Cost-Benefit Analysis of the Enhancing Men's Awareness of Testicular diseases (E-MAT) Feasibility Trial: A Virtual Reality Experience to Increase Testicular Knowledge and Self-Examination among Male Athletes.

IF 2.1 Q2 ECONOMICS
PharmacoEconomics Open Pub Date : 2025-07-01 Epub Date: 2025-03-19 DOI:10.1007/s41669-025-00571-5
Aileen Murphy, Ann Kirby, Federica De Blasio, Megan McCarthy, Frances Shiely, Josephine Hegarty, Martin P Davoren, Janas M Harrington, Gillian W Shorter, David Murphy, Billy O'Mahony, Eoghan Cooke, Michael J Rovito, Steve Robertson, Serena FitzGerald, Alan O Connor, Mícheál O Riordan, Mohamad M Saab
{"title":"Cost-Benefit Analysis of the Enhancing Men's Awareness of Testicular diseases (E-MAT) Feasibility Trial: A Virtual Reality Experience to Increase Testicular Knowledge and Self-Examination among Male Athletes.","authors":"Aileen Murphy, Ann Kirby, Federica De Blasio, Megan McCarthy, Frances Shiely, Josephine Hegarty, Martin P Davoren, Janas M Harrington, Gillian W Shorter, David Murphy, Billy O'Mahony, Eoghan Cooke, Michael J Rovito, Steve Robertson, Serena FitzGerald, Alan O Connor, Mícheál O Riordan, Mohamad M Saab","doi":"10.1007/s41669-025-00571-5","DOIUrl":null,"url":null,"abstract":"<p><strong>Background: </strong>Virtual reality (VR) is potentially effective in raising awareness of testicular diseases, promoting self-examination and early help-seeking among men. This paper presents an early economic evaluation exploring the potential cost-effectiveness of Enhancing Men's Awareness of Testicular diseases (E-MAT)<sub>VR</sub>, a VR interactive experience compared with E-MAT<sub>E</sub>, electronic information, among male athletes Results from this economic evaluation will inform and support the design of a future randomized controlled trial (RCT).</p><p><strong>Methods: </strong>Results from an Irish feasibility trial (ClinicalTrials.gov identifier: NCT05146466) with 74 participants conducted in 2022 were employed. Benefits were measured in monetary units whereby the contingent valuation method was used to elicit participants' preferences through willingness-to-pay measures. A micro-cost analysis estimated the costs of the intervention and comparator and subsequent resource use. The costs and benefits of E-MAT<sub>VR</sub> and E-MAT<sub>E</sub> were compared to determine the net benefit. Sensitivity analyses were also conducted.</p><p><strong>Results: </strong>Base case analysis suggests participants were willing to pay €21.88 for E-MAT<sub>VR</sub> and €11.16 for E-MAT<sub>E</sub>. The total cost of E-MAT<sub>VR</sub> was €104.09 and of E-MAT<sub>E</sub> was €22.75 per participant. These estimates include capital and delivery costs, of which delivery costs were €25.02 and €22.40 for E-MAT<sub>VR</sub> and E-MAT<sub>E</sub>, respectively. A negative net benefit indicates E-MAT<sub>VR</sub> was not cost-beneficial as delivered in the feasibility trial. Scenario analyses demonstrated reducing costs via delivery modifications increased the probability of E-MAT<sub>VR</sub> being considered cost-effective. The cost-benefit analysis was feasible, response rates were acceptable, and willingness-to-pay estimates were stable.</p><p><strong>Conclusions: </strong>Economic evaluations alongside feasibility trials enable early economic evaluations, informing the design and conduct of a future RCT. E-MAT<sub>VR</sub> had higher expected benefits (WTP) and costs than E-MAT<sub>E</sub>, yielding a negative net benefit. Given the high cost of digital health interventions, investigating their cost-effectiveness early is important to inform and optimize resource allocation decisions. We present a series of scenarios to demonstrate how delivery modifications to reduce costs could improve the likelihood of E-MAT<sub>VR</sub> being considered cost-effective.</p>","PeriodicalId":19770,"journal":{"name":"PharmacoEconomics Open","volume":" ","pages":"671-682"},"PeriodicalIF":2.1000,"publicationDate":"2025-07-01","publicationTypes":"Journal Article","fieldsOfStudy":null,"isOpenAccess":false,"openAccessPdf":"https://www.ncbi.nlm.nih.gov/pmc/articles/PMC12209056/pdf/","citationCount":"0","resultStr":null,"platform":"Semanticscholar","paperid":null,"PeriodicalName":"PharmacoEconomics Open","FirstCategoryId":"1085","ListUrlMain":"https://doi.org/10.1007/s41669-025-00571-5","RegionNum":0,"RegionCategory":null,"ArticlePicture":[],"TitleCN":null,"AbstractTextCN":null,"PMCID":null,"EPubDate":"2025/3/19 0:00:00","PubModel":"Epub","JCR":"Q2","JCRName":"ECONOMICS","Score":null,"Total":0}
引用次数: 0

Abstract

Background: Virtual reality (VR) is potentially effective in raising awareness of testicular diseases, promoting self-examination and early help-seeking among men. This paper presents an early economic evaluation exploring the potential cost-effectiveness of Enhancing Men's Awareness of Testicular diseases (E-MAT)VR, a VR interactive experience compared with E-MATE, electronic information, among male athletes Results from this economic evaluation will inform and support the design of a future randomized controlled trial (RCT).

