The value of the phase angle of bioelectrical impedance analysis to predict malnutrition in hemodialysis patients.

Frontiers in nephrology Pub Date : 2025-03-03 eCollection Date: 2025-01-01 DOI:10.3389/fneph.2025.1478367
Qingxuan Xiao, Na Xie, Xinyang Xiang, Ting Cao, Yingye Xie, Xiang Liang, Xiaoyan Su
{"title":"The value of the phase angle of bioelectrical impedance analysis to predict malnutrition in hemodialysis patients.","authors":"Qingxuan Xiao, Na Xie, Xinyang Xiang, Ting Cao, Yingye Xie, Xiang Liang, Xiaoyan Su","doi":"10.3389/fneph.2025.1478367","DOIUrl":null,"url":null,"abstract":"<p><strong>Objectives: </strong>To investigate the validity of bioelectrical impedance analysis (BIA)-derived phase angle (PhA) as a predictor of malnutrition in maintenance hemodialysis (MHD) patients.</p><p><strong>Methods: </strong>A single-center, cross-sectional study of 126 MHD patients was conducted. A diagnosis of malnutrition was based on the 7-point Subjective Global Assessment (7-p-SGA) criteria. A Bioelectrical Impedance Analyzer was used to determine the PhA, fat mass (FM), muscle mass, and extracellular water/total body water (ECW/TBW) ratio. Biochemical indices and anthropometric measurements were also assessed. Using 7-p-SGA criteria, the patients were categorized into two groups: well-nourished and malnourished. General patient characteristics and the PhA values were compared between the two groups. A correlation analysis examined the relationship between PhA and the nutritional index. Logistic regression models and receiver operating characteristic curve analyses were used to identify independent factors for predicting malnutrition and determining their respective cutoff values.</p><p><strong>Results: </strong>The malnourished group had a significantly lower PhA than the well-nourished group (5.19° (5.81°, 4.09°) vs 6.13° (6.80°, 5.49°), <i>P</i> < 0.001). The PhA correlated positively with body mass index (BMI), albumin (Alb), and handgrip strength (HGS) (<i>P</i> < 0.05). However, there were no significant associations between PhA and FM or triceps skinfold thickness (TSF) (P > 0.05). Multivariate logistic regression analysis revealed that PhA, Alb, and BMI were independent predictors of malnutrition. Of these, BMI was the strongest predictor [odds ratio (OR) = 0.68; <i>P</i> < 0.001]. PhA also served as a secondary predictor of malnutrition (OR = 0.588; <i>P</i> = 0.035). Receiver operating characteristic curve analysis indicated that a PhA threshold value of approximately 5.78° was optimal for predicting malnutrition.</p><p><strong>Conclusion: </strong>PhA is a straightforward and reliable predictor of malnutrition in MHD patients, with an optimal cut-off value of 5.78° identified for diagnosing this condition.</p>","PeriodicalId":73091,"journal":{"name":"Frontiers in nephrology","volume":"5 ","pages":"1478367"},"PeriodicalIF":0.0000,"publicationDate":"2025-03-03","publicationTypes":"Journal Article","fieldsOfStudy":null,"isOpenAccess":false,"openAccessPdf":"https://www.ncbi.nlm.nih.gov/pmc/articles/PMC11911513/pdf/","citationCount":"0","resultStr":null,"platform":"Semanticscholar","paperid":null,"PeriodicalName":"Frontiers in nephrology","FirstCategoryId":"1085","ListUrlMain":"https://doi.org/10.3389/fneph.2025.1478367","RegionNum":0,"RegionCategory":null,"ArticlePicture":[],"TitleCN":null,"AbstractTextCN":null,"PMCID":null,"EPubDate":"2025/1/1 0:00:00","PubModel":"eCollection","JCR":"","JCRName":"","Score":null,"Total":0}
引用次数: 0

Abstract

Objectives: To investigate the validity of bioelectrical impedance analysis (BIA)-derived phase angle (PhA) as a predictor of malnutrition in maintenance hemodialysis (MHD) patients.

