Delineation of Partial Chromosomal Abnormalities in Early Pregnancy Losses.

IF 0.9 4区 医学 Q4 GENETICS & HEREDITY
Balkan Journal of Medical Genetics Pub Date : 2025-03-06 eCollection Date: 2024-12-01 DOI:10.2478/bjmg-2024-0014
Gj Bozhinovski, M Terzikj, K Kubelka-Sabit, D Plaseska-Karanfilska
{"title":"Delineation of Partial Chromosomal Abnormalities in Early Pregnancy Losses.","authors":"Gj Bozhinovski, M Terzikj, K Kubelka-Sabit, D Plaseska-Karanfilska","doi":"10.2478/bjmg-2024-0014","DOIUrl":null,"url":null,"abstract":"<p><p>Pregnancy loss (PL), particularly early pregnancy loss (EPL), is a prevalent reproductive complication, with approximately 15% of confirmed pregnancies affected. Chromosomal abnormalities are implicated in more than half of EPLs, with trisomies being the most prevalent. Partial abnormalities, including segmental deletions, duplications, and unbalanced translocations, are detected in up to 10% of EPL cases. This study focuses on the precise characterization of partial chromosomal abnormalities, previously identified by Quantitative fluorescent polymerase chain reaction (QF-PCR) and multiplex ligation probe amplification (MLPA) analyses. By employing an array comparative genomic hybridization (aCGH), we analyzed 20 EPL samples, identifying 32 partial chromosomal abnormalities, including 18 deletions and 14 duplications, with an average size of 33.2 Mb. Notably, two abnormalities previously undetected by QF-PCR and MLPA were revealed (deletions in 7q36, and 1p36.32p36.31regions), emphasizing the necessity of high-resolution genomic tools. Chromosomes 1, 18, and 13 emerged as frequently involved, aligning with previous associations with recurrent pregnancy loss. Recurrent abnormalities were identified in six chromosomal regions, with chromosome 1p36.33-p36.32 exhibiting the highest frequency. Gene Ontology (GO) enrichment analysis of recurrent regions highlighted disruptions in critical biological processes, including molecular binding, enzymatic activity, and cellular development. Many genes in these regions are linked to multisystem syndromes, suggesting their involvement in early embryonic development and pregnancy viability. Our findings underscore the complexity of EPL's genetic landscape, demonstrating that large CNVs, may disrupt multiple genes critical for development. Although, subtelo-meric MLPA reliably detects telomeric partial chromosomal abnormalities in EPLs, aCGH is essential for detection and precise characterization of all CNVs, thus enhancing diagnostic and counseling strategies in affected couples.</p>","PeriodicalId":55403,"journal":{"name":"Balkan Journal of Medical Genetics","volume":"27 2","pages":"23-32"},"PeriodicalIF":0.9000,"publicationDate":"2025-03-06","publicationTypes":"Journal Article","fieldsOfStudy":null,"isOpenAccess":false,"openAccessPdf":"https://www.ncbi.nlm.nih.gov/pmc/articles/PMC11892934/pdf/","citationCount":"0","resultStr":null,"platform":"Semanticscholar","paperid":null,"PeriodicalName":"Balkan Journal of Medical Genetics","FirstCategoryId":"3","ListUrlMain":"https://doi.org/10.2478/bjmg-2024-0014","RegionNum":4,"RegionCategory":"医学","ArticlePicture":[],"TitleCN":null,"AbstractTextCN":null,"PMCID":null,"EPubDate":"2024/12/1 0:00:00","PubModel":"eCollection","JCR":"Q4","JCRName":"GENETICS & HEREDITY","Score":null,"Total":0}
引用次数: 0

