Lung Adenocarcinoma With Bone Metastases: Clinicogenomic Profiling and Insights Into Prognostic Factors.

IF 2.6 4区 医学 Q3 ONCOLOGY
Cancer Control Pub Date : 2025-01-01 Epub Date: 2025-03-24 DOI:10.1177/10732748251325587
Ahmed H Al Sharie, Rami K Jadallah, Mahmoud Z Al-Bataineh, Lana E Obeidat, Hanin Lataifeh, Mahmoud I Tarad, Mustafa Q Khasawneh, Walaa Almdallal, Tamam El-Elimat, Feras Q Alali
{"title":"Lung Adenocarcinoma With Bone Metastases: Clinicogenomic Profiling and Insights Into Prognostic Factors.","authors":"Ahmed H Al Sharie, Rami K Jadallah, Mahmoud Z Al-Bataineh, Lana E Obeidat, Hanin Lataifeh, Mahmoud I Tarad, Mustafa Q Khasawneh, Walaa Almdallal, Tamam El-Elimat, Feras Q Alali","doi":"10.1177/10732748251325587","DOIUrl":null,"url":null,"abstract":"<p><p>IntroductionLung adenocarcinoma is the leading cause of cancer-related mortality worldwide. Understanding the clinicopathological profiles and genomic drivers of its metastatic patterns is a crucial step for risk stratification. Herein, we investigated the clinicogenomic features of bone metastases in lung adenocarcinoma and their prognostic value.MethodsA retrospective cohort study with a total of 4064 patients with various metastatic patterns of lung adenocarcinoma were included, obtaining relevant clinical data and genomic profiles. Patients were categorized based on the presence or absence of bone metastases. A comparative analysis of both groups in terms of demographics, disease status, somatic mutations, and microsatellite instability was carried out. Significantly different variables were tested for their association with bone metastases. Cox regression analyses were utilized to identify independent survival prognostic variables in the bone metastases sub-cohort.ResultsGender, concomitant metastases (to adrenal gland, nervous system, lymph nodes, liver, lung, mediastinum, pleura, and skin), and aberrations in <i>TP53</i>, <i>EGFR</i>, <i>KEAP1</i>, and <i>MYC</i> were associated with bone metastases in lung adenocarcinoma. Survival analyses within the bone metastases sub-cohort have illustrated the following variables to possess poor prognostic signature including age > 75, female gender, White ethnicity, distant metastases (adrenal gland, central nervous system, intra-abdominal, and liver), <i>EGFR</i> (wild type), <i>KEAP1</i> (mutant), <i>MYC</i> (mutant), <i>KRAS</i> (mutant), and <i>SMARCA4</i> (mutant).ConclusionKey clinical and genomic factors associated with lung adenocarcinoma bone metastases have been highlighted, providing exploratory insights into high-risk individuals. Future studies should be directed to validate these prognostic variables in larger, more diverse cohorts to enhance generalizability.</p>","PeriodicalId":49093,"journal":{"name":"Cancer Control","volume":"32 ","pages":"10732748251325587"},"PeriodicalIF":2.6000,"publicationDate":"2025-01-01","publicationTypes":"Journal Article","fieldsOfStudy":null,"isOpenAccess":false,"openAccessPdf":"https://www.ncbi.nlm.nih.gov/pmc/articles/PMC11938876/pdf/","citationCount":"0","resultStr":null,"platform":"Semanticscholar","paperid":null,"PeriodicalName":"Cancer Control","FirstCategoryId":"3","ListUrlMain":"https://doi.org/10.1177/10732748251325587","RegionNum":4,"RegionCategory":"医学","ArticlePicture":[],"TitleCN":null,"AbstractTextCN":null,"PMCID":null,"EPubDate":"2025/3/24 0:00:00","PubModel":"Epub","JCR":"Q3","JCRName":"ONCOLOGY","Score":null,"Total":0}
引用次数: 0

