstract Image

[慢性淋巴细胞白血病前淋巴细胞百分比的预后价值]。
目的:探讨外周血淋巴原细胞百分比对慢性淋巴细胞白血病(CLL)患者预后的影响。方法:本研究纳入2011年10月至2020年12月江苏省人民医院血液科诊断为CLL的300例患者。分析原淋巴细胞百分比与其他参数的相关性,并通过X-tile分析确定最佳截断原淋巴细胞百分比。进一步的生存分析和预后模型的构建验证了前淋巴细胞百分比的预测价值。结果:在入选的300例符合条件的CLL患者中,50例接受布鲁顿酪氨酸激酶抑制剂(BTKi)作为一线治疗。前淋巴细胞百分比较高组晚期患者较多(P=0.010), β(2)-微球蛋白含量较高(PPP=0.004)。前淋巴细胞的最佳切断率为1%。原淋巴细胞百分比低于1%的患者的无治疗生存期(TFS) (PP=0.007)明显短于原淋巴细胞百分比≤1%的患者。多因素分析显示,前淋巴细胞百分比>.1 %对TFS有独立的预后价值[HR=1.405 (95% CI 0.971~2.032), P=0.071]。与单用CLL- ipi的nomogram相比,CLL- ipi联合前淋巴细胞百分比的nomogram具有更好的辨别性(曲线下面积:0.778 vs. 0.637;P = 0.006)。此外,原淋巴细胞百分比为>.1 %的患者在BTKi治疗后更容易进展(P=0.038)。结论:初治CLL患者外周血原淋巴细胞百分比与多种临床、生物学参数及预后相关。
本文章由计算机程序翻译,如有差异,请以英文原文为准。
求助全文
约1分钟内获得全文 求助全文
来源期刊
CiteScore
0.80
自引率
0.00%
发文量
100
×
引用
GB/T 7714-2015
复制
MLA
复制
APA
复制
导出至
BibTeX EndNote RefMan NoteFirst NoteExpress
×
提示
您的信息不完整,为了账户安全,请先补充。
现在去补充
×
提示
您因"违规操作"
具体请查看互助需知
我知道了
×
提示
确定
请完成安全验证×
copy
已复制链接
快去分享给好友吧!
我知道了
右上角分享
点击右上角分享
0
联系我们:info@booksci.cn Book学术提供免费学术资源搜索服务,方便国内外学者检索中英文文献。致力于提供最便捷和优质的服务体验。 Copyright © 2023 布克学术 All rights reserved.
京ICP备2023020795号-1
ghs 京公网安备 11010802042870号
Book学术文献互助
Book学术文献互助群
群 号:604180095
Book学术官方微信