Effects of alcohol consumption from early adolescence on lung function and development of COPD - a retrospective cohort study.

IF 1.4 Q3 RESPIRATORY SYSTEM
European Clinical Respiratory Journal Pub Date : 2025-03-19 eCollection Date: 2025-01-01 DOI:10.1080/20018525.2025.2476232
Mathias Therkelsen King, Line Bjerrehave Nielsen, Ulla Møller Weinreich
{"title":"Effects of alcohol consumption from early adolescence on lung function and development of COPD - a retrospective cohort study.","authors":"Mathias Therkelsen King, Line Bjerrehave Nielsen, Ulla Møller Weinreich","doi":"10.1080/20018525.2025.2476232","DOIUrl":null,"url":null,"abstract":"<p><strong>Background: </strong>Studies indicate a U-shaped relationship between alcohol consumption (AC) and chronic obstructive pulmonary disease (COPD) with low-moderate AC being protective. We investigated the influence of AC debut (ACD) at different ages on forced expiratory volume in the first second (FEV1), forced vital capacity (FVC) and COPD development.</p><p><strong>Methods: </strong>In a multi-center cohort study, data on AC were collected through a questionnaire and spirometry performed at baseline and follow-up. COPD was defined as FEV1/FVC-ratio <0.7 on post-bronchodilator spirometry. Modelling determined odds ratio (OR) of COPD and mean differences in FEV1 and FVC in stratified age groups of ACD. Never drinkers were used as reference. Adjustments were made for age, sex, smoking parameters, asthma, and education.</p><p><strong>Results: </strong>In total, 4,717 participated in the initial work-up and 2,751 completed follow-up. A higher FEV1 and FVC was found in all groups compared to never drinkers. Highest statistically significant difference in FEV1 and FVC was found in age group 14-16 (0.17 and 0,23 L, respectively). With rising age of ACD a smaller difference in FEV1 and FVC was observed with the smallest difference in age group >25 (0.11 L) and age group 17-18 (0.13 L), respectively. A lower, but not statistically significant OR for COPD in ACD age 14-16 (OR = 0.83) and higher OR in the remaining groups with 21-25 being highest (OR = 1.36) was indicated.</p><p><strong>Conclusion: </strong>This study found higher FEV1 and FVC in all groups drinking alcohol compared to never drinkers with the highest among participants with ACD at age 14-16. The findings on risk of COPD development were not statistically significant.</p>","PeriodicalId":11872,"journal":{"name":"European Clinical Respiratory Journal","volume":"12 1","pages":"2476232"},"PeriodicalIF":1.4000,"publicationDate":"2025-03-19","publicationTypes":"Journal Article","fieldsOfStudy":null,"isOpenAccess":false,"openAccessPdf":"https://www.ncbi.nlm.nih.gov/pmc/articles/PMC11926899/pdf/","citationCount":"0","resultStr":null,"platform":"Semanticscholar","paperid":null,"PeriodicalName":"European Clinical Respiratory Journal","FirstCategoryId":"1085","ListUrlMain":"https://doi.org/10.1080/20018525.2025.2476232","RegionNum":0,"RegionCategory":null,"ArticlePicture":[],"TitleCN":null,"AbstractTextCN":null,"PMCID":null,"EPubDate":"2025/1/1 0:00:00","PubModel":"eCollection","JCR":"Q3","JCRName":"RESPIRATORY SYSTEM","Score":null,"Total":0}
引用次数: 0

Abstract

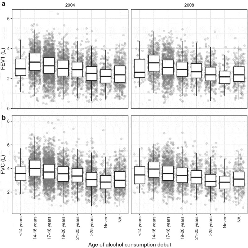
Background: Studies indicate a U-shaped relationship between alcohol consumption (AC) and chronic obstructive pulmonary disease (COPD) with low-moderate AC being protective. We investigated the influence of AC debut (ACD) at different ages on forced expiratory volume in the first second (FEV1), forced vital capacity (FVC) and COPD development.

Methods: In a multi-center cohort study, data on AC were collected through a questionnaire and spirometry performed at baseline and follow-up. COPD was defined as FEV1/FVC-ratio <0.7 on post-bronchodilator spirometry. Modelling determined odds ratio (OR) of COPD and mean differences in FEV1 and FVC in stratified age groups of ACD. Never drinkers were used as reference. Adjustments were made for age, sex, smoking parameters, asthma, and education.

Results: In total, 4,717 participated in the initial work-up and 2,751 completed follow-up. A higher FEV1 and FVC was found in all groups compared to never drinkers. Highest statistically significant difference in FEV1 and FVC was found in age group 14-16 (0.17 and 0,23 L, respectively). With rising age of ACD a smaller difference in FEV1 and FVC was observed with the smallest difference in age group >25 (0.11 L) and age group 17-18 (0.13 L), respectively. A lower, but not statistically significant OR for COPD in ACD age 14-16 (OR = 0.83) and higher OR in the remaining groups with 21-25 being highest (OR = 1.36) was indicated.

Conclusion: This study found higher FEV1 and FVC in all groups drinking alcohol compared to never drinkers with the highest among participants with ACD at age 14-16. The findings on risk of COPD development were not statistically significant.

Abstract Image

Abstract Image

Abstract Image

青少年早期饮酒对肺功能和COPD发展的影响——一项回顾性队列研究
背景:研究表明,饮酒(AC)与慢性阻塞性肺疾病(COPD)之间呈u型关系,中低水平的饮酒具有保护作用。探讨不同年龄ACD对患者第一秒用力呼气量(FEV1)、用力肺活量(FVC)及COPD发展的影响。方法:在一项多中心队列研究中,通过问卷调查和基线和随访时的肺活量测定收集AC的数据。COPD定义为FEV1/ fvc比率结果:总共有4,717人参加了初始检查,2,751人完成了随访。与从不饮酒者相比,所有饮酒者的FEV1和FVC都更高。FEV1和FVC在14 ~ 16岁组差异最大(分别为0.17和0.23 L)。随着ACD年龄的增加,FEV1和FVC的差异较小,其中bbb25和17-18年龄组差异最小,分别为0.11 L和0.13 L。14-16岁ACD组COPD的OR较低,但无统计学意义(OR = 0.83),其余组的OR较高,其中21-25岁组最高(OR = 1.36)。结论:该研究发现,与从不饮酒者相比,所有饮酒组的FEV1和FVC都更高,其中14-16岁的ACD患者的FEV1和FVC最高。COPD发病风险的研究结果无统计学意义。
本文章由计算机程序翻译,如有差异,请以英文原文为准。
求助全文
约1分钟内获得全文 求助全文
来源期刊
CiteScore
3.80
自引率
0.00%
发文量
15
审稿时长
16 weeks
×
引用
GB/T 7714-2015
复制
MLA
复制
APA
复制
导出至
BibTeX EndNote RefMan NoteFirst NoteExpress
×
提示
您的信息不完整,为了账户安全,请先补充。
现在去补充
×
提示
您因"违规操作"
具体请查看互助需知
我知道了
×
提示
确定
请完成安全验证×
copy
已复制链接
快去分享给好友吧!
我知道了
右上角分享
点击右上角分享
0
联系我们:info@booksci.cn Book学术提供免费学术资源搜索服务,方便国内外学者检索中英文文献。致力于提供最便捷和优质的服务体验。 Copyright © 2023 布克学术 All rights reserved.
京ICP备2023020795号-1
ghs 京公网安备 11010802042870号
Book学术文献互助
Book学术文献互助群
群 号:604180095
Book学术官方微信