Nonlinear association between neutrophil-to-lymphocyte ratio and asthma in children and adolescents in the United States: a cross-sectional study.

IF 3.6 Q1 PEDIATRICS
Clinical and Experimental Pediatrics Pub Date : 2025-07-01 Epub Date: 2025-03-11 DOI:10.3345/cep.2024.01844
Chuhan Cheng, Liyan Zhang
{"title":"Nonlinear association between neutrophil-to-lymphocyte ratio and asthma in children and adolescents in the United States: a cross-sectional study.","authors":"Chuhan Cheng, Liyan Zhang","doi":"10.3345/cep.2024.01844","DOIUrl":null,"url":null,"abstract":"<p><strong>Background: </strong>The neutrophil-to-lymphocyte ratio (NLR) is a marker of systemic inflammation associated with various diseases including respiratory conditions. However, the relationship between NLR and asthma in the pediatric population remains underexplored.</p><p><strong>Purpose: </strong>This study aimed to explore the association between NLR and asthma in children and adolescents and assess its potential role as a predictive biomarker for pediatric asthma.</p><p><strong>Methods: </strong>We retrospectively analyzed the medical records of 12,974 children and adolescents from the National Health and Nutrition Examination Survey in 2011-2020. NLR was defined as the ratio of NLR counts. Asthma was diagnosed using a structured questionnaire. Multivariate logistic regression models were used to evaluate the association between NLR and asthma. A restricted cubic spline was used to explore nonlinear relationships, and a threshold analysis was conducted to identify potential cutoff values for the NLR.</p><p><strong>Results: </strong>A total of 12,974 children and adolescents were included (male: 6,686 [51.5%]; mean [interquartile range] age, 10 [5.0-14.0 years]). After the adjustment for confounders, participants with the highest versus lowest NLR exhibited a significantly elevated risk of asthma (odds ratio [OR], 1.39; 95% confidence interval [CI], 1.13-1.71). Additionally, a multivariate restricted cubic spline analysis revealed a nonlinear relationship between NLR and asthma (P=0.023). A threshold analysis revealed that an NLR<2.23 was significantly associated with an increased risk of asthma (OR, 1.23; 95% CI, 1.05-1.45), while an NLR≥2.23 showed no significant association. A subgroup analysis revealed no interactive role of NLR and asthma.</p><p><strong>Conclusion: </strong>Our findings indicate a nonlinear saturation-effect relationship between NLR and asthma in children and adolescents.</p>","PeriodicalId":36018,"journal":{"name":"Clinical and Experimental Pediatrics","volume":" ","pages":"489-496"},"PeriodicalIF":3.6000,"publicationDate":"2025-07-01","publicationTypes":"Journal Article","fieldsOfStudy":null,"isOpenAccess":false,"openAccessPdf":"https://www.ncbi.nlm.nih.gov/pmc/articles/PMC12235342/pdf/","citationCount":"0","resultStr":null,"platform":"Semanticscholar","paperid":null,"PeriodicalName":"Clinical and Experimental Pediatrics","FirstCategoryId":"1085","ListUrlMain":"https://doi.org/10.3345/cep.2024.01844","RegionNum":0,"RegionCategory":null,"ArticlePicture":[],"TitleCN":null,"AbstractTextCN":null,"PMCID":null,"EPubDate":"2025/3/11 0:00:00","PubModel":"Epub","JCR":"Q1","JCRName":"PEDIATRICS","Score":null,"Total":0}
引用次数: 0

Abstract

Background: The neutrophil-to-lymphocyte ratio (NLR) is a marker of systemic inflammation associated with various diseases including respiratory conditions. However, the relationship between NLR and asthma in the pediatric population remains underexplored.

Purpose: This study aimed to explore the association between NLR and asthma in children and adolescents and assess its potential role as a predictive biomarker for pediatric asthma.

