Major adverse cardiovascular events or venous thromboembolism in patients with rheumatoid arthritis initiating biological or targeted synthetic disease-modifying antirheumatic drugs: a nationwide, population-based cohort study.

IF 4.1 2区 医学 Q2 RHEUMATOLOGY
Therapeutic Advances in Musculoskeletal Disease Pub Date : 2025-03-12 eCollection Date: 2025-01-01 DOI:10.1177/1759720X251321917
Chung-Mao Kao, Yen-Ju Chen, Yi-Ming Chen, Der-Yuan Chen, Hsin-Hua Chen
{"title":"Major adverse cardiovascular events or venous thromboembolism in patients with rheumatoid arthritis initiating biological or targeted synthetic disease-modifying antirheumatic drugs: a nationwide, population-based cohort study.","authors":"Chung-Mao Kao, Yen-Ju Chen, Yi-Ming Chen, Der-Yuan Chen, Hsin-Hua Chen","doi":"10.1177/1759720X251321917","DOIUrl":null,"url":null,"abstract":"<p><strong>Background: </strong>Rheumatoid arthritis (RA) is complicated by a high risk of cardiovascular disease and requires the initiation of biological or targeted synthetic disease-modifying antirheumatic drugs (b/tsDMARDs) for persistently active disease despite first-line therapies. The influence of b/tsDMARDs, especially tsDMARDs, on cardiovascular risk in Taiwanese patients with RA remains unclear.</p><p><strong>Objectives: </strong>To compare the risk of major cardiovascular adverse events (MACEs) or venous thromboembolism (VTE) amongst RA patients initiating approved b/tsDMARDs for up to 5 years.</p><p><strong>Design: </strong>A nationwide, population-based, retrospective cohort study.</p><p><strong>Methods: </strong>Using Taiwan National Health Insurance (NHI) Research Database, we identified patients with RA initiating NHI-reimbursed b/tsDMARDs indicated for RA between 2001 and 2020. Study outcomes were newly developed MACEs or VTE within 5 years of the first b/tsDMARD initiation. Time-dependent Cox regression analysis was performed to determine the association between b/tsDMARDs and MACEs or VTE and independently associated or protective factors. Subgroup analyses by age at b/tsDMARD initiation and cardiovascular risk levels, as well as sensitivity analyses of b/tsDMARD initiation after 2012, were performed.</p><p><strong>Results: </strong>We enrolled 12,332 adults with RA initiating the first b/tsDMARD during pre-determined period. The incidence rates of MACE and VTE were 894 and 283 per 100,000 person-years, respectively. After adjustment, other b/tsDMARDs were not associated with a higher risk of MACEs or VTE than tumour necrosis factor inhibitors (TNFis) up to 5 years after initiation. Subgroup analyses by age at b/tsDMARD initiation and cardiovascular risk levels revealed consistent findings. Factors associated with or protective against MACEs or VTE were identified.</p><p><strong>Conclusion: </strong>No non-TNFi b/tsDMARD had a higher risk of MACEs or VTE than TNFis up to 5 years after initiation amongst patients with RA, and this remained consistent for those initiating their b/tsDMARD at age 65 years and older or with high cardiovascular risk.</p>","PeriodicalId":23056,"journal":{"name":"Therapeutic Advances in Musculoskeletal Disease","volume":"17 ","pages":"1759720X251321917"},"PeriodicalIF":4.1000,"publicationDate":"2025-03-12","publicationTypes":"Journal Article","fieldsOfStudy":null,"isOpenAccess":false,"openAccessPdf":"https://www.ncbi.nlm.nih.gov/pmc/articles/PMC11898041/pdf/","citationCount":"0","resultStr":null,"platform":"Semanticscholar","paperid":null,"PeriodicalName":"Therapeutic Advances in Musculoskeletal Disease","FirstCategoryId":"3","ListUrlMain":"https://doi.org/10.1177/1759720X251321917","RegionNum":2,"RegionCategory":"医学","ArticlePicture":[],"TitleCN":null,"AbstractTextCN":null,"PMCID":null,"EPubDate":"2025/1/1 0:00:00","PubModel":"eCollection","JCR":"Q2","JCRName":"RHEUMATOLOGY","Score":null,"Total":0}
引用次数: 0

Abstract

Background: Rheumatoid arthritis (RA) is complicated by a high risk of cardiovascular disease and requires the initiation of biological or targeted synthetic disease-modifying antirheumatic drugs (b/tsDMARDs) for persistently active disease despite first-line therapies. The influence of b/tsDMARDs, especially tsDMARDs, on cardiovascular risk in Taiwanese patients with RA remains unclear.

Objectives: To compare the risk of major cardiovascular adverse events (MACEs) or venous thromboembolism (VTE) amongst RA patients initiating approved b/tsDMARDs for up to 5 years.

