Coronary microvascular dysfunction and right ventricular structure and function.

IF 2.1 3区 医学 Q3 CARDIAC & CARDIOVASCULAR SYSTEMS
Cardiovascular diagnosis and therapy Pub Date : 2025-02-28 Epub Date: 2025-02-25 DOI:10.21037/cdt-24-303
Amélie Paquin, Michael D Nelson, Janet Wei, Sauyeh K Zamani, Jenna Maughan, Galen Cook-Wiens, Martha Gulati, Chrisandra Shufelt, John W Petersen, Eileen M Handberg, Carl J Pepine, C Noel Bairey Merz
{"title":"Coronary microvascular dysfunction and right ventricular structure and function.","authors":"Amélie Paquin, Michael D Nelson, Janet Wei, Sauyeh K Zamani, Jenna Maughan, Galen Cook-Wiens, Martha Gulati, Chrisandra Shufelt, John W Petersen, Eileen M Handberg, Carl J Pepine, C Noel Bairey Merz","doi":"10.21037/cdt-24-303","DOIUrl":null,"url":null,"abstract":"<p><p>Previous studies have suggested associations between coronary microvascular dysfunction (CMD) and alterations in left ventricular (LV) structure and function Data are however scarce regarding the right ventricular (RV). In the context of CMD, the RV could be affected via mechanisms potentially involving ischemia from CMD, shared pathophysiological milieu leading to adverse ventricular remodeling, and/or increased afterload secondary to increased LV end-diastolic pressure or heart failure with preserved ejection fraction (HFpEF) with pulmonary hypertension. We evaluated the relationship between measures of RV structure/function and invasively measured CMD in individuals with suspected ischemia and no obstructive coronary artery (INOCA) disease. We included 297 participants from the WISE-HFpEF, WISE-preHFpEF and WISE-CVD cohorts, who underwent cardiac magnetic resonance imaging (CMRI) and coronary function testing to measure coronary flow reserve (CFR) in response to adenosine and coronary blood flow change in response to acetylcholine (∆CBF). We assessed the correlation between RV parameters on CMRI and coronary microvascular function (CFR and ∆CBF). Participants had a mean age 54±11 years. Of them, 104 (39%) had hypertension, 31 (11%) had diabetes, and 18 (7%) had chronic obstructive pulmonary disease. Mean RV end-diastolic volume was 66.6±11.0 mL/m<sup>2</sup>, RV ejection fraction was 62.7%±5.6% and RV longitudinal strain was -27.2%±3.5%. We found no significant correlation between RV parameters and coronary microvascular function. This is the first study to report associations between invasively measured CMD and CMRI parameters of RV structure and function among patients with suspected INOCA. Despite a large sample size, we found no significant relationship between RV structure or function and CMD. These results suggest that RV abnormalities do not precede and are not concurrent with CMD in suspected INOCA participants. Longitudinal prospective studies are needed to evaluate if RV deterioration may occur later during the course of CMD and among patients with HFpEF.</p>","PeriodicalId":9592,"journal":{"name":"Cardiovascular diagnosis and therapy","volume":"15 1","pages":"259-264"},"PeriodicalIF":2.1000,"publicationDate":"2025-02-28","publicationTypes":"Journal Article","fieldsOfStudy":null,"isOpenAccess":false,"openAccessPdf":"https://www.ncbi.nlm.nih.gov/pmc/articles/PMC11921425/pdf/","citationCount":"0","resultStr":null,"platform":"Semanticscholar","paperid":null,"PeriodicalName":"Cardiovascular diagnosis and therapy","FirstCategoryId":"3","ListUrlMain":"https://doi.org/10.21037/cdt-24-303","RegionNum":3,"RegionCategory":"医学","ArticlePicture":[],"TitleCN":null,"AbstractTextCN":null,"PMCID":null,"EPubDate":"2025/2/25 0:00:00","PubModel":"Epub","JCR":"Q3","JCRName":"CARDIAC & CARDIOVASCULAR SYSTEMS","Score":null,"Total":0}
引用次数: 0

