Psychiatric disorders as predictor of adherence to non-invasive ventilation treatment in patients with acute exacerbation in chronic obstructive pulmonary disease - a real life study.

IF 1.4 Q3 RESPIRATORY SYSTEM
European Clinical Respiratory Journal Pub Date : 2025-03-24 eCollection Date: 2025-01-01 DOI:10.1080/20018525.2025.2484080
Johanne Hermann Karlsen, Peter Ascanius Jacobsen, Mia Solholt Godthaab Brath, Ulla Møller Weinreich
{"title":"Psychiatric disorders as predictor of adherence to non-invasive ventilation treatment in patients with acute exacerbation in chronic obstructive pulmonary disease - a real life study.","authors":"Johanne Hermann Karlsen, Peter Ascanius Jacobsen, Mia Solholt Godthaab Brath, Ulla Møller Weinreich","doi":"10.1080/20018525.2025.2484080","DOIUrl":null,"url":null,"abstract":"<p><strong>Introduction: </strong>Non-invasive ventilation (NIV) treatment is effective and potentially lifesaving in patients with respiratory acidosis and acute exacerbation of chronic obstructive pulmonary disease (AECOPD). However, feelings of anxiety during NIV treatment are common, potentially leading to premature patient-initiated termination of treatment.The primary aim of this study is to examine whether psychiatric disorders are a risk factor of premature patient-initiated termination of NIV treatment. The secondary aim is to examine the patterns in use of sedative drugs during NIV treatment.</p><p><strong>Methods: </strong>This retrospective cohort study includes 195 patients with AECOPD receiving NIV between 1 January and 31 December 2018, in hospitals in the Northern Region of Denmark. Information was obtained from medical records. Psychiatric disorders were defined by the use of psycholeptics at home, right before admission.Primary outcome was premature patient-initiated termination of NIV treatment. Secondary outcome was the use of any sedative drug during NIV treatment.</p><p><strong>Results: </strong>Patient-initiated premature termination was seen in 41 (21%) of cases. This group had a significantly higher mortality (43.9% vs. 19.5% in the total population, <i>p</i> < 0.01). A higher risk of patient-initiated premature termination was seen in patients with psychiatric disorders (Odds ratio 2.18, <i>p</i> < 0.05) and older age (Odds ratio 1.06, <i>p</i> < 0.05). No significant difference in the use of sedative drugs was seen (34.1% vs. 38.1% in the total population, p 0.12).</p><p><strong>Conclusion: </strong>A significantly higher risk of premature patient-initiated termination of NIV treatment was seen in patients with psychiatric disorders and older patients, but not in patients with active smoking or excessive use of alcohol. No significant difference in the pattern of sedative drug use during treatment was seen.</p>","PeriodicalId":11872,"journal":{"name":"European Clinical Respiratory Journal","volume":"12 1","pages":"2484080"},"PeriodicalIF":1.4000,"publicationDate":"2025-03-24","publicationTypes":"Journal Article","fieldsOfStudy":null,"isOpenAccess":false,"openAccessPdf":"https://www.ncbi.nlm.nih.gov/pmc/articles/PMC11934182/pdf/","citationCount":"0","resultStr":null,"platform":"Semanticscholar","paperid":null,"PeriodicalName":"European Clinical Respiratory Journal","FirstCategoryId":"1085","ListUrlMain":"https://doi.org/10.1080/20018525.2025.2484080","RegionNum":0,"RegionCategory":null,"ArticlePicture":[],"TitleCN":null,"AbstractTextCN":null,"PMCID":null,"EPubDate":"2025/1/1 0:00:00","PubModel":"eCollection","JCR":"Q3","JCRName":"RESPIRATORY SYSTEM","Score":null,"Total":0}
引用次数: 0

Abstract

Introduction: Non-invasive ventilation (NIV) treatment is effective and potentially lifesaving in patients with respiratory acidosis and acute exacerbation of chronic obstructive pulmonary disease (AECOPD). However, feelings of anxiety during NIV treatment are common, potentially leading to premature patient-initiated termination of treatment.The primary aim of this study is to examine whether psychiatric disorders are a risk factor of premature patient-initiated termination of NIV treatment. The secondary aim is to examine the patterns in use of sedative drugs during NIV treatment.

