Exploring the in vitro anti-diabetic potential and in silico studies of 2, 3 and 2, 6-dichloroIndolinone.

IF 2.5 Q3 PHARMACOLOGY & PHARMACY
Drug Target Insights Pub Date : 2025-03-10 eCollection Date: 2025-01-01 DOI:10.33393/dti.2025.3271
Abdur Rauf, Waqas Alam, Momin Khan, Hany W Darwish, Maria Daglia, Ahmed A Elhenawy, Haroon Khan
{"title":"Exploring the in vitro anti-diabetic potential and in silico studies of 2, 3 and 2, 6-dichloroIndolinone.","authors":"Abdur Rauf, Waqas Alam, Momin Khan, Hany W Darwish, Maria Daglia, Ahmed A Elhenawy, Haroon Khan","doi":"10.33393/dti.2025.3271","DOIUrl":null,"url":null,"abstract":"<p><strong>Introduction: </strong>Adequate hyperglycemic control is still a huge challenge with the clinically used therapeutics. New, more effective anti-diabetic agents are on the top list of drug discovery projects.</p><p><strong>Methods: </strong>This article deals with the in vitro anti-diabetic potential of 2, 3 dichloroIndolinone (C1) and 2, 6-dichloroIndolinone (C2) on α-glucosidase and α-amylase followed by in silico analysis.</p><p><strong>Results: </strong>Both compounds, C-1 and C-2, caused significant inhibition of α-glucosidase at various test concentrations with IC<sub>50</sub> of 35.266 μM and 38. 379 μM, respectively. Similarly, compounds C-1 and C-2 elicited significant anti-α-amylase action with IC<sub>50</sub> values of 42.449 μM and 46.708 μM, respectively. The molecular docking investigation regarding the α-glucosidase and α-amylase binding site was implemented to attain better comprehension with respect to the pattern in which binding mechanics occur between the C1 and C2 molecules and the active sites, which illustrated a higher binding efficacy in appraisal with reference inhibitor and acarbose. The interactions between the active compounds C1 and C2 with the active site residues were mainly polar bonds, hydrogen bonding, π-π, and π-H interactions, which contributed to a strong alignment with the enzyme backbone. Similarly, effective binding is frequently indicated by a strong and stable hydrogen-bonding pattern, which is suggested by the minimal fluctuation in MM-PBSA values.</p><p><strong>Conclusion: </strong>In short, this study will contribute to providing these compounds with an improved anti-diabetic profile and decreased toxicity.</p>","PeriodicalId":11326,"journal":{"name":"Drug Target Insights","volume":"19 ","pages":"11-17"},"PeriodicalIF":2.5000,"publicationDate":"2025-03-10","publicationTypes":"Journal Article","fieldsOfStudy":null,"isOpenAccess":false,"openAccessPdf":"https://www.ncbi.nlm.nih.gov/pmc/articles/PMC11920718/pdf/","citationCount":"0","resultStr":null,"platform":"Semanticscholar","paperid":null,"PeriodicalName":"Drug Target Insights","FirstCategoryId":"1085","ListUrlMain":"https://doi.org/10.33393/dti.2025.3271","RegionNum":0,"RegionCategory":null,"ArticlePicture":[],"TitleCN":null,"AbstractTextCN":null,"PMCID":null,"EPubDate":"2025/1/1 0:00:00","PubModel":"eCollection","JCR":"Q3","JCRName":"PHARMACOLOGY & PHARMACY","Score":null,"Total":0}
引用次数: 0

Abstract

Introduction: Adequate hyperglycemic control is still a huge challenge with the clinically used therapeutics. New, more effective anti-diabetic agents are on the top list of drug discovery projects.

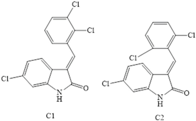
Methods: This article deals with the in vitro anti-diabetic potential of 2, 3 dichloroIndolinone (C1) and 2, 6-dichloroIndolinone (C2) on α-glucosidase and α-amylase followed by in silico analysis.

Results: Both compounds, C-1 and C-2, caused significant inhibition of α-glucosidase at various test concentrations with IC50 of 35.266 μM and 38. 379 μM, respectively. Similarly, compounds C-1 and C-2 elicited significant anti-α-amylase action with IC50 values of 42.449 μM and 46.708 μM, respectively. The molecular docking investigation regarding the α-glucosidase and α-amylase binding site was implemented to attain better comprehension with respect to the pattern in which binding mechanics occur between the C1 and C2 molecules and the active sites, which illustrated a higher binding efficacy in appraisal with reference inhibitor and acarbose. The interactions between the active compounds C1 and C2 with the active site residues were mainly polar bonds, hydrogen bonding, π-π, and π-H interactions, which contributed to a strong alignment with the enzyme backbone. Similarly, effective binding is frequently indicated by a strong and stable hydrogen-bonding pattern, which is suggested by the minimal fluctuation in MM-PBSA values.

Conclusion: In short, this study will contribute to providing these compounds with an improved anti-diabetic profile and decreased toxicity.

Abstract Image

Abstract Image

Abstract Image

探讨2,3和2,6 -二氯喹啉酮的体外抗糖尿病潜能及硅片研究。
充分的高血糖控制仍然是一个巨大的挑战与临床使用的治疗方法。新的、更有效的抗糖尿病药物是药物发现项目的首选。方法:研究2,3二氯喹啉酮(C1)和2,6 -二氯喹啉酮(C2)对α-葡萄糖苷酶和α-淀粉酶的体外抗糖尿病作用,并进行硅晶分析。结果:C-1和C-2在不同浓度下均对α-葡萄糖苷酶有明显的抑制作用,IC50分别为35.266 μM和38。分别为379 μM。化合物C-1和C-2具有明显的抗α-淀粉酶作用,IC50值分别为42.449 μM和46.708 μM。对α-葡萄糖苷酶和α-淀粉酶结合位点进行分子对接研究,更好地了解C1和C2分子与活性位点的结合机制,与参比抑制剂和阿卡波糖的结合效果较高。活性化合物C1和C2与活性位点残基之间的相互作用主要是极性键、氢键、π-π和π- h相互作用,这使得它们与酶的主链具有较强的亲和性。同样,强而稳定的氢键模式往往表明有效的结合,这是由MM-PBSA值的最小波动所表明的。结论:总之,本研究将有助于提供这些化合物具有改善的抗糖尿病特性和降低毒性。
本文章由计算机程序翻译,如有差异,请以英文原文为准。
求助全文
约1分钟内获得全文 求助全文
来源期刊
Drug Target Insights
Drug Target Insights PHARMACOLOGY & PHARMACY-
CiteScore
2.70
自引率
0.00%
发文量
5
审稿时长
8 weeks
×
引用
GB/T 7714-2015
复制
MLA
复制
APA
复制
导出至
BibTeX EndNote RefMan NoteFirst NoteExpress
×
提示
您的信息不完整,为了账户安全,请先补充。
现在去补充
×
提示
您因"违规操作"
具体请查看互助需知
我知道了
×
提示
确定
请完成安全验证×
copy
已复制链接
快去分享给好友吧!
我知道了
右上角分享
点击右上角分享
0
联系我们:info@booksci.cn Book学术提供免费学术资源搜索服务,方便国内外学者检索中英文文献。致力于提供最便捷和优质的服务体验。 Copyright © 2023 布克学术 All rights reserved.
京ICP备2023020795号-1
ghs 京公网安备 11010802042870号
Book学术文献互助
Book学术文献互助群
群 号:604180095
Book学术官方微信