A Clinical Retrospective Study on the Combined Use of Monocyte-to-Lymphocyte Ratio and Triglyceride-Glucose Index to Predict the Severity of Coronary Artery Disease.

IF 1.4 Q3 CARDIAC & CARDIOVASCULAR SYSTEMS
Cardiology Research Pub Date : 2025-04-01 Epub Date: 2025-02-18 DOI:10.14740/cr2006
Bin Gu, Dan Li, Min Li, Kaisen Huang
{"title":"A Clinical Retrospective Study on the Combined Use of Monocyte-to-Lymphocyte Ratio and Triglyceride-Glucose Index to Predict the Severity of Coronary Artery Disease.","authors":"Bin Gu, Dan Li, Min Li, Kaisen Huang","doi":"10.14740/cr2006","DOIUrl":null,"url":null,"abstract":"<p><strong>Background: </strong>Coronary artery disease (CAD) remains a leading cause of morbidity and mortality. Traditional risk models based on factors like age, hypertension, and lipid levels are limited in individualized prediction, especially for high-risk populations. This study evaluates the independent and combined predictive value of the monocyte-to-lymphocyte ratio (MLR) and triglyceride-glucose (TyG) index for assessing CAD severity.</p><p><strong>Methods: </strong>In this single-center, retrospective study, 678 patients who underwent coronary angiography (CAG) between January 2022 and June 2024 were included. Eligible patients were aged ≥ 40 years with suspected or confirmed CAD. Clinical data and laboratory values were extracted from electronic records. MLR was calculated as the monocyte-to-lymphocyte ratio, and TyG index was derived from fasting triglycerides and glucose. CAD severity was categorized by SYNTAX scores into no CAD, mild, moderate, and severe CAD. Statistical analyses included Spearman correlation, multivariate logistic regression, and receiver operating characteristic (ROC) curve analysis to assess the diagnostic accuracy of MLR and TyG index.</p><p><strong>Results: </strong>Of the 678 patients, 67.1% had CAD. Both MLR and TyG index were significantly associated with CAD severity, with MLR showing a stronger correlation with SYNTAX scores. Multivariate analysis confirmed MLR (odds ratio (OR) = 2.15) and TyG index (OR = 1.75) as independent predictors of CAD. The combined MLR-TyG model achieved an area under the curve (AUC) of 0.804, surpassing the predictive value of each marker alone. Subgroup analysis indicated high predictive accuracy in diabetic and hypertensive patients.</p><p><strong>Conclusions: </strong>MLR and TyG index independently and jointly predict CAD severity, with the combined model enhancing diagnostic accuracy. Reflecting both inflammatory and metabolic dysfunction, this dual-marker approach offers a practical tool for CAD risk stratification, particularly in high-risk populations. Further multicenter studies are needed to validate these findings and examine additional biomarker combinations to refine CAD risk models.</p>","PeriodicalId":9424,"journal":{"name":"Cardiology Research","volume":"16 2","pages":"110-119"},"PeriodicalIF":1.4000,"publicationDate":"2025-04-01","publicationTypes":"Journal Article","fieldsOfStudy":null,"isOpenAccess":false,"openAccessPdf":"https://www.ncbi.nlm.nih.gov/pmc/articles/PMC11882235/pdf/","citationCount":"0","resultStr":null,"platform":"Semanticscholar","paperid":null,"PeriodicalName":"Cardiology Research","FirstCategoryId":"1085","ListUrlMain":"https://doi.org/10.14740/cr2006","RegionNum":0,"RegionCategory":null,"ArticlePicture":[],"TitleCN":null,"AbstractTextCN":null,"PMCID":null,"EPubDate":"2025/2/18 0:00:00","PubModel":"Epub","JCR":"Q3","JCRName":"CARDIAC & CARDIOVASCULAR SYSTEMS","Score":null,"Total":0}
引用次数: 0

Abstract

Background: Coronary artery disease (CAD) remains a leading cause of morbidity and mortality. Traditional risk models based on factors like age, hypertension, and lipid levels are limited in individualized prediction, especially for high-risk populations. This study evaluates the independent and combined predictive value of the monocyte-to-lymphocyte ratio (MLR) and triglyceride-glucose (TyG) index for assessing CAD severity.

