Antidepressant Use Trajectories and Risk of Discontinuation After Adolescents and Young Adult Cancer Diagnosis.

IF 2.4 4区 医学 Q3 PHARMACOLOGY & PHARMACY
Oluwadamilola Onasanya, Udim Damachi, Susan dosReis, Wendy Camelo Castillo
{"title":"Antidepressant Use Trajectories and Risk of Discontinuation After Adolescents and Young Adult Cancer Diagnosis.","authors":"Oluwadamilola Onasanya, Udim Damachi, Susan dosReis, Wendy Camelo Castillo","doi":"10.1002/pds.70131","DOIUrl":null,"url":null,"abstract":"<p><strong>Background: </strong>Little is known about the continuity of antidepressant treatment after adolescent and young adult (AYA) cancer diagnosis. Clinical guidelines recommend that past antidepressant use trajectories should inform decisions on discontinuation after cancer diagnosis. We characterized AYAs' antidepressant adherence trajectories before incident cancer diagnosis and assessed any association between their past adherence trajectory and the risk of antidepressant discontinuation up to 1 year afterward.</p><p><strong>Methods: </strong>We conducted a retrospective, longitudinal cohort study of AYAs receiving ≥ 2 antidepressant fills 9 months before incident cancer diagnosis (index date). Group-based trajectory modeling was used to estimate latent subgroups of antidepressant adherence before cancer diagnosis, using monthly proportions of days covered (PDC) over the nine-month baseline; IQVIA PharMetrics Plus for Academics US claims, 2006-2020. Discontinuation was defined as ≥ 60-days gap without antidepressants within 1 year post-index date.</p><p><strong>Results: </strong>We observed three distinct antidepressant adherence trajectory groups before cancer diagnosis: recent start (17% of cohort, mean PDC [range]: 0.25 [0.03-0.49]); gradually increasing (36%, mean PDC [range]: 0.57 [0.22-0.81]); and consistently high (47%, mean PDC [range]: 0.90 [0.62-1.00]). Compared with AYAs exhibiting prior consistently high adherence trajectories, those with recent start (HR, [95% CI] 1.96, [1.46-2.63]) and gradually increasing (HR, [95% CI] 1.52, [1.20-1.93]) trajectories experienced about 2 times the higher risk of antidepressant discontinuation over the year following cancer diagnosis.</p><p><strong>Conclusion: </strong>Past antidepressant trajectory is associated with antidepressant discontinuation after AYA cancer diagnosis. Attention is needed in the psycho-oncologic care of AYAs who recently started antidepressants before cancer diagnosis.</p>","PeriodicalId":19782,"journal":{"name":"Pharmacoepidemiology and Drug Safety","volume":"34 4","pages":"e70131"},"PeriodicalIF":2.4000,"publicationDate":"2025-04-01","publicationTypes":"Journal Article","fieldsOfStudy":null,"isOpenAccess":false,"openAccessPdf":"https://www.ncbi.nlm.nih.gov/pmc/articles/PMC11934844/pdf/","citationCount":"0","resultStr":null,"platform":"Semanticscholar","paperid":null,"PeriodicalName":"Pharmacoepidemiology and Drug Safety","FirstCategoryId":"3","ListUrlMain":"https://doi.org/10.1002/pds.70131","RegionNum":4,"RegionCategory":"医学","ArticlePicture":[],"TitleCN":null,"AbstractTextCN":null,"PMCID":null,"EPubDate":"","PubModel":"","JCR":"Q3","JCRName":"PHARMACOLOGY & PHARMACY","Score":null,"Total":0}
引用次数: 0

Abstract

Background: Little is known about the continuity of antidepressant treatment after adolescent and young adult (AYA) cancer diagnosis. Clinical guidelines recommend that past antidepressant use trajectories should inform decisions on discontinuation after cancer diagnosis. We characterized AYAs' antidepressant adherence trajectories before incident cancer diagnosis and assessed any association between their past adherence trajectory and the risk of antidepressant discontinuation up to 1 year afterward.

Methods: We conducted a retrospective, longitudinal cohort study of AYAs receiving ≥ 2 antidepressant fills 9 months before incident cancer diagnosis (index date). Group-based trajectory modeling was used to estimate latent subgroups of antidepressant adherence before cancer diagnosis, using monthly proportions of days covered (PDC) over the nine-month baseline; IQVIA PharMetrics Plus for Academics US claims, 2006-2020. Discontinuation was defined as ≥ 60-days gap without antidepressants within 1 year post-index date.

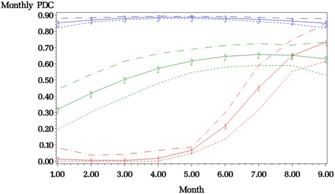
Results: We observed three distinct antidepressant adherence trajectory groups before cancer diagnosis: recent start (17% of cohort, mean PDC [range]: 0.25 [0.03-0.49]); gradually increasing (36%, mean PDC [range]: 0.57 [0.22-0.81]); and consistently high (47%, mean PDC [range]: 0.90 [0.62-1.00]). Compared with AYAs exhibiting prior consistently high adherence trajectories, those with recent start (HR, [95% CI] 1.96, [1.46-2.63]) and gradually increasing (HR, [95% CI] 1.52, [1.20-1.93]) trajectories experienced about 2 times the higher risk of antidepressant discontinuation over the year following cancer diagnosis.

