Postoperative fluid restriction to prevent delayed hyponatremia after endoscopic transsphenoidal surgery.

IF 13.4 1区 医学 Q1 CLINICAL NEUROLOGY
Doriann Klaassen, Shinghei Mok, Jenie Y Hwang, Sydney L Blount, Kelley J Williams, Brendan M Fong, Michael R Chicoine, Ralph G Dacey, Nyssa F Farrell, Joshua W Osbun, Keith M Rich, Lauren T Roland, John S Schneider, Gregory J Zipfel, Chongliang Luo, Albert H Kim, Julie M Silverstein
{"title":"Postoperative fluid restriction to prevent delayed hyponatremia after endoscopic transsphenoidal surgery.","authors":"Doriann Klaassen, Shinghei Mok, Jenie Y Hwang, Sydney L Blount, Kelley J Williams, Brendan M Fong, Michael R Chicoine, Ralph G Dacey, Nyssa F Farrell, Joshua W Osbun, Keith M Rich, Lauren T Roland, John S Schneider, Gregory J Zipfel, Chongliang Luo, Albert H Kim, Julie M Silverstein","doi":"10.1093/neuonc/noaf069","DOIUrl":null,"url":null,"abstract":"<p><strong>Background: </strong>Readmission following endoscopic endonasal transsphenoidal surgery (EETS) for pituitary neuroendocrine tumor (PitNET) and other sellar pathology is most commonly due to delayed hyponatremia. Studies suggest postoperative fluid restriction (FR) reduces delayed hyponatremia. We present a prospective randomized controlled study evaluating post-EETS FR.</p><p><strong>Methods: </strong>300 participants were scheduled for EETS (2016-2023) at a single institution. Patients with CKD, CHF, arginine vasopressin deficiency on postoperative day (POD) 3, chronic hyponatremia, and untreated adrenal insufficiency or hypothyroidism were excluded. Groups included control (ad-lib, n = 94), moderate FR (1.8 L/day or 2 L/day weight > 100 kg, n = 39), and strict FR (1 L/day or 1.2 L/day weight > 100 kg, n = 62) from POD 3-14. Incidence of overall, moderate, and severe hyponatremia (Na < 135, 125-129, and <125 mEq/L), readmission rates, fluid intake, and thirst were evaluated.</p><p><strong>Results: </strong>The incidence of overall hyponatremia was 31.9%, 28.2%, and 21.0% in control, moderate FR, and strict FR groups, and the incidence of severe hyponatremia was 7.4%, 5.1%, and 0% in control, moderate FR, and strict FR groups. Nadir Na level was higher (1.81 mEq/L; 95% CI, 0.34 to 3.27; P = .02) and severe hyponatremia occurred less frequently (95% CI, 0.00 to 1.02; P = .04) in the strict FR vs. control group. Readmission was lower in the strict FR (1.6%, n = 1) vs. control group (6.4%, n = 6).</p><p><strong>Conclusions: </strong>Postoperative FR decreases rates of delayed hyponatremia and related readmission compared to patients drinking ad-lib. Further studies are needed to assess the optimal volume and duration of FR after EETS. Trial registration number: NCT03636568.</p>","PeriodicalId":19377,"journal":{"name":"Neuro-oncology","volume":" ","pages":"1746-1757"},"PeriodicalIF":13.4000,"publicationDate":"2025-09-08","publicationTypes":"Journal Article","fieldsOfStudy":null,"isOpenAccess":false,"openAccessPdf":"https://www.ncbi.nlm.nih.gov/pmc/articles/PMC12417837/pdf/","citationCount":"0","resultStr":null,"platform":"Semanticscholar","paperid":null,"PeriodicalName":"Neuro-oncology","FirstCategoryId":"3","ListUrlMain":"https://doi.org/10.1093/neuonc/noaf069","RegionNum":1,"RegionCategory":"医学","ArticlePicture":[],"TitleCN":null,"AbstractTextCN":null,"PMCID":null,"EPubDate":"","PubModel":"","JCR":"Q1","JCRName":"CLINICAL NEUROLOGY","Score":null,"Total":0}
引用次数: 0

Abstract

Background: Readmission following endoscopic endonasal transsphenoidal surgery (EETS) for pituitary neuroendocrine tumor (PitNET) and other sellar pathology is most commonly due to delayed hyponatremia. Studies suggest postoperative fluid restriction (FR) reduces delayed hyponatremia. We present a prospective randomized controlled study evaluating post-EETS FR.