Methods: In this single-center, retrospective study, 678 patients who underwent coronary angiography (CAG) between January 2022 and June 2024 were included. Eligible patients were aged ≥ 40 years with suspected or confirmed CAD. Clinical data and laboratory values were extracted from electronic records. MLR was calculated as the monocyte-to-lymphocyte ratio, and TyG index was derived from fasting triglycerides and glucose. CAD severity was categorized by SYNTAX scores into no CAD, mild, moderate, and severe CAD. Statistical analyses included Spearman correlation, multivariate logistic regression, and receiver operating characteristic (ROC) curve analysis to assess the diagnostic accuracy of MLR and TyG index.

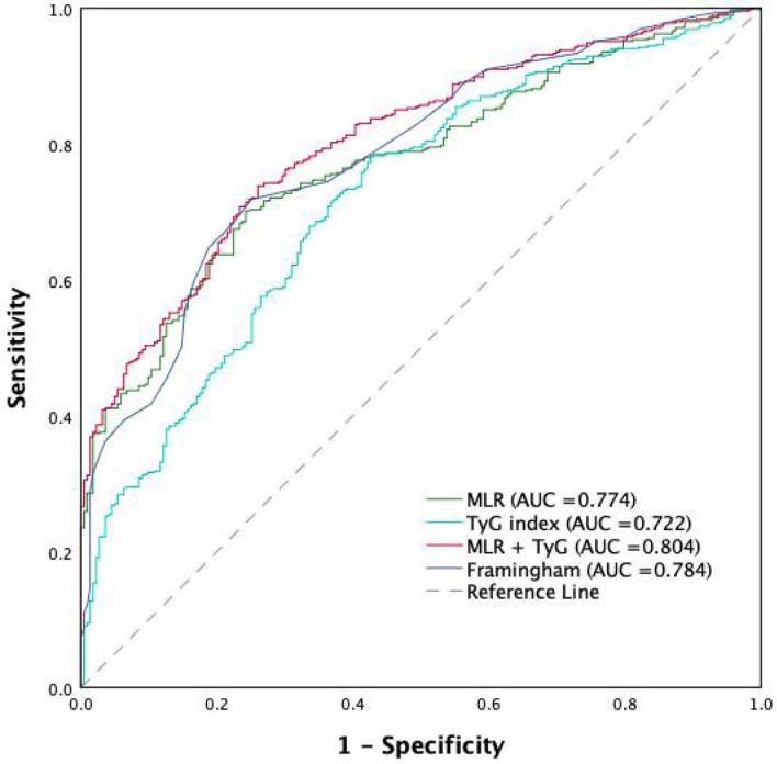
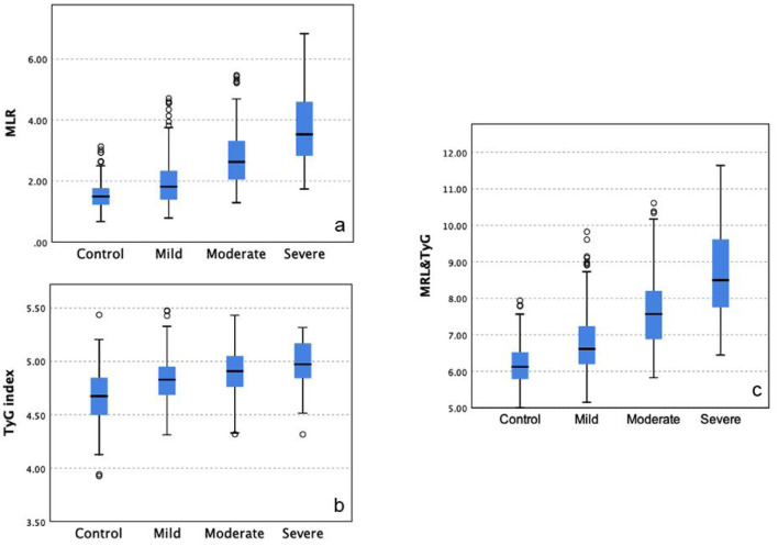
Results: Of the 678 patients, 67.1% had CAD. Both MLR and TyG index were significantly associated with CAD severity, with MLR showing a stronger correlation with SYNTAX scores. Multivariate