From deterministic to stochastic: limits of extracting bifurcation diagrams for noisy bistable oscillators with the control-based continuation method.

IF 5.2 2区 工程技术 Q1 ENGINEERING, MECHANICAL
Nonlinear Dynamics Pub Date : 2025-01-01 Epub Date: 2024-11-11 DOI:10.1007/s11071-024-10522-0
Henrik T Sykora, Sandor Beregi
{"title":"From deterministic to stochastic: limits of extracting bifurcation diagrams for noisy bistable oscillators with the control-based continuation method.","authors":"Henrik T Sykora, Sandor Beregi","doi":"10.1007/s11071-024-10522-0","DOIUrl":null,"url":null,"abstract":"<p><p>Noise limits the information that can be experimentally extracted from dynamical systems. In this study, we review the Control-based Continuation (CBC) approach, which is commonly used for experimental characterisation of nonlinear systems with coexisting stable and unstable steady states. The CBC technique, however, uses a deterministic framework, whereas in practice, almost all measurements are subject to some level of random perturbation, and the underlying dynamical system is inherently noisy. In order to discover what the CBC is capable of extracting from inherently noisy experiments, we study the Hopf normal form with quintic terms with additive noise. The bifurcation diagram of the deterministic core of this system is well-known, therefore the discrepancies introduced by noise can be easily assessed. First, we utilise the Step-Matrix Multiplication based Path Integral (SMM-PI) method to approximate the system's steady state probability density function (PDF) for different intensity noise perturbations. We associate the local extrema of the resulting PDFs with limit cycles, and compare the resulting bifurcation diagram to those captured by CBC. We show that CBC estimates the bifurcation diagram of the noisy system well for noise intensities varying from small to moderate, and in practice, the amplitudes provided by CBC may be accepted as a 'best guess' proxy for the vibration amplitudes characteristic to the near periodic solutions in a wide range of experiments.</p>","PeriodicalId":19723,"journal":{"name":"Nonlinear Dynamics","volume":"113 8","pages":"8249-8263"},"PeriodicalIF":5.2000,"publicationDate":"2025-01-01","publicationTypes":"Journal Article","fieldsOfStudy":null,"isOpenAccess":false,"openAccessPdf":"https://www.ncbi.nlm.nih.gov/pmc/articles/PMC11919953/pdf/","citationCount":"0","resultStr":null,"platform":"Semanticscholar","paperid":null,"PeriodicalName":"Nonlinear Dynamics","FirstCategoryId":"5","ListUrlMain":"https://doi.org/10.1007/s11071-024-10522-0","RegionNum":2,"RegionCategory":"工程技术","ArticlePicture":[],"TitleCN":null,"AbstractTextCN":null,"PMCID":null,"EPubDate":"2024/11/11 0:00:00","PubModel":"Epub","JCR":"Q1","JCRName":"ENGINEERING, MECHANICAL","Score":null,"Total":0}
引用次数: 0

Abstract

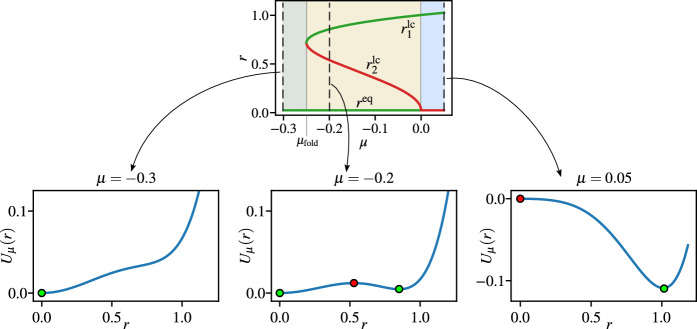
Noise limits the information that can be experimentally extracted from dynamical systems. In this study, we review the Control-based Continuation (CBC) approach, which is commonly used for experimental characterisation of nonlinear systems with coexisting stable and unstable steady states. The CBC technique, however, uses a deterministic framework, whereas in practice, almost all measurements are subject to some level of random perturbation, and the underlying dynamical system is inherently noisy. In order to discover what the CBC is capable of extracting from inherently noisy experiments, we study the Hopf normal form with quintic terms with additive noise. The bifurcation diagram of the deterministic core of this system is well-known, therefore the discrepancies introduced by noise can be easily assessed. First, we utilise the Step-Matrix Multiplication based Path Integral (SMM-PI) method to approximate the system's steady state probability density function (PDF) for different intensity noise perturbations. We associate the local extrema of the resulting PDFs with limit cycles, and compare the resulting bifurcation diagram to those captured by CBC. We show that CBC estimates the bifurcation diagram of the noisy system well for noise intensities varying from small to moderate, and in practice, the amplitudes provided by CBC may be accepted as a 'best guess' proxy for the vibration amplitudes characteristic to the near periodic solutions in a wide range of experiments.