Methods: Results from an Irish feasibility trial (ClinicalTrials.gov identifier: NCT05146466) with 74 participants conducted in 2022 were employed. Benefits were measured in monetary units whereby the contingent valuation method was used to elicit participants' preferences through willingness-to-pay measures. A micro-cost analysis estimated the costs of the intervention and comparator and subsequent resource use. The costs and benefits of E-MATVR and E-MATE were compared to determine the net benefit. Sensitivity analyses were also conducted.

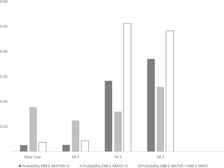
Results: Base case analysis suggests participants were willing to pay €21.88 for E-MATVR and €11.16 for E-MATE. The total cost of E-MATVR was €104.09 and of E-MATE was €22.75 per participant. These estimates include capital and delivery costs, of which delivery costs were €25.02 and €22.40 for E-MATVR and E-MATE, respectively. A negative net benefit indicates E-MATVR was not cost-beneficial as delivered in the feasibility trial. Scenario analyses demonstrated reducing costs via delivery modifications increased the probability of E-MATVR being considered cost-effective. The cost-benefit analysis was feasible, response rates were acceptable, and willingness-to-pay estimates were stable.

Conclusions: Economic evaluations alongside feasibility trials enable early economic evaluations, informing the design and conduct of a future RCT. E-MATVR had higher expected benefits (WTP) and costs than E-MATE, yielding a negative net benefit. Given the high cost of digital health interventions, investigating their cost-effectiveness early is important to inform and optimize resource allocation decisions. We present a series of scenarios to demonstrate how delivery modifications to reduce costs could improve the likelihood of E-MATVR being considered cost-effective.

Abstract Image

Abstract Image

提高男性睾丸疾病意识(E-MAT)可行性试验的成本效益分析:提高男性运动员睾丸知识和自我检查的虚拟现实体验
背景:虚拟现实(VR)在提高男性对睾丸疾病的认识、促进自我检查和早期寻求帮助方面具有潜在的有效性。本文提出了一项早期的经济评估,探讨了在男性运动员中增强男性睾丸疾病意识(E-MAT)VR的潜在成本效益,这是一种VR互动体验,与电子信息E-MATE进行比较,该经济评估的结果将为未来随机对照试验(RCT)的设计提供信息和支持。方法:采用爱尔兰可行性试验(ClinicalTrials.gov识别码:NCT05146466)的结果,该试验于2022年进行,共有74名参与者。收益以货币单位衡量,据此,条件估值法被用来通过支付意愿措施引出参与者的偏好。一项微观成本分析估计了干预和比较国以及随后的资源使用的成本。比较了E-MATVR和E-MATE的成本和收益,以确定净收益。还进行了敏感性分析。结果:基本案例分析表明,参与者愿意为E-MATVR支付21.88欧元,为E-MATE支付11.16欧元。每位参与者E-MATVR的总成本为104.09欧元,E-MATE的总成本为22.75欧元。这些估计包括资本和交付成本,其中E-MATVR和E-MATE的交付成本分别为25.02欧元和22.40欧元。负净效益表明E-MATVR在可行性试验中不具有成本效益。情景分析表明,通过改变交付方式来降低成本,增加了E-MATVR被认为具有成本效益的可能性。成本效益分析是可行的,响应率是可以接受的,支付意愿估计是稳定的。结论:经济评估和可行性试验可以进行早期经济评估,为未来随机对照试验的设计和实施提供信息。与E-MATE相比,E-MATVR具有更高的预期效益(WTP)和成本,产生负的净效益。鉴于数字卫生干预措施的高成本,及早调查其成本效益对于提供信息和优化资源分配决策非常重要。我们提出了一系列的场景来证明如何修改交付以降低成本可以提高E-MATVR被认为具有成本效益的可能性。
本文章由计算机程序翻译,如有差异,请以英文原文为准。
求助全文
约1分钟内获得全文 求助全文
来源期刊
CiteScore
3.50
自引率
0.00%
发文量
64
审稿时长
8 weeks
期刊介绍: PharmacoEconomics - Open focuses on applied research on the economic implications and health outcomes associated with drugs, devices and other healthcare interventions. The journal includes, but is not limited to, the following research areas:Economic analysis of healthcare interventionsHealth outcomes researchCost-of-illness studiesQuality-of-life studiesAdditional digital features (including animated abstracts, video abstracts, slide decks, audio slides, instructional videos, infographics, podcasts and animations) can be published with articles; these are designed to increase the visibility, readership and educational value of the journal’s content. In addition, articles published in PharmacoEconomics -Open may be accompanied by plain language summaries to assist readers who have some knowledge of, but not in-depth expertise in, the area to understand important medical advances.All manuscripts are subject to peer review by international experts. Letters to the Editor are welcomed and will be considered for publication.
×
引用
GB/T 7714-2015
复制
MLA
复制
APA
复制
导出至
BibTeX EndNote RefMan NoteFirst NoteExpress
×
提示
您的信息不完整,为了账户安全,请先补充。
现在去补充
×
提示
您因"违规操作"
具体请查看互助需知
我知道了
×
提示
确定
请完成安全验证×
copy
已复制链接
快去分享给好友吧!
我知道了
右上角分享
点击右上角分享
0
联系我们:info@booksci.cn Book学术提供免费学术资源搜索服务,方便国内外学者检索中英文文献。致力于提供最便捷和优质的服务体验。 Copyright © 2023 布克学术 All rights reserved.
京ICP备2023020795号-1
ghs 京公网安备 11010802042870号
Book学术文献互助
Book学术文献互助群
群 号:604180095
Book学术官方微信