Abstract

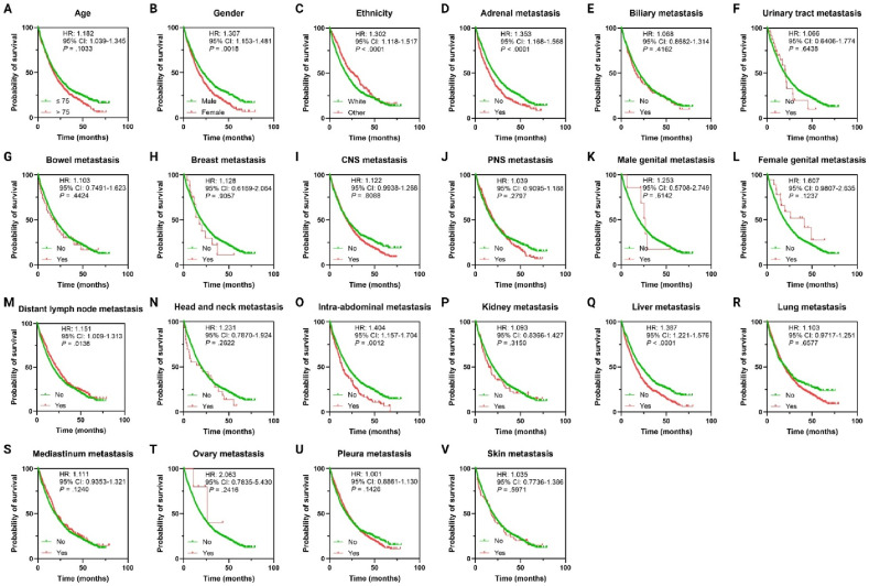
IntroductionLung adenocarcinoma is the leading cause of cancer-related mortality worldwide. Understanding the clinicopathological profiles and genomic drivers of its metastatic patterns is a crucial step for risk stratification. Herein, we investigated the clinicogenomic features of bone metastases in lung adenocarcinoma and their prognostic value.MethodsA retrospective cohort study with a total of 4064 patients with various metastatic patterns of lung adenocarcinoma were included, obtaining relevant clinical data and genomic profiles. Patients were categorized based on the presence or absence of bone metastases. A comparative analysis of both groups in terms of demographics, disease status, somatic mutations, and microsatellite instability was carried out. Significantly different variables were tested for their association with bone metastases. Cox regression analyses were utilized to identify independent survival prognostic variables in the bone metastases sub-cohort.ResultsGender, concomitant metastases (to adrenal gland, nervous system, lymph nodes, liver, lung, mediastinum, pleura, and skin), and aberrations in TP53, EGFR, KEAP1, and MYC were associated with bone metastases in lung adenocarcinoma. Survival analyses within the bone metastases sub-cohort have illustrated the following variables to possess poor prognostic signature including age > 75, female gender, White ethnicity, distant metastases (adrenal gland, central nervous system, intra-abdominal, and liver), EGFR (wild type), KEAP1 (mutant), MYC (mutant), KRAS (mutant), and SMARCA4 (mutant).ConclusionKey clinical and genomic factors associated with lung adenocarcinoma bone metastases have been highlighted, providing exploratory insights into high-risk individuals. Future studies should be directed to validate these prognostic variables in larger, more diverse cohorts to enhance generalizability.

Abstract Image

Abstract Image

Abstract Image

肺腺癌骨转移:临床基因组分析和预后因素的见解。
肺腺癌是全球癌症相关死亡的主要原因。了解其转移模式的临床病理特征和基因组驱动因素是风险分层的关键一步。在此,我们研究了肺腺癌骨转移的临床基因组学特征及其预后价值。方法回顾性队列研究共纳入4064例不同转移类型肺腺癌患者,获取相关临床资料和基因组图谱。根据是否存在骨转移对患者进行分类。在人口统计学、疾病状况、体细胞突变和微卫星不稳定性方面对两组进行了比较分析。我们测试了不同的变量来确定它们与骨转移的关系。采用Cox回归分析确定骨转移亚队列的独立生存预后变量。结果肺腺癌骨转移与性别、伴发性转移(肾上腺、神经系统、淋巴结、肝脏、肺、纵隔、胸膜和皮肤)以及TP53、EGFR、KEAP1和MYC异常有关。骨转移亚队列的生存分析表明,以下变量具有不良预后特征,包括年龄,女性,白人,远处转移(肾上腺,中枢神经系统,腹腔和肝脏),EGFR(野生型),KEAP1(突变型),MYC(突变型),KRAS(突变型)和SMARCA4(突变型)。结论与肺腺癌骨转移相关的关键临床和基因组因素已得到强调,为高危人群提供了探索性见解。未来的研究应该在更大、更多样化的队列中验证这些预后变量,以提高通用性。
本文章由计算机程序翻译,如有差异,请以英文原文为准。
求助全文
约1分钟内获得全文 求助全文
来源期刊
Cancer Control
Cancer Control ONCOLOGY-
CiteScore
3.80
自引率
0.00%
发文量
148
审稿时长
>12 weeks
期刊介绍: Cancer Control is a JCR-ranked, peer-reviewed open access journal whose mission is to advance the prevention, detection, diagnosis, treatment, and palliative care of cancer by enabling researchers, doctors, policymakers, and other healthcare professionals to freely share research along the cancer control continuum. Our vision is a world where gold-standard cancer care is the norm, not the exception.
×
引用
GB/T 7714-2015
复制
MLA
复制
APA
复制
导出至
BibTeX EndNote RefMan NoteFirst NoteExpress
×
提示
您的信息不完整,为了账户安全,请先补充。
现在去补充
×
提示
您因"违规操作"
具体请查看互助需知
我知道了
×
提示
确定
请完成安全验证×
copy
已复制链接
快去分享给好友吧!
我知道了
右上角分享
点击右上角分享
0
联系我们:info@booksci.cn Book学术提供免费学术资源搜索服务,方便国内外学者检索中英文文献。致力于提供最便捷和优质的服务体验。 Copyright © 2023 布克学术 All rights reserved.
京ICP备2023020795号-1
ghs 京公网安备 11010802042870号
Book学术文献互助
Book学术文献互助群
群 号:604180095
Book学术官方微信