Abstract Image

Abstract Image

Abstract Image

从确定性到随机:用基于控制的延拓法提取噪声双稳振子分岔图的极限。
噪声限制了从动态系统中实验提取的信息。在这项研究中,我们回顾了基于控制的延拓(CBC)方法,这是一种常用的实验表征具有稳定和不稳定稳态共存的非线性系统。然而,CBC技术使用的是确定性框架,而在实践中,几乎所有的测量都受到某种程度的随机扰动,并且潜在的动力系统本质上是有噪声的。为了发现CBC能够从固有噪声实验中提取什么,我们研究了带有加性噪声的五次项的Hopf范式。该系统的确定性核的分岔图是已知的,因此可以很容易地评估噪声引入的差异。首先,我们利用基于阶跃矩阵乘法的路径积分(SMM-PI)方法来近似不同强度噪声扰动下系统的稳态概率密度函数(PDF)。我们将得到的pdf的局部极值与极限环联系起来,并将得到的分岔图与CBC捕获的分岔图进行比较。结果表明,CBC能很好地估计噪声强度从小到中等的系统的分岔图,并且在实践中,CBC提供的振幅可以作为广泛实验中近周期解的振动振幅特征的“最佳猜测”代理。
本文章由计算机程序翻译,如有差异,请以英文原文为准。
求助全文
约1分钟内获得全文 求助全文
来源期刊
Nonlinear Dynamics
Nonlinear Dynamics 工程技术-工程:机械
CiteScore
9.00
自引率
17.90%
发文量
966
审稿时长
5.9 months
期刊介绍: Nonlinear Dynamics provides a forum for the rapid publication of original research in the field. The journal’s scope encompasses all nonlinear dynamic phenomena associated with mechanical, structural, civil, aeronautical, ocean, electrical, and control systems. Review articles and original contributions are based on analytical, computational, and experimental methods. The journal examines such topics as perturbation and computational methods, symbolic manipulation, dynamic stability, local and global methods, bifurcations, chaos, and deterministic and random vibrations. The journal also investigates Lie groups, multibody dynamics, robotics, fluid-solid interactions, system modeling and identification, friction and damping models, signal analysis, and measurement techniques.
×
引用
GB/T 7714-2015
复制
MLA
复制
APA
复制
导出至
BibTeX EndNote RefMan NoteFirst NoteExpress
×
提示
您的信息不完整,为了账户安全,请先补充。
现在去补充
×
提示
您因"违规操作"
具体请查看互助需知
我知道了
×
提示
确定
请完成安全验证×
copy
已复制链接
快去分享给好友吧!
我知道了
右上角分享
点击右上角分享
0
联系我们:info@booksci.cn Book学术提供免费学术资源搜索服务,方便国内外学者检索中英文文献。致力于提供最便捷和优质的服务体验。 Copyright © 2023 布克学术 All rights reserved.
京ICP备2023020795号-1
ghs 京公网安备 11010802042870号
Book学术文献互助
Book学术文献互助群
群 号:604180095
Book学术官方微信