Abstract

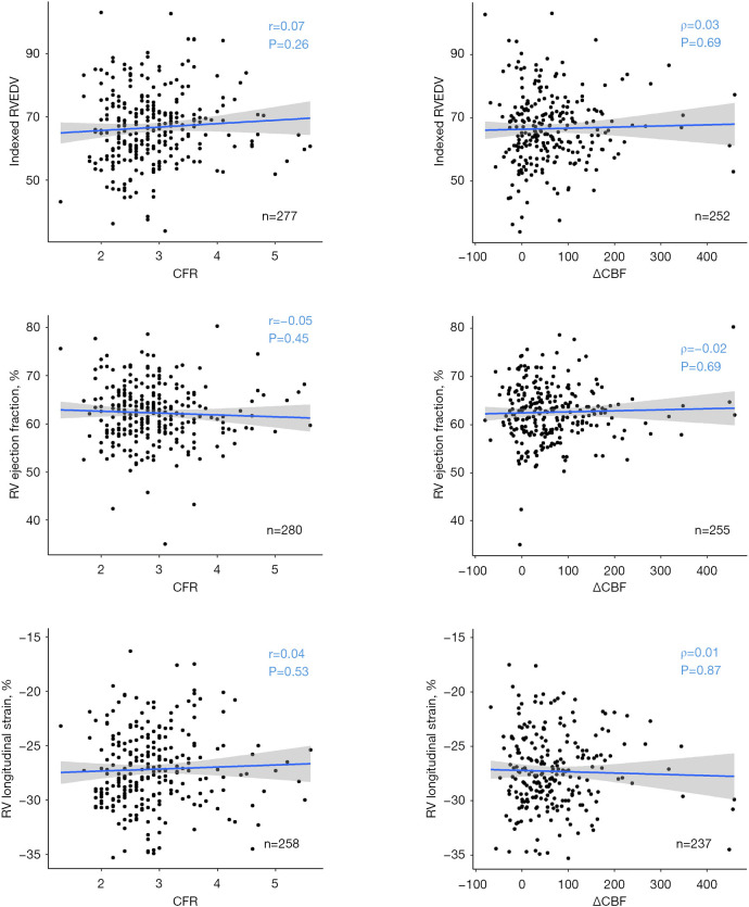
Previous studies have suggested associations between coronary microvascular dysfunction (CMD) and alterations in left ventricular (LV) structure and function Data are however scarce regarding the right ventricular (RV). In the context of CMD, the RV could be affected via mechanisms potentially involving ischemia from CMD, shared pathophysiological milieu leading to adverse ventricular remodeling, and/or increased afterload secondary to increased LV end-diastolic pressure or heart failure with preserved ejection fraction (HFpEF) with pulmonary hypertension. We evaluated the relationship between measures of RV structure/function and invasively measured CMD in individuals with suspected ischemia and no obstructive coronary artery (INOCA) disease. We included 297 participants from the WISE-HFpEF, WISE-preHFpEF and WISE-CVD cohorts, who underwent cardiac magnetic resonance imaging (CMRI) and coronary function testing to measure coronary flow reserve (CFR) in response to adenosine and coronary blood flow change in response to acetylcholine (∆CBF). We assessed the correlation between RV parameters on CMRI and coronary microvascular function (CFR and ∆CBF). Participants had a mean age 54±11 years. Of them, 104 (39%) had hypertension, 31 (11%) had diabetes, and 18 (7%) had chronic obstructive pulmonary disease. Mean RV end-diastolic volume was 66.6±11.0 mL/m2, RV ejection fraction was 62.7%±5.6% and RV longitudinal strain was -27.2%±3.5%. We found no significant correlation between RV parameters and coronary microvascular function. This is the first study to report associations between invasively measured CMD and CMRI parameters of RV structure and function among patients with suspected INOCA. Despite a large sample size, we found no significant relationship between RV structure or function and CMD. These results suggest that RV abnormalities do not precede and are not concurrent with CMD in suspected INOCA participants. Longitudinal prospective studies are needed to evaluate if RV deterioration may occur later during the course of CMD and among patients with HFpEF.

