Dimensionality Reduction in Lingual Articulation of Vowels: Evidence From Lax Vowels in Northern Anglo-English.

IF 1.1 2区 文学 Q3 AUDIOLOGY & SPEECH-LANGUAGE PATHOLOGY
Language and Speech Pub Date : 2025-09-01 Epub Date: 2025-03-25 DOI:10.1177/00238309251320581
Patrycja Strycharczuk, Sam Kirkham, Emily Gorman, Takayuki Nagamine
{"title":"Dimensionality Reduction in Lingual Articulation of Vowels: Evidence From Lax Vowels in Northern Anglo-English.","authors":"Patrycja Strycharczuk, Sam Kirkham, Emily Gorman, Takayuki Nagamine","doi":"10.1177/00238309251320581","DOIUrl":null,"url":null,"abstract":"<p><p>There is a long-standing debate on the relevant articulatory dimensions for describing vowel production. In the absence of a theoretical or methodological consensus, different articulatory studies of vowels rely on different measures, which leads to lack of comparability between different sets of results. This paper addresses the problem of how to parametrise the tongue measurements relevant to vowels, obtained from midsagittal articulatory imaging. We focus on the lax vowels subsystem in Northern Anglo-English. A range of measures quantifying tongue position, height, and shape are extracted from an ultrasound dataset representing 40 speakers. These measures are compared, based on how well they capture the lingual contrast between different vowels, how stable they are across different speakers, and how intercorrelated they are. The results suggest that different measures are preferred for different vowels, which supports a multi-dimensional approach in quantifying vowel articulation.</p>","PeriodicalId":51255,"journal":{"name":"Language and Speech","volume":" ","pages":"689-721"},"PeriodicalIF":1.1000,"publicationDate":"2025-09-01","publicationTypes":"Journal Article","fieldsOfStudy":null,"isOpenAccess":false,"openAccessPdf":"https://www.ncbi.nlm.nih.gov/pmc/articles/PMC12365354/pdf/","citationCount":"0","resultStr":null,"platform":"Semanticscholar","paperid":null,"PeriodicalName":"Language and Speech","FirstCategoryId":"98","ListUrlMain":"https://doi.org/10.1177/00238309251320581","RegionNum":2,"RegionCategory":"文学","ArticlePicture":[],"TitleCN":null,"AbstractTextCN":null,"PMCID":null,"EPubDate":"2025/3/25 0:00:00","PubModel":"Epub","JCR":"Q3","JCRName":"AUDIOLOGY & SPEECH-LANGUAGE PATHOLOGY","Score":null,"Total":0}
引用次数: 0

Abstract

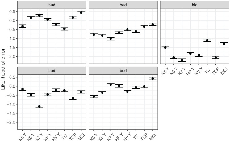
There is a long-standing debate on the relevant articulatory dimensions for describing vowel production. In the absence of a theoretical or methodological consensus, different articulatory studies of vowels rely on different measures, which leads to lack of comparability between different sets of results. This paper addresses the problem of how to parametrise the tongue measurements relevant to vowels, obtained from midsagittal articulatory imaging. We focus on the lax vowels subsystem in Northern Anglo-English. A range of measures quantifying tongue position, height, and shape are extracted from an ultrasound dataset representing 40 speakers. These measures are compared, based on how well they capture the lingual contrast between different vowels, how stable they are across different speakers, and how intercorrelated they are. The results suggest that different measures are preferred for different vowels, which supports a multi-dimensional approach in quantifying vowel articulation.

Abstract Image

Abstract Image

Abstract Image

元音发音的维数降低:来自北方盎格鲁英语中元音松弛的证据。
关于描述元音产生的相关发音维度存在长期争论。在缺乏理论或方法共识的情况下,元音的不同发音研究依赖于不同的测量方法,这导致不同结果集之间缺乏可比性。本文解决了如何参数化舌测量相关的元音,从中矢状关节成像获得的问题。我们着重研究了北方盎格鲁英语中的弱元音子系统。从40个说话人的超声波数据集中提取了一系列量化舌头位置、高度和形状的测量方法。对这些测量进行比较的基础是,它们捕捉不同元音之间的语言对比的程度,它们在不同说话者之间的稳定程度,以及它们之间的相互关联程度。结果表明,不同的元音采用不同的测量方法,这支持了元音发音量化的多维方法。
本文章由计算机程序翻译,如有差异,请以英文原文为准。
求助全文
约1分钟内获得全文 求助全文
来源期刊
Language and Speech
Language and Speech AUDIOLOGY & SPEECH-LANGUAGE PATHOLOGY-
CiteScore
4.00
自引率
5.60%
发文量
39
审稿时长
>12 weeks
期刊介绍: Language and Speech is a peer-reviewed journal which provides an international forum for communication among researchers in the disciplines that contribute to our understanding of the production, perception, processing, learning, use, and disorders of speech and language. The journal accepts reports of original research in all these areas.
×
引用
GB/T 7714-2015
复制
MLA
复制
APA
复制
导出至
BibTeX EndNote RefMan NoteFirst NoteExpress
×
提示
您的信息不完整,为了账户安全,请先补充。
现在去补充
×
提示
您因"违规操作"
具体请查看互助需知
我知道了
×
提示
确定
请完成安全验证×
copy
已复制链接
快去分享给好友吧!
我知道了
右上角分享
点击右上角分享
0
联系我们:info@booksci.cn Book学术提供免费学术资源搜索服务,方便国内外学者检索中英文文献。致力于提供最便捷和优质的服务体验。 Copyright © 2023 布克学术 All rights reserved.
京ICP备2023020795号-1
ghs 京公网安备 11010802042870号
Book学术文献互助
Book学术文献互助群
群 号:604180095
Book学术官方微信