Design: A nationwide, population-based, retrospective cohort study.

Methods: Using Taiwan National Health Insurance (NHI) Research Database, we identified patients with RA initiating NHI-reimbursed b/tsDMARDs indicated for RA between 2001 and 2020. Study outcomes were newly developed MACEs or VTE within 5 years of the first b/tsDMARD initiation. Time-dependent Cox regression analysis was performed to determine the association between b/tsDMARDs and MACEs or VTE and independently associated or protective factors. Subgroup analyses by age at b/tsDMARD initiation and cardiovascular risk levels, as well as sensitivity analyses of b/tsDMARD initiation after 2012, were performed.

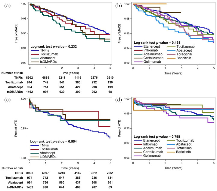
Results: We enrolled 12,332 adults with RA initiating the first b/tsDMARD during pre-determined period. The incidence rates of MACE and VTE were 894 and 283 per 100,000 person-years, respectively. After adjustment, other b/tsDMARDs were not associated with a higher risk of MACEs or VTE than tumour necrosis factor inhibitors (TNFis) up to 5 years after initiation. Subgroup analyses by age at b/tsDMARD initiation and cardiovascular risk levels revealed consistent findings. Factors associated with or protective against MACEs or VTE were identified.

Conclusion: No non-TNFi b/tsDMARD had a higher risk of MACEs or VTE than TNFis up to 5 years after initiation amongst patients with RA, and this remained consistent for those initiating their b/tsDMARD at age 65 years and older or with high cardiovascular risk.

Abstract Image

Abstract Image

Abstract Image

类风湿关节炎患者的主要不良心血管事件或静脉血栓栓塞引发生物或靶向合成疾病改善抗风湿药物:一项全国性、基于人群的队列研究
背景:类风湿性关节炎(RA)并发心血管疾病的高风险,尽管有一线治疗,但对于持续活跃的疾病,需要开始使用生物或靶向合成疾病改善抗风湿药物(b/tsDMARDs)。b/tsDMARDs,尤其是tsDMARDs对台湾RA患者心血管风险的影响尚不清楚。目的:比较开始使用获批b/tsDMARDs长达5年的RA患者发生主要心血管不良事件(mace)或静脉血栓栓塞(VTE)的风险。设计:一项全国性、以人群为基础的回顾性队列研究。​研究结果是首次b/tsDMARD开始后5年内新发生的mace或VTE。采用时间相关的Cox回归分析来确定b/tsDMARDs与mace或VTE以及独立相关或保护因素之间的关系。按b/tsDMARD起始年龄和心血管风险水平进行亚组分析,以及2012年后b/tsDMARD起始的敏感性分析。结果:我们招募了12,332名RA成人患者,在预定的时间内开始第一次b/tsDMARD治疗。MACE和VTE的发生率分别为894 / 10万人/年和283 / 10万人/年。调整后,其他b/tsDMARDs在开始治疗后5年内与mace或VTE的风险高于肿瘤坏死因子抑制剂(TNFis)无关。按b/tsDMARD起始年龄和心血管风险水平进行的亚组分析显示了一致的结果。确定了与mace或VTE相关或有保护作用的因素。结论:在RA患者中,非tnfi b/tsDMARD在开始治疗后5年内没有比tnfi患者更高的mace或VTE风险,这在65岁及以上或心血管风险高的患者中保持一致。
本文章由计算机程序翻译,如有差异,请以英文原文为准。
求助全文
约1分钟内获得全文 求助全文
来源期刊
CiteScore
6.80
自引率
4.80%
发文量
132
审稿时长
18 weeks
期刊介绍: Therapeutic Advances in Musculoskeletal Disease delivers the highest quality peer-reviewed articles, reviews, and scholarly comment on pioneering efforts and innovative studies across all areas of musculoskeletal disease.
×
引用
GB/T 7714-2015
复制
MLA
复制
APA
复制
导出至
BibTeX EndNote RefMan NoteFirst NoteExpress
×
提示
您的信息不完整,为了账户安全,请先补充。
现在去补充
×
提示
您因"违规操作"
具体请查看互助需知
我知道了
×
提示
确定
请完成安全验证×
copy
已复制链接
快去分享给好友吧!
我知道了
右上角分享
点击右上角分享
0
联系我们:info@booksci.cn Book学术提供免费学术资源搜索服务,方便国内外学者检索中英文文献。致力于提供最便捷和优质的服务体验。 Copyright © 2023 布克学术 All rights reserved.
京ICP备2023020795号-1
ghs 京公网安备 11010802042870号
Book学术文献互助
Book学术文献互助群
群 号:604180095
Book学术官方微信