Calibration of transition probabilities to model survival of adjuvant trastuzumab for early breast cancer in Indonesia.

IF 3.1 4区 医学 Q2 HEALTH CARE SCIENCES & SERVICES
Arie Rahadi, Rizki Tsalatshita Khair Mahardya, Putri Listiani, Eva Herlinawaty, Ryan Rachmad Nugraha, Dani Ramdhani Budiman, Christian Suharlim
{"title":"Calibration of transition probabilities to model survival of adjuvant trastuzumab for early breast cancer in Indonesia.","authors":"Arie Rahadi, Rizki Tsalatshita Khair Mahardya, Putri Listiani, Eva Herlinawaty, Ryan Rachmad Nugraha, Dani Ramdhani Budiman, Christian Suharlim","doi":"10.1017/S0266462325000157","DOIUrl":null,"url":null,"abstract":"<p><strong>Objectives: </strong>Cost-effectiveness models fully informed by real-world epidemiological parameters yield the best results, but they are costly to obtain. Model calibration using real-world data/evidence (RWD/E) on routine health indicators can provide an alternative to improve the validity and acceptability of the results. We calibrated the transition probabilities of the reference chemotherapy treatment using RWE on patient overall survival (OS) to model the survival benefit of adjuvant trastuzumab in Indonesia.</p><p><strong>Methods: </strong>A Markov model comprising four health states was initially parameterized using the reference-treatment transition probabilities, obtained from published international evidence. We then calibrated these probabilities, targeting a 2-year OS of 86.11 percent from the RWE sourced from hospital registries. We compared projected OS duration and life-years gained (LYG) before and after calibration for the Nelder-Mead, Bound Optimization BY Quadratic Approximation, and generalized reduced gradient (GRG) nonlinear optimization methods.</p><p><strong>Results: </strong>The pre-calibrated transition probabilities overestimated the 2-year OS (92.25 percent). GRG nonlinear performed best and had the smallest difference with the RWD/E OS. After calibration, the projected OS duration was significantly lower than their pre-calibrated estimates across all optimization methods for both standard chemotherapy (~7.50 vs. 11.00 years) and adjuvant trastuzumab (~9.50 vs. 12.94 years). LYG measures were, however, similar (~2 years) for the pre-calibrated and calibrated models.</p><p><strong>Conclusions: </strong>RWD/E calibration resulted in realistically lower survival estimates. Despite the little difference in LYG, calibration is useful to adapt external evidence commonly used to derive transition probabilities to the policy context, thereby enhancing the validity and acceptability of the modeling results.</p>","PeriodicalId":14467,"journal":{"name":"International Journal of Technology Assessment in Health Care","volume":"41 1","pages":"e18"},"PeriodicalIF":3.1000,"publicationDate":"2025-03-26","publicationTypes":"Journal Article","fieldsOfStudy":null,"isOpenAccess":false,"openAccessPdf":"https://www.ncbi.nlm.nih.gov/pmc/articles/PMC11955306/pdf/","citationCount":"0","resultStr":null,"platform":"Semanticscholar","paperid":null,"PeriodicalName":"International Journal of Technology Assessment in Health Care","FirstCategoryId":"3","ListUrlMain":"https://doi.org/10.1017/S0266462325000157","RegionNum":4,"RegionCategory":"医学","ArticlePicture":[],"TitleCN":null,"AbstractTextCN":null,"PMCID":null,"EPubDate":"","PubModel":"","JCR":"Q2","JCRName":"HEALTH CARE SCIENCES & SERVICES","Score":null,"Total":0}
引用次数: 0

Abstract

Objectives: Cost-effectiveness models fully informed by real-world epidemiological parameters yield the best results, but they are costly to obtain. Model calibration using real-world data/evidence (RWD/E) on routine health indicators can provide an alternative to improve the validity and acceptability of the results. We calibrated the transition probabilities of the reference chemotherapy treatment using RWE on patient overall survival (OS) to model the survival benefit of adjuvant trastuzumab in Indonesia.