Abstract

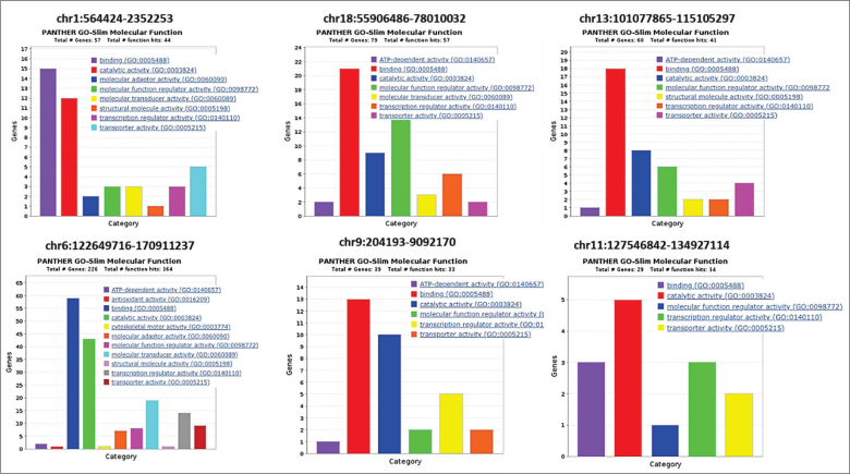
Pregnancy loss (PL), particularly early pregnancy loss (EPL), is a prevalent reproductive complication, with approximately 15% of confirmed pregnancies affected. Chromosomal abnormalities are implicated in more than half of EPLs, with trisomies being the most prevalent. Partial abnormalities, including segmental deletions, duplications, and unbalanced translocations, are detected in up to 10% of EPL cases. This study focuses on the precise characterization of partial chromosomal abnormalities, previously identified by Quantitative fluorescent polymerase chain reaction (QF-PCR) and multiplex ligation probe amplification (MLPA) analyses. By employing an array comparative genomic hybridization (aCGH), we analyzed 20 EPL samples, identifying 32 partial chromosomal abnormalities, including 18 deletions and 14 duplications, with an average size of 33.2 Mb. Notably, two abnormalities previously undetected by QF-PCR and MLPA were revealed (deletions in 7q36, and 1p36.32p36.31regions), emphasizing the necessity of high-resolution genomic tools. Chromosomes 1, 18, and 13 emerged as frequently involved, aligning with previous associations with recurrent pregnancy loss. Recurrent abnormalities were identified in six chromosomal regions, with chromosome 1p36.33-p36.32 exhibiting the highest frequency. Gene Ontology (GO) enrichment analysis of recurrent regions highlighted disruptions in critical biological processes, including molecular binding, enzymatic activity, and cellular development. Many genes in these regions are linked to multisystem syndromes, suggesting their involvement in early embryonic development and pregnancy viability. Our findings underscore the complexity of EPL's genetic landscape, demonstrating that large CNVs, may disrupt multiple genes critical for development. Although, subtelo-meric MLPA reliably detects telomeric partial chromosomal abnormalities in EPLs, aCGH is essential for detection and precise characterization of all CNVs, thus enhancing diagnostic and counseling strategies in affected couples.

Abstract Image

Abstract Image

Abstract Image

早期妊娠丢失中部分染色体异常的描述。
妊娠丢失(PL),特别是早期妊娠丢失(EPL),是一种普遍的生殖并发症,约有15%的确诊妊娠受到影响。染色体异常涉及超过一半的epl,三体是最普遍的。部分异常,包括片段缺失、重复和不平衡易位,在高达10%的EPL病例中被检测到。本研究的重点是精确表征部分染色体异常,以前通过定量荧光聚合酶链反应(QF-PCR)和多重连接探针扩增(MLPA)分析鉴定。通过阵列比较基因组杂交(aCGH),我们分析了20个EPL样本,鉴定出32个部分染色体异常,包括18个缺失和14个重复,平均大小为33.2 Mb。值得注意的是,QF-PCR和MLPA发现了两个以前未被发现的异常(7q36和1p36.32 . p36.31区域的缺失),强调了高分辨率基因组工具的必要性。1号、18号和13号染色体经常参与其中,这与先前与复发性妊娠丢失的关联一致。在6个染色体区域发现复发性异常,以染色体1p36.33-p36.32为最高频率。基因本体(GO)富集分析强调了关键生物过程的中断,包括分子结合、酶活性和细胞发育。这些区域的许多基因与多系统综合征有关,表明它们与早期胚胎发育和妊娠能力有关。我们的发现强调了EPL遗传景观的复杂性,表明大的CNVs可能会破坏对发育至关重要的多个基因。虽然,亚端粒MLPA可靠地检测epl的端粒部分染色体异常,但aCGH对于检测和精确表征所有CNVs至关重要,从而增强了受影响夫妇的诊断和咨询策略。
本文章由计算机程序翻译,如有差异,请以英文原文为准。
求助全文
约1分钟内获得全文 求助全文
来源期刊
CiteScore
1.00
自引率
0.00%
发文量
0
审稿时长
>12 weeks
期刊介绍: Balkan Journal of Medical Genetics is a journal in the English language for publication of articles involving all branches of medical genetics: human cytogenetics, molecular genetics, clinical genetics, immunogenetics, oncogenetics, pharmacogenetics, population genetics, genetic screening and diagnosis of monogenic and polygenic diseases, prenatal and preimplantation genetic diagnosis, genetic counselling, advances in treatment and prevention.
×
引用
GB/T 7714-2015
复制
MLA
复制
APA
复制
导出至
BibTeX EndNote RefMan NoteFirst NoteExpress
×
提示
您的信息不完整,为了账户安全,请先补充。
现在去补充
×
提示
您因"违规操作"
具体请查看互助需知
我知道了
×
提示
确定
请完成安全验证×
copy
已复制链接
快去分享给好友吧!
我知道了
右上角分享
点击右上角分享
0
联系我们:info@booksci.cn Book学术提供免费学术资源搜索服务,方便国内外学者检索中英文文献。致力于提供最便捷和优质的服务体验。 Copyright © 2023 布克学术 All rights reserved.
京ICP备2023020795号-1
ghs 京公网安备 11010802042870号
Book学术文献互助
Book学术文献互助群
群 号:604180095
Book学术官方微信