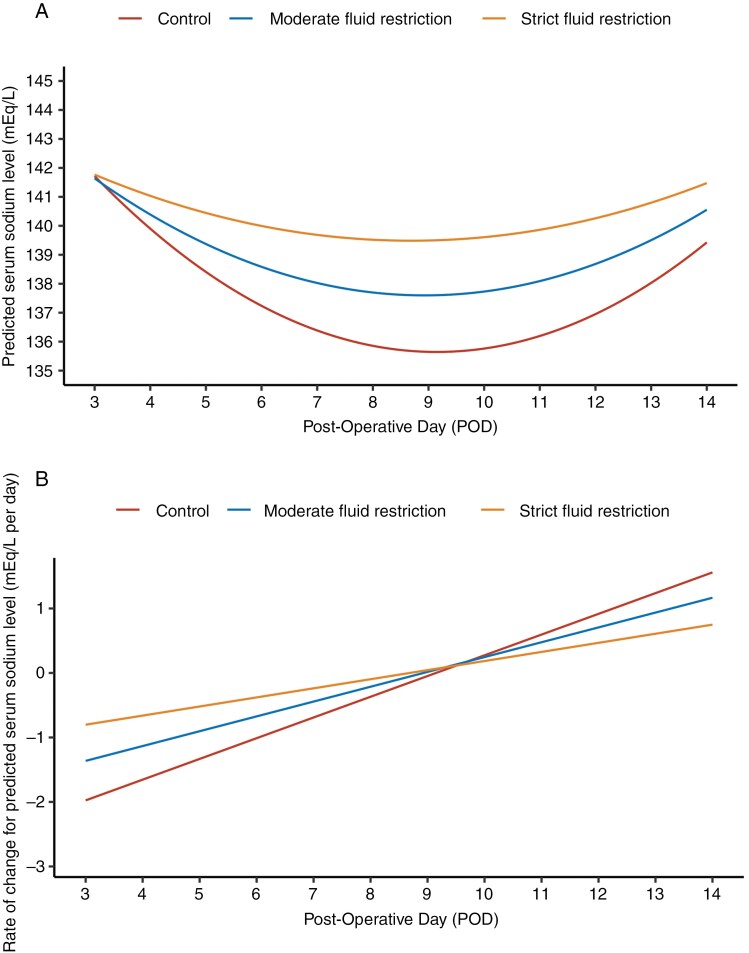
Methods: 300 participants were scheduled for EETS (2016-2023) at a single institution. Patients with CKD, CHF, arginine vasopressin deficiency on postoperative day (POD) 3, chronic hyponatremia, and untreated adrenal insufficiency or hypothyroidism were excluded. Groups included control (ad-lib, n = 94), moderate FR (1.8 L/day or 2 L/day weight > 100 kg, n = 39), and strict FR (1 L/day or 1.2 L/day weight > 100 kg, n = 62) from POD 3-14. Incidence of overall, moderate, and severe hyponatremia (Na < 135, 125-129, and <125 mEq/L), readmission rates, fluid intake, and thirst were evaluated.

Results: The incidence of overall hyponatremia was 31.9%, 28.2%, and 21.0% in control, moderate FR, and strict FR groups, and the incidence of severe hyponatremia was 7.4%, 5.1%, and 0% in control, moderate FR, and strict FR groups. Nadir Na level was higher (1.81 mEq/L; 95% CI, 0.34 to 3.27; P = .02) and severe hyponatremia occurred less frequently (95% CI, 0.00 to 1.02; P = .04) in the strict FR vs. control group. Readmission was lower in the strict FR (1.6%, n = 1) vs. control group (6.4%, n = 6).

Conclusions: Postoperative FR decreases rates of delayed hyponatremia and related readmission compared to patients drinking ad-lib. Further studies are needed to assess the optimal volume and duration of FR after EETS. Trial registration number: NCT03636568.

Abstract Image

Abstract Image

内镜下蝶窦手术后限制输液预防迟发性低钠血症。
背景:垂体神经内分泌肿瘤(PitNET)和其他鞍区病理的内镜下经鼻蝶窦手术(EETS)后再入院最常见的原因是迟发性低钠血症。研究表明术后液体限制(FR)可减少迟发性低钠血症。我们提出了一项评估EETS后fr的前瞻性随机对照研究。方法:在单一机构安排300名参与者参加EETS(2016-2023)。排除CKD、CHF、术后一天精氨酸抗利尿激素缺乏(POD) 3、慢性低钠血症、未经治疗的肾上腺功能不全或甲状腺功能减退的患者。各组包括对照组(ad-lib, n=94)、中度FR (1.8 L/天或2 L/天体重>100 kg, n=39)和严格FR (1 L/天或1.2 L/天体重>100 kg, n=62)。结果:对照组、中度FR组和严格FR组总体低钠血症发生率分别为31.9%、28.2%和21.0%,对照组、中度FR组和严格FR组重度低钠血症发生率分别为7.4%、5.1%和0%。Nadir Na水平较高(1.81 mEq/L;95% CI, 0.34 ~ 3.27;P=0.02),严重低钠血症发生率较低(95% CI, 0.00 ~ 1.02;P=0.04)。严格FR组再入院率(1.6%,n=1)低于对照组(6.4%,n=6)。结论:术后FR降低了迟发性低钠血症和相关再入院率。需要进一步的研究来评估EETS后FR的最佳量和持续时间。
本文章由计算机程序翻译,如有差异,请以英文原文为准。
求助全文
约1分钟内获得全文 求助全文
来源期刊
Neuro-oncology
Neuro-oncology 医学-临床神经学
CiteScore
27.20
自引率
6.30%
发文量
1434
审稿时长
3-8 weeks
期刊介绍: Neuro-Oncology, the official journal of the Society for Neuro-Oncology, has been published monthly since January 2010. Affiliated with the Japan Society for Neuro-Oncology and the European Association of Neuro-Oncology, it is a global leader in the field. The journal is committed to swiftly disseminating high-quality information across all areas of neuro-oncology. It features peer-reviewed articles, reviews, symposia on various topics, abstracts from annual meetings, and updates from neuro-oncology societies worldwide.
×
引用
GB/T 7714-2015
复制
MLA
复制
APA
复制
导出至
BibTeX EndNote RefMan NoteFirst NoteExpress
×
提示
您的信息不完整,为了账户安全,请先补充。
现在去补充
×
提示
您因"违规操作"
具体请查看互助需知
我知道了
×
提示
确定
请完成安全验证×
copy
已复制链接
快去分享给好友吧!
我知道了
右上角分享
点击右上角分享
0
联系我们:info@booksci.cn Book学术提供免费学术资源搜索服务,方便国内外学者检索中英文文献。致力于提供最便捷和优质的服务体验。 Copyright © 2023 布克学术 All rights reserved.
京ICP备2023020795号-1
ghs 京公网安备 11010802042870号
Book学术文献互助
Book学术文献互助群
群 号:604180095
Book学术官方微信