Methods: This retrospective cohort study includes 195 patients with AECOPD receiving NIV between 1 January and 31 December 2018, in hospitals in the Northern Region of Denmark. Information was obtained from medical records. Psychiatric disorders were defined by the use of psycholeptics at home, right before admission.Primary outcome was premature patient-initiated termination of NIV treatment. Secondary outcome was the use of any sedative drug during NIV treatment.

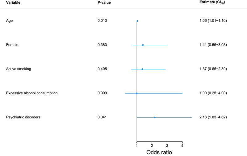
Results: Patient-initiated premature termination was seen in 41 (21%) of cases. This group had a significantly higher mortality (43.9% vs. 19.5% in the total population, p < 0.01). A higher risk of patient-initiated premature termination was seen in patients with psychiatric disorders (Odds ratio 2.18, p < 0.05) and older age (Odds ratio 1.06, p < 0.05). No significant difference in the use of sedative drugs was seen (34.1% vs. 38.1% in the total population, p 0.12).

Conclusion: A significantly higher risk of premature patient-initiated termination of NIV treatment was seen in patients with psychiatric disorders and older patients, but not in patients with active smoking or excessive use of alcohol. No significant difference in the pattern of sedative drug use during treatment was seen.

Abstract Image

Abstract Image

Abstract Image

精神疾病作为慢性阻塞性肺疾病急性加重患者坚持无创通气治疗的预测因素——一项现实生活研究
无创通气(NIV)治疗对呼吸性酸中毒和慢性阻塞性肺疾病(AECOPD)急性加重患者是有效的,并且可能挽救生命。然而,在NIV治疗期间的焦虑感是常见的,可能导致患者过早终止治疗。本研究的主要目的是探讨精神疾病是否是患者过早终止NIV治疗的危险因素。第二个目的是检查在NIV治疗期间镇静药物的使用模式。方法:本回顾性队列研究包括丹麦北部地区医院2018年1月1日至12月31日期间接受NIV治疗的195例AECOPD患者。资料是从医疗记录中获得的。精神障碍是通过入院前在家使用抗精神病药来定义的。主要结局是患者主动终止NIV治疗。次要结果是在NIV治疗期间使用任何镇静药物。结果:41例(21%)的病例是由患者引起的早产。这组患者的死亡率明显高于对照组(43.9% vs. 19.5%)。结论:精神疾病患者和老年患者过早终止NIV治疗的风险明显较高,而吸烟或过度饮酒的患者则无此风险。治疗期间镇静药物使用模式无显著差异。
本文章由计算机程序翻译,如有差异,请以英文原文为准。
求助全文
约1分钟内获得全文 求助全文
来源期刊
CiteScore
3.80
自引率
0.00%
发文量
15
审稿时长
16 weeks
×
引用
GB/T 7714-2015
复制
MLA
复制
APA
复制
导出至
BibTeX EndNote RefMan NoteFirst NoteExpress
×
提示
您的信息不完整,为了账户安全,请先补充。
现在去补充
×
提示
您因"违规操作"
具体请查看互助需知
我知道了
×
提示
确定
请完成安全验证×
copy
已复制链接
快去分享给好友吧!
我知道了
右上角分享
点击右上角分享
0
联系我们:info@booksci.cn Book学术提供免费学术资源搜索服务,方便国内外学者检索中英文文献。致力于提供最便捷和优质的服务体验。 Copyright © 2023 布克学术 All rights reserved.
京ICP备2023020795号-1
ghs 京公网安备 11010802042870号
Book学术文献互助
Book学术文献互助群
群 号:604180095
Book学术官方微信