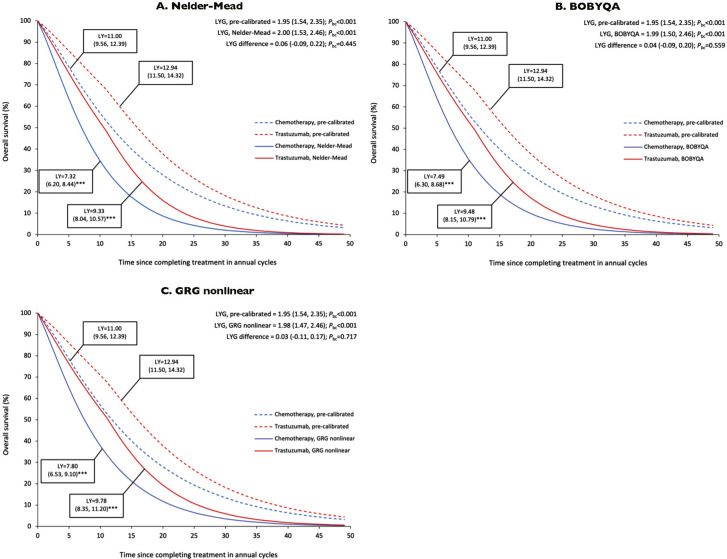
Methods: A Markov model comprising four health states was initially parameterized using the reference-treatment transition probabilities, obtained from published international evidence. We then calibrated these probabilities, targeting a 2-year OS of 86.11 percent from the RWE sourced from hospital registries. We compared projected OS duration and life-years gained (LYG) before and after calibration for the Nelder-Mead, Bound Optimization BY Quadratic Approximation, and generalized reduced gradient (GRG) nonlinear optimization methods.

Results: The pre-calibrated transition probabilities overestimated the 2-year OS (92.25 percent). GRG nonlinear performed best and had the smallest difference with the RWD/E OS. After calibration, the projected OS duration was significantly lower than their pre-calibrated estimates across all optimization methods for both standard chemotherapy (~7.50 vs. 11.00 years) and adjuvant trastuzumab (~9.50 vs. 12.94 years). LYG measures were, however, similar (~2 years) for the pre-calibrated and calibrated models.

Conclusions: RWD/E calibration resulted in realistically lower survival estimates. Despite the little difference in LYG, calibration is useful to adapt external evidence commonly used to derive transition probabilities to the policy context, thereby enhancing the validity and acceptability of the modeling results.

Abstract Image

Abstract Image

Abstract Image

印度尼西亚早期乳腺癌辅助曲妥珠单抗生存模型转移概率的校准。
目的:充分了解现实世界流行病学参数的成本效益模型可产生最佳结果,但获得成本很高。使用常规健康指标的真实数据/证据(RWD/E)进行模型校准可以提供一种替代方法,以提高结果的有效性和可接受性。我们使用RWE对印度尼西亚患者总生存期(OS)校准了参考化疗的转移概率,以模拟辅助曲妥珠单抗的生存获益。方法:采用参考治疗转移概率对包含四种健康状态的马尔可夫模型进行初始参数化,该模型来源于国际上已发表的证据。然后,我们对这些概率进行了校准,目标是来自医院登记的RWE的2年OS为86.11%。我们比较了Nelder-Mead、二次逼近约束优化和广义简化梯度(GRG)非线性优化方法在校准前后的预计OS持续时间和寿命年(LYG)。结果:预校准的转移概率高估了2年OS(92.25%)。GRG非线性效果最好,与RWD/E OS差异最小。校准后,在所有优化方法中,标准化疗(~7.50年vs. 11.00年)和辅助曲妥珠单抗(~9.50年vs. 12.94年)的预计OS持续时间均显著低于校准前的估计。然而,预校准和校准模型的LYG测量值相似(~2年)。结论:RWD/E校准导致实际较低的生存估计。尽管LYG的差异很小,但校准有助于将通常用于推导转移概率的外部证据适应政策背景,从而提高建模结果的有效性和可接受性。
本文章由计算机程序翻译,如有差异,请以英文原文为准。
求助全文
约1分钟内获得全文 求助全文
来源期刊
International Journal of Technology Assessment in Health Care
International Journal of Technology Assessment in Health Care 医学-公共卫生、环境卫生与职业卫生
CiteScore
4.40
自引率
15.60%
发文量
116
审稿时长
6-12 weeks
期刊介绍: International Journal of Technology Assessment in Health Care serves as a forum for the wide range of health policy makers and professionals interested in the economic, social, ethical, medical and public health implications of health technology. It covers the development, evaluation, diffusion and use of health technology, as well as its impact on the organization and management of health care systems and public health. In addition to general essays and research reports, regular columns on technology assessment reports and thematic sections are published.
×
引用
GB/T 7714-2015
复制
MLA
复制
APA
复制
导出至
BibTeX EndNote RefMan NoteFirst NoteExpress
×
提示
您的信息不完整,为了账户安全,请先补充。
现在去补充
×
提示
您因"违规操作"
具体请查看互助需知
我知道了
×
提示
确定
请完成安全验证×
copy
已复制链接
快去分享给好友吧!
我知道了
右上角分享
点击右上角分享
0
联系我们:info@booksci.cn Book学术提供免费学术资源搜索服务,方便国内外学者检索中英文文献。致力于提供最便捷和优质的服务体验。 Copyright © 2023 布克学术 All rights reserved.
京ICP备2023020795号-1
ghs 京公网安备 11010802042870号
Book学术文献互助
Book学术文献互助群
群 号:604180095
Book学术官方微信