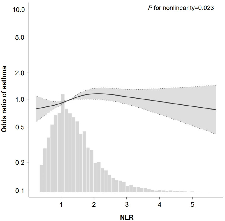
Methods: We retrospectively analyzed the medical records of 12,974 children and adolescents from the National Health and Nutrition Examination Survey in 2011-2020. NLR was defined as the ratio of NLR counts. Asthma was diagnosed using a structured questionnaire. Multivariate logistic regression models were used to evaluate the association between NLR and asthma. A restricted cubic spline was used to explore nonlinear relationships, and a threshold analysis was conducted to identify potential cutoff values for the NLR.

Results: A total of 12,974 children and adolescents were included (male: 6,686 [51.5%]; mean [interquartile range] age, 10 [5.0-14.0 years]). After the adjustment for confounders, participants with the highest versus lowest NLR exhibited a significantly elevated risk of asthma (odds ratio [OR], 1.39; 95% confidence interval [CI], 1.13-1.71). Additionally, a multivariate restricted cubic spline analysis revealed a nonlinear relationship between NLR and asthma (P=0.023). A threshold analysis revealed that an NLR<2.23 was significantly associated with an increased risk of asthma (OR, 1.23; 95% CI, 1.05-1.45), while an NLR≥2.23 showed no significant association. A subgroup analysis revealed no interactive role of NLR and asthma.

Conclusion: Our findings indicate a nonlinear saturation-effect relationship between NLR and asthma in children and adolescents.

Abstract Image

Abstract Image

Abstract Image

中性粒细胞与淋巴细胞比率与美国儿童和青少年哮喘之间的非线性关联:一项横断面研究。
背景:中性粒细胞与淋巴细胞比率(NLR)是与包括呼吸系统疾病在内的各种疾病相关的全身性炎症的标志。然而,在儿科人群中,NLR与哮喘之间的关系仍未得到充分探讨。目的:本研究旨在探讨NLR与儿童和青少年哮喘之间的关系,并评估其作为儿童哮喘预测生物标志物的潜在作用。方法:回顾性分析2011-2020年全国健康与营养调查12974名儿童青少年的医疗记录。NLR定义为中性粒细胞与淋巴细胞计数的比值。使用结构化问卷诊断哮喘。采用多变量logistic回归模型评价NLR与哮喘的关系。使用限制三次样条来探索非线性关系,并进行阈值分析以确定NLR的潜在截止值。结果:共纳入12974例儿童和青少年(男性:6686例[51.5%];平均年龄:10岁[IQR, 5.0-14.0])。校正混杂因素后,NLR最高与最低的受试者哮喘风险显著升高(优势比[OR]=1.39;95%可信区间[CI], 1.13-1.71)。此外,多变量限制性三次样条分析显示NLR与哮喘之间存在非线性关系(p=0.023)。结论:我们的研究结果表明,NLR与儿童和青少年哮喘之间存在非线性饱和效应关系。
本文章由计算机程序翻译,如有差异,请以英文原文为准。
求助全文
约1分钟内获得全文 求助全文
来源期刊
CiteScore
8.00
自引率
2.40%
发文量
88
审稿时长
60 weeks
×
引用
GB/T 7714-2015
复制
MLA
复制
APA
复制
导出至
BibTeX EndNote RefMan NoteFirst NoteExpress
×
提示
您的信息不完整,为了账户安全,请先补充。
现在去补充
×
提示
您因"违规操作"
具体请查看互助需知
我知道了
×
提示
确定
请完成安全验证×
copy
已复制链接
快去分享给好友吧!
我知道了
右上角分享
点击右上角分享
0
联系我们:info@booksci.cn Book学术提供免费学术资源搜索服务,方便国内外学者检索中英文文献。致力于提供最便捷和优质的服务体验。 Copyright © 2023 布克学术 All rights reserved.
京ICP备2023020795号-1
ghs 京公网安备 11010802042870号
Book学术文献互助
Book学术文献互助群
群 号:604180095
Book学术官方微信