Abstract Image

冠状动脉微血管功能障碍与右心室结构和功能。
先前的研究表明冠状动脉微血管功能障碍(CMD)与左心室(LV)结构和功能改变之间存在关联,然而关于右心室(RV)的数据很少。在CMD的情况下,右心室可能通过以下机制受到影响:CMD引起的缺血,共同的病理生理环境导致不利的心室重构,和/或继发于左心室舒张末压升高的后负荷增加,或伴有保留射血分数(HFpEF)的心力衰竭伴肺动脉高压。我们评估了在疑似缺血且无阻塞性冠状动脉(INOCA)疾病的个体中RV结构/功能测量与有创测量CMD之间的关系。我们纳入了来自WISE-HFpEF、wise - prefpef和WISE-CVD队列的297名参与者,他们接受了心脏磁共振成像(CMRI)和冠状动脉功能测试,以测量对腺苷反应的冠状动脉血流储备(CFR)和对乙酰胆碱反应的冠状动脉血流变化(∆CBF)。我们评估CMRI上RV参数与冠状动脉微血管功能(CFR和∆CBF)的相关性。参与者平均年龄54±11岁。其中,104人(39%)患有高血压,31人(11%)患有糖尿病,18人(7%)患有慢性阻塞性肺疾病。右心室舒张末期平均容积为66.6±11.0 mL/m2,右心室射血分数为62.7%±5.6%,右心室纵向应变为-27.2%±3.5%。我们发现左心室参数与冠状动脉微血管功能无显著相关性。这是第一个报道有创测量CMD与疑似INOCA患者RV结构和功能的CMRI参数之间关系的研究。尽管样本量很大,但我们发现RV结构或功能与CMD之间没有显著的关系。这些结果表明,在疑似INOCA参与者中,RV异常并不先于CMD,也不与CMD同时发生。需要进行纵向前瞻性研究,以评估在CMD过程后期和HFpEF患者中是否会发生RV恶化。
本文章由计算机程序翻译,如有差异,请以英文原文为准。
求助全文
约1分钟内获得全文 求助全文
来源期刊
Cardiovascular diagnosis and therapy
Cardiovascular diagnosis and therapy Medicine-Cardiology and Cardiovascular Medicine
CiteScore
4.90
自引率
4.20%
发文量
45
期刊介绍: The journal ''Cardiovascular Diagnosis and Therapy'' (Print ISSN: 2223-3652; Online ISSN: 2223-3660) accepts basic and clinical science submissions related to Cardiovascular Medicine and Surgery. The mission of the journal is the rapid exchange of scientific information between clinicians and scientists worldwide. To reach this goal, the journal will focus on novel media, using a web-based, digital format in addition to traditional print-version. This includes on-line submission, review, publication, and distribution. The digital format will also allow submission of extensive supporting visual material, both images and video. The website www.thecdt.org will serve as the central hub and also allow posting of comments and on-line discussion. The web-site of the journal will be linked to a number of international web-sites (e.g. www.dxy.cn), which will significantly expand the distribution of its contents.
×
引用
GB/T 7714-2015
复制
MLA
复制
APA
复制
导出至
BibTeX EndNote RefMan NoteFirst NoteExpress
×
提示
您的信息不完整,为了账户安全,请先补充。
现在去补充
×
提示
您因"违规操作"
具体请查看互助需知
我知道了
×
提示
确定
请完成安全验证×
copy
已复制链接
快去分享给好友吧!
我知道了
右上角分享
点击右上角分享
0
联系我们:info@booksci.cn Book学术提供免费学术资源搜索服务,方便国内外学者检索中英文文献。致力于提供最便捷和优质的服务体验。 Copyright © 2023 布克学术 All rights reserved.
京ICP备2023020795号-1
ghs 京公网安备 11010802042870号
Book学术文献互助
Book学术文献互助群
群 号:604180095
Book学术官方微信