Conclusion: Past antidepressant trajectory is associated with antidepressant discontinuation after AYA cancer diagnosis. Attention is needed in the psycho-oncologic care of AYAs who recently started antidepressants before cancer diagnosis.

Abstract Image

Abstract Image

Abstract Image

青少年和青年癌症诊断后抗抑郁药的使用轨迹和停药风险。
背景:人们对青少年癌症诊断后抗抑郁治疗的持续性知之甚少。临床指南建议,在确诊癌症后,应根据以往的抗抑郁药使用轨迹来决定是否停药。我们描述了青少年在确诊癌症前的抗抑郁药使用轨迹,并评估了他们过去的使用轨迹与确诊癌症后一年内停用抗抑郁药风险之间的关联:我们开展了一项回顾性纵向队列研究,研究对象是在癌症确诊前9个月(指标日期)接受过≥2次抗抑郁药物治疗的亚健康人群。我们采用基于群体的轨迹模型来估计癌症诊断前抗抑郁药依从性的潜在亚组,使用的是 9 个月基线期间的每月覆盖天数比例 (PDC);IQVIA PharMetrics Plus for Academics 美国索赔,2006-2020 年。停药定义为指数日期后 1 年内未服用抗抑郁药的间隔期≥ 60 天:我们观察到癌症确诊前三组不同的抗抑郁药依从性轨迹:最近开始(占队列的 17%,平均 PDC [范围]:0.25 [0.03-0.49]);逐渐增加(36%,平均 PDC [范围]:0.57 [0.22-0.81]);持续高水平(47%,平均 PDC [范围]:0.90 [0.62-1.00])。与之前表现出持续高依从性轨迹的青少年相比,近期开始(HR,[95% CI]1.96,[1.46-2.63])和逐渐增加(HR,[95% CI]1.52,[1.20-1.93])轨迹的青少年在癌症确诊后一年内停用抗抑郁药的风险高出约2倍:结论:过去的抗抑郁治疗轨迹与青少年癌症确诊后停用抗抑郁药物有关。对于那些在癌症确诊前刚开始服用抗抑郁药的亚健康人群,需要在肿瘤心理治疗方面给予关注。
本文章由计算机程序翻译,如有差异,请以英文原文为准。
求助全文
约1分钟内获得全文 求助全文
来源期刊
CiteScore
4.80
自引率
7.70%
发文量
173
审稿时长
3 months
期刊介绍: The aim of Pharmacoepidemiology and Drug Safety is to provide an international forum for the communication and evaluation of data, methods and opinion in the discipline of pharmacoepidemiology. The Journal publishes peer-reviewed reports of original research, invited reviews and a variety of guest editorials and commentaries embracing scientific, medical, statistical, legal and economic aspects of pharmacoepidemiology and post-marketing surveillance of drug safety. Appropriate material in these categories may also be considered for publication as a Brief Report. Particular areas of interest include: design, analysis, results, and interpretation of studies looking at the benefit or safety of specific pharmaceuticals, biologics, or medical devices, including studies in pharmacovigilance, postmarketing surveillance, pharmacoeconomics, patient safety, molecular pharmacoepidemiology, or any other study within the broad field of pharmacoepidemiology; comparative effectiveness research relating to pharmaceuticals, biologics, and medical devices. Comparative effectiveness research is the generation and synthesis of evidence that compares the benefits and harms of alternative methods to prevent, diagnose, treat, and monitor a clinical condition, as these methods are truly used in the real world; methodologic contributions of relevance to pharmacoepidemiology, whether original contributions, reviews of existing methods, or tutorials for how to apply the methods of pharmacoepidemiology; assessments of harm versus benefit in drug therapy; patterns of drug utilization; relationships between pharmacoepidemiology and the formulation and interpretation of regulatory guidelines; evaluations of risk management plans and programmes relating to pharmaceuticals, biologics and medical devices.
×
引用
GB/T 7714-2015
复制
MLA
复制
APA
复制
导出至
BibTeX EndNote RefMan NoteFirst NoteExpress
×
提示
您的信息不完整,为了账户安全,请先补充。
现在去补充
×
提示
您因"违规操作"
具体请查看互助需知
我知道了
×
提示
确定
请完成安全验证×
copy
已复制链接
快去分享给好友吧!
我知道了
右上角分享
点击右上角分享
0
联系我们:info@booksci.cn Book学术提供免费学术资源搜索服务,方便国内外学者检索中英文文献。致力于提供最便捷和优质的服务体验。 Copyright © 2023 布克学术 All rights reserved.
京ICP备2023020795号-1
ghs 京公网安备 11010802042870号
Book学术文献互助
Book学术文献互助群
群 号:604180095
Book学术官方微信