BacTermFinder: a comprehensive and general bacterial terminator finder using a CNN ensemble.

IF 2.8 Q1 GENETICS & HEREDITY
NAR Genomics and Bioinformatics Pub Date : 2025-03-08 eCollection Date: 2025-03-01 DOI:10.1093/nargab/lqaf016
Seyed Mohammad Amin Taheri Ghahfarokhi, Lourdes Peña-Castillo
{"title":"BacTermFinder: a comprehensive and general bacterial terminator finder using a CNN ensemble.","authors":"Seyed Mohammad Amin Taheri Ghahfarokhi, Lourdes Peña-Castillo","doi":"10.1093/nargab/lqaf016","DOIUrl":null,"url":null,"abstract":"<p><p>A terminator is a DNA region that ends the transcription process. Currently, multiple computational tools are available for predicting bacterial terminators. However, these methods are specialized for certain bacteria or terminator type (i.e. intrinsic or factor-dependent). In this work, we developed BacTermFinder using an ensemble of convolutional neural networks (CNNs) receiving as input four different representations of terminator sequences. To develop BacTermFinder, we collected roughly 41 000 bacterial terminators (intrinsic and factor-dependent) of 22 species with varying GC-content (from 28% to 71%) from published studies that used RNA-seq technologies. We evaluated BacTermFinder's performance on terminators of five bacterial species (not used for training BacTermFinder) and two archaeal species. BacTermFinder's performance was compared with that of four other bacterial terminator prediction tools. Based on our results, BacTermFinder outperforms all other four approaches in terms of average recall without increasing the number of false positives. Moreover, BacTermFinder identifies both types of terminators (intrinsic and factor-dependent) and generalizes to archaeal terminators. Additionally, we visualized the saliency map of the CNNs to gain insights on terminator motif per species. BacTermFinder is publicly available at https://github.com/BioinformaticsLabAtMUN/BacTermFinder.</p>","PeriodicalId":33994,"journal":{"name":"NAR Genomics and Bioinformatics","volume":"7 1","pages":"lqaf016"},"PeriodicalIF":2.8000,"publicationDate":"2025-03-08","publicationTypes":"Journal Article","fieldsOfStudy":null,"isOpenAccess":false,"openAccessPdf":"https://www.ncbi.nlm.nih.gov/pmc/articles/PMC11890068/pdf/","citationCount":"0","resultStr":null,"platform":"Semanticscholar","paperid":null,"PeriodicalName":"NAR Genomics and Bioinformatics","FirstCategoryId":"1085","ListUrlMain":"https://doi.org/10.1093/nargab/lqaf016","RegionNum":0,"RegionCategory":null,"ArticlePicture":[],"TitleCN":null,"AbstractTextCN":null,"PMCID":null,"EPubDate":"2025/3/1 0:00:00","PubModel":"eCollection","JCR":"Q1","JCRName":"GENETICS & HEREDITY","Score":null,"Total":0}
引用次数: 0

Abstract

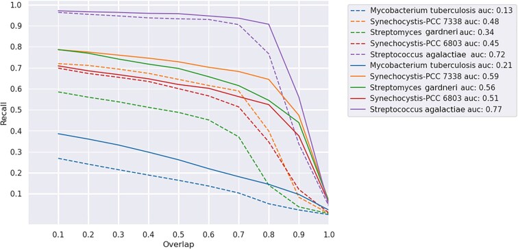
A terminator is a DNA region that ends the transcription process. Currently, multiple computational tools are available for predicting bacterial terminators. However, these methods are specialized for certain bacteria or terminator type (i.e. intrinsic or factor-dependent). In this work, we developed BacTermFinder using an ensemble of convolutional neural networks (CNNs) receiving as input four different representations of terminator sequences. To develop BacTermFinder, we collected roughly 41 000 bacterial terminators (intrinsic and factor-dependent) of 22 species with varying GC-content (from 28% to 71%) from published studies that used RNA-seq technologies. We evaluated BacTermFinder's performance on terminators of five bacterial species (not used for training BacTermFinder) and two archaeal species. BacTermFinder's performance was compared with that of four other bacterial terminator prediction tools. Based on our results, BacTermFinder outperforms all other four approaches in terms of average recall without increasing the number of false positives. Moreover, BacTermFinder identifies both types of terminators (intrinsic and factor-dependent) and generalizes to archaeal terminators. Additionally, we visualized the saliency map of the CNNs to gain insights on terminator motif per species. BacTermFinder is publicly available at https://github.com/BioinformaticsLabAtMUN/BacTermFinder.

Abstract Image

Abstract Image

Abstract Image

BacTermFinder:一个全面和通用的细菌终结者发现者使用CNN集合。
终止子是结束转录过程的DNA区域。目前,有多种计算工具可用于预测细菌终止器。然而,这些方法是专门针对某些细菌或终结者类型(即内在或因子依赖)。在这项工作中,我们使用卷积神经网络(cnn)的集合开发了BacTermFinder,该集合接收终止序列的四种不同表示作为输入。为了开发BacTermFinder,我们从使用RNA-seq技术的已发表研究中收集了22种不同gc含量(从28%到71%)的大约41,000种细菌终止体(内在和因子依赖)。我们评估了BacTermFinder在五种细菌种类(未用于训练BacTermFinder)和两种古细菌种类的终止器上的性能。将BacTermFinder的性能与其他四种细菌终结者预测工具进行比较。根据我们的结果,在不增加误报次数的情况下,BacTermFinder在平均召回率方面优于其他所有四种方法。此外,BacTermFinder可以识别两种类型的终止子(内在终止子和因子依赖终止子),并将其推广到古细菌终止子。此外,我们可视化了cnn的显著性图,以了解每个物种的终结者基序。BacTermFinder可在https://github.com/BioinformaticsLabAtMUN/BacTermFinder公开获取。
本文章由计算机程序翻译,如有差异,请以英文原文为准。
求助全文
约1分钟内获得全文 求助全文
来源期刊
CiteScore
8.00
自引率
2.20%
发文量
95
审稿时长
15 weeks
×
引用
GB/T 7714-2015
复制
MLA
复制
APA
复制
导出至
BibTeX EndNote RefMan NoteFirst NoteExpress
×
提示
您的信息不完整,为了账户安全,请先补充。
现在去补充
×
提示
您因"违规操作"
具体请查看互助需知
我知道了
×
提示
确定
请完成安全验证×
copy
已复制链接
快去分享给好友吧!
我知道了
右上角分享
点击右上角分享
0
联系我们:info@booksci.cn Book学术提供免费学术资源搜索服务,方便国内外学者检索中英文文献。致力于提供最便捷和优质的服务体验。 Copyright © 2023 布克学术 All rights reserved.
京ICP备2023020795号-1
ghs 京公网安备 11010802042870号
Book学术文献互助
Book学术文献互助群
群 号:604180095
Book学术官方微信