Plasticity and the evolution of group-level regulation of cellular differentiation in the volvocine algae.

IF 3.5 1区 生物学 Q1 BIOLOGY
Dinah R Davison, Aurora M Nedelcu, Onyi De Andre Eneji, Richard E Michod
{"title":"Plasticity and the evolution of group-level regulation of cellular differentiation in the volvocine algae.","authors":"Dinah R Davison, Aurora M Nedelcu, Onyi De Andre Eneji, Richard E Michod","doi":"10.1098/rspb.2024.2477","DOIUrl":null,"url":null,"abstract":"<p><p>During the evolution of multicellularity, the unit of selection transitions from single cells to integrated multicellular cell groups, necessitating the evolution of group-level traits such as somatic differentiation. However, the processes involved in this change in units of selection are poorly understood. We propose that the evolution of soma in the volvocine algae included an intermediate step involving the plastic development of somatic-like cells. We show that <i>Eudorina elegans,</i> a multicellular volvocine algae species previously thought to be undifferentiated, can develop somatic-like cells following environmental stress (i.e. cold shock). These cells resemble obligate soma in closely related species. We find that somatic-like cells can differentiate directly from cold-shocked cells. This differentiation is a cell-level trait, and the differentiated colony phenotype is a cross-level by-product of cell-level processes. The offspring of cold-shocked colonies also develop somatic-like cells. Since these cells were not directly exposed to the stressor, their differentiation was regulated during group development. Consequently, they are a true group-level trait and not a by-product of cell-level traits. We argue that group-level traits, such as obligate somatic differentiation, can originate through plasticity and that cross-level by-products may be an intermediate step in the evolution of group-level traits.</p>","PeriodicalId":20589,"journal":{"name":"Proceedings of the Royal Society B: Biological Sciences","volume":"292 2043","pages":"20242477"},"PeriodicalIF":3.5000,"publicationDate":"2025-03-01","publicationTypes":"Journal Article","fieldsOfStudy":null,"isOpenAccess":false,"openAccessPdf":"https://www.ncbi.nlm.nih.gov/pmc/articles/PMC11920831/pdf/","citationCount":"0","resultStr":null,"platform":"Semanticscholar","paperid":null,"PeriodicalName":"Proceedings of the Royal Society B: Biological Sciences","FirstCategoryId":"99","ListUrlMain":"https://doi.org/10.1098/rspb.2024.2477","RegionNum":1,"RegionCategory":"生物学","ArticlePicture":[],"TitleCN":null,"AbstractTextCN":null,"PMCID":null,"EPubDate":"2025/3/19 0:00:00","PubModel":"Epub","JCR":"Q1","JCRName":"BIOLOGY","Score":null,"Total":0}
引用次数: 0

Abstract

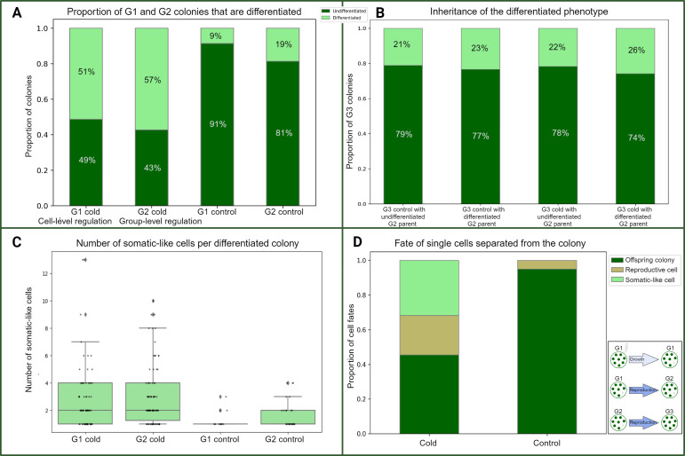
During the evolution of multicellularity, the unit of selection transitions from single cells to integrated multicellular cell groups, necessitating the evolution of group-level traits such as somatic differentiation. However, the processes involved in this change in units of selection are poorly understood. We propose that the evolution of soma in the volvocine algae included an intermediate step involving the plastic development of somatic-like cells. We show that Eudorina elegans, a multicellular volvocine algae species previously thought to be undifferentiated, can develop somatic-like cells following environmental stress (i.e. cold shock). These cells resemble obligate soma in closely related species. We find that somatic-like cells can differentiate directly from cold-shocked cells. This differentiation is a cell-level trait, and the differentiated colony phenotype is a cross-level by-product of cell-level processes. The offspring of cold-shocked colonies also develop somatic-like cells. Since these cells were not directly exposed to the stressor, their differentiation was regulated during group development. Consequently, they are a true group-level trait and not a by-product of cell-level traits. We argue that group-level traits, such as obligate somatic differentiation, can originate through plasticity and that cross-level by-products may be an intermediate step in the evolution of group-level traits.

Abstract Image

Abstract Image

Abstract Image

藻藻细胞分化的可塑性和群体水平调控的进化。
在多细胞生物的进化过程中,选择单位从单细胞转变为整合的多细胞细胞群,这就需要群体水平性状的进化,如体细胞分化。然而,人们对这种选择单位的变化所涉及的过程知之甚少。我们认为,藻体的进化包括一个中间步骤,涉及体细胞样细胞的塑性发育。我们发现秀丽隐杆线虫(Eudorina elegans)是一种多细胞藻,以前被认为是未分化的,在环境应激(即冷休克)后可以发育出体细胞样细胞。这些细胞类似于近亲物种中的专性体细胞。我们发现体细胞样细胞可以直接从冷休克细胞分化。这种分化是一种细胞水平的性状,而分化的集落表型是细胞水平过程的跨水平副产物。冷休克菌落的后代也会发育出类似躯体的细胞。由于这些细胞没有直接暴露于应激源,它们的分化在群体发育过程中受到调节。因此,它们是真正的群体特征,而不是细胞特征的副产品。我们认为,群体水平的性状,如专性体细胞分化,可以通过可塑性产生,而跨水平的副产品可能是群体水平性状进化的中间步骤。
本文章由计算机程序翻译,如有差异,请以英文原文为准。
求助全文
约1分钟内获得全文 求助全文
来源期刊
CiteScore
7.90
自引率
4.30%
发文量
502
审稿时长
1 months
期刊介绍: Proceedings B is the Royal Society’s flagship biological research journal, accepting original articles and reviews of outstanding scientific importance and broad general interest. The main criteria for acceptance are that a study is novel, and has general significance to biologists. Articles published cover a wide range of areas within the biological sciences, many have relevance to organisms and the environments in which they live. The scope includes, but is not limited to, ecology, evolution, behavior, health and disease epidemiology, neuroscience and cognition, behavioral genetics, development, biomechanics, paleontology, comparative biology, molecular ecology and evolution, and global change biology.
×
引用
GB/T 7714-2015
复制
MLA
复制
APA
复制
导出至
BibTeX EndNote RefMan NoteFirst NoteExpress
×
提示
您的信息不完整,为了账户安全,请先补充。
现在去补充
×
提示
您因"违规操作"
具体请查看互助需知
我知道了
×
提示
确定
请完成安全验证×
copy
已复制链接
快去分享给好友吧!
我知道了
右上角分享
点击右上角分享
0
联系我们:info@booksci.cn Book学术提供免费学术资源搜索服务,方便国内外学者检索中英文文献。致力于提供最便捷和优质的服务体验。 Copyright © 2023 布克学术 All rights reserved.
京ICP备2023020795号-1
ghs 京公网安备 11010802042870号
Book学术文献互助
Book学术文献互助群
群 号:604180095
Book学术官方微信