Methods: A single-center, cross-sectional study of 126 MHD patients was conducted. A diagnosis of malnutrition was based on the 7-point Subjective Global Assessment (7-p-SGA) criteria. A Bioelectrical Impedance Analyzer was used to determine the PhA, fat mass (FM), muscle mass, and extracellular water/total body water (ECW/TBW) ratio. Biochemical indices and anthropometric measurements were also assessed. Using 7-p-SGA criteria, the patients were categorized into two groups: well-nourished and malnourished. General patient characteristics and the PhA values were compared between the two groups. A correlation analysis examined the relationship between PhA and the nutritional index. Logistic regression models and receiver operating characteristic curve analyses were used to identify independent factors for predicting malnutrition and determining their respective cutoff values.

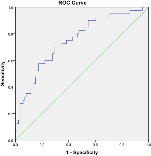
Results: The malnourished group had a significantly lower PhA than the well-nourished group (5.19° (5.81°, 4.09°) vs 6.13° (6.80°, 5.49°), P < 0.001). The PhA correlated positively with body mass index (BMI), albumin (Alb), and handgrip strength (HGS) (P < 0.05). However, there were no significant associations between PhA and FM or triceps skinfold thickness (TSF) (P > 0.05). Multivariate logistic regression analysis revealed that PhA, Alb, and BMI were independent predictors of malnutrition. Of these, BMI was the strongest predictor [odds ratio (OR) = 0.68; P < 0.001]. PhA also served as a secondary predictor of malnutrition (OR = 0.588; P = 0.035). Receiver operating characteristic curve analysis indicated that a PhA threshold value of approximately 5.78° was optimal for predicting malnutrition.

Conclusion: PhA is a straightforward and reliable predictor of malnutrition in MHD patients, with an optimal cut-off value of 5.78° identified for diagnosing this condition.

Abstract Image

Abstract Image

生物电阻抗相位角分析对血液透析患者营养不良的预测价值。
目的:探讨生物电阻抗分析(BIA)衍生相位角(PhA)作为维持性血液透析(MHD)患者营养不良预测指标的有效性。方法:对126例MHD患者进行单中心横断面研究。营养不良的诊断是基于7分主观整体评估(7-p-SGA)标准。采用生物电阻抗分析仪测定PhA、脂肪量(FM)、肌肉量和细胞外水/全身水(ECW/TBW)比。生化指标和人体测量也进行了评估。根据7-p-SGA标准,将患者分为营养良好和营养不良两组。比较两组患者一般特征及PhA值。相关分析检验了PhA与营养指数之间的关系。采用Logistic回归模型和受试者工作特征曲线分析,确定预测营养不良的独立因素,并确定各自的截止值。结果:营养不良组PhA明显低于营养良好组(5.19°(5.81°,4.09°)vs 6.13°(6.80°,5.49°),P < 0.001)。PhA与体质指数(BMI)、白蛋白(Alb)、握力(HGS)呈正相关(P < 0.05)。然而,PhA与FM或三头肌皮褶厚度(TSF)无显著相关性(P < 0.05)。多因素logistic回归分析显示,PhA、Alb和BMI是营养不良的独立预测因子。其中,BMI是最强的预测因子[比值比(OR) = 0.68;P < 0.001]。PhA也是营养不良的次要预测因子(OR = 0.588;P = 0.035)。受试者工作特征曲线分析表明,PhA阈值约为5.78°是预测营养不良的最佳阈值。结论:PhA是MHD患者营养不良的一个直接可靠的预测指标,其最佳临界值为5.78°。
本文章由计算机程序翻译,如有差异,请以英文原文为准。
求助全文
约1分钟内获得全文 求助全文
来源期刊
自引率
0.00%
发文量
0
×
引用
GB/T 7714-2015
复制
MLA
复制
APA
复制
导出至
BibTeX EndNote RefMan NoteFirst NoteExpress
×
提示
您的信息不完整,为了账户安全,请先补充。
现在去补充
×
提示
您因"违规操作"
具体请查看互助需知
我知道了
×
提示
确定
请完成安全验证×
copy
已复制链接
快去分享给好友吧!
我知道了
右上角分享
点击右上角分享
0
联系我们:info@booksci.cn Book学术提供免费学术资源搜索服务,方便国内外学者检索中英文文献。致力于提供最便捷和优质的服务体验。 Copyright © 2023 布克学术 All rights reserved.
京ICP备2023020795号-1
ghs 京公网安备 11010802042870号
Book学术文献互助
Book学术文献互助群
群 号:604180095
Book学术官方微信