Dynamin2 mutations in newly diagnosed acute myeloid leukemia: clinical characteristics, and prognostic significance.

IF 13.5 1区 医学 Q1 HEMATOLOGY
Kunpeng Luo, Jiayuan Chen, Wenting Wang, Yan Hui, Shaowei Qiu, Bingcheng Liu, Yingchang Mi, Jianxiang Wang, Hui Wei
{"title":"Dynamin2 mutations in newly diagnosed acute myeloid leukemia: clinical characteristics, and prognostic significance.","authors":"Kunpeng Luo, Jiayuan Chen, Wenting Wang, Yan Hui, Shaowei Qiu, Bingcheng Liu, Yingchang Mi, Jianxiang Wang, Hui Wei","doi":"10.1186/s40164-025-00628-5","DOIUrl":null,"url":null,"abstract":"<p><p>Acute myeloid leukemia (AML) is a highly heterogeneous myeloid malignancy which can be classified by genetic aberrations. To evaluate the impact of the dynamin 2 mutation in AML, we systematically assessed the characteristics and prognostic of DNM2 mutated patients in AML. In 912 AML patients, 20 somatic mutations in the DNM2 gene were identified among the 18 DNM2 mutated AML patients (2%). Of the mutation events, 60% (12/20) were in the dynamin central region of DNM2. DNM2mutations were preferentially occurred in AML with CEBPA mutation (11/18, 61.1%), or RUNX1::RUNX1T1 fusion gene (6/18, 33.3%). DNM2 mutations were associated with better overall survival (P = 0.028), event-free survival (P = 0.0093) and trends towards better relapse-free survival (P = 0.08), which seems potentially attribute to its coexisting with CEBPA mutation and RUNX1::RUNX1T1 fusion gene. Our study demonstrated the clinical characteristics and the role of DNM2 mutations in AML, which might facilitate understanding the pathogenesis of AML.</p>","PeriodicalId":12180,"journal":{"name":"Experimental Hematology & Oncology","volume":"14 1","pages":"42"},"PeriodicalIF":13.5000,"publicationDate":"2025-03-21","publicationTypes":"Journal Article","fieldsOfStudy":null,"isOpenAccess":false,"openAccessPdf":"https://www.ncbi.nlm.nih.gov/pmc/articles/PMC11927327/pdf/","citationCount":"0","resultStr":null,"platform":"Semanticscholar","paperid":null,"PeriodicalName":"Experimental Hematology & Oncology","FirstCategoryId":"3","ListUrlMain":"https://doi.org/10.1186/s40164-025-00628-5","RegionNum":1,"RegionCategory":"医学","ArticlePicture":[],"TitleCN":null,"AbstractTextCN":null,"PMCID":null,"EPubDate":"","PubModel":"","JCR":"Q1","JCRName":"HEMATOLOGY","Score":null,"Total":0}
引用次数: 0

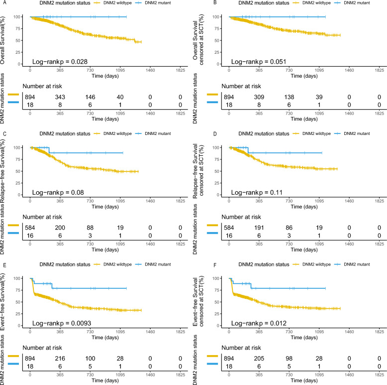
Abstract

Acute myeloid leukemia (AML) is a highly heterogeneous myeloid malignancy which can be classified by genetic aberrations. To evaluate the impact of the dynamin 2 mutation in AML, we systematically assessed the characteristics and prognostic of DNM2 mutated patients in AML. In 912 AML patients, 20 somatic mutations in the DNM2 gene were identified among the 18 DNM2 mutated AML patients (2%). Of the mutation events, 60% (12/20) were in the dynamin central region of DNM2. DNM2mutations were preferentially occurred in AML with CEBPA mutation (11/18, 61.1%), or RUNX1::RUNX1T1 fusion gene (6/18, 33.3%). DNM2 mutations were associated with better overall survival (P = 0.028), event-free survival (P = 0.0093) and trends towards better relapse-free survival (P = 0.08), which seems potentially attribute to its coexisting with CEBPA mutation and RUNX1::RUNX1T1 fusion gene. Our study demonstrated the clinical characteristics and the role of DNM2 mutations in AML, which might facilitate understanding the pathogenesis of AML.

Abstract Image

Abstract Image

新诊断急性髓系白血病Dynamin2突变的临床特征及预后意义
急性髓系白血病(AML)是一种高度异质性的髓系恶性肿瘤,可通过遗传畸变进行分类。为了评估dynamin 2突变对AML的影响,我们系统地评估了AML中DNM2突变患者的特征和预后。在912例AML患者中,在18例DNM2突变的AML患者中鉴定出20例DNM2基因体细胞突变(2%)。在突变事件中,60%(12/20)发生在DNM2的动力蛋白中心区域。dnm2突变优先发生在伴有CEBPA突变(11/18,61.1%)或RUNX1::RUNX1T1融合基因(6/18,33.3%)的AML中。DNM2突变与更好的总生存期(P = 0.028)、无事件生存期(P = 0.0093)和更好的无复发生存期(P = 0.08)相关,这可能与它与CEBPA突变和RUNX1::RUNX1T1融合基因共存有关。我们的研究揭示了DNM2突变在AML中的临床特征和作用,这可能有助于理解AML的发病机制。
本文章由计算机程序翻译,如有差异,请以英文原文为准。
求助全文
约1分钟内获得全文 求助全文
来源期刊
CiteScore
12.60
自引率
7.30%
发文量
97
审稿时长
6 weeks
期刊介绍: Experimental Hematology & Oncology is an open access journal that encompasses all aspects of hematology and oncology with an emphasis on preclinical, basic, patient-oriented and translational research. The journal acts as an international platform for sharing laboratory findings in these areas and makes a deliberate effort to publish clinical trials with 'negative' results and basic science studies with provocative findings. Experimental Hematology & Oncology publishes original work, hypothesis, commentaries and timely reviews. With open access and rapid turnaround time from submission to publication, the journal strives to be a hub for disseminating new knowledge and discussing controversial topics for both basic scientists and busy clinicians in the closely related fields of hematology and oncology.
×
引用
GB/T 7714-2015
复制
MLA
复制
APA
复制
导出至
BibTeX EndNote RefMan NoteFirst NoteExpress
×
提示
您的信息不完整,为了账户安全,请先补充。
现在去补充
×
提示
您因"违规操作"
具体请查看互助需知
我知道了
×
提示
确定
请完成安全验证×
copy
已复制链接
快去分享给好友吧!
我知道了
右上角分享
点击右上角分享
0
联系我们:info@booksci.cn Book学术提供免费学术资源搜索服务,方便国内外学者检索中英文文献。致力于提供最便捷和优质的服务体验。 Copyright © 2023 布克学术 All rights reserved.
京ICP备2023020795号-1
ghs 京公网安备 11010802042870号
Book学术文献互助
Book学术文献互助群
群 号:604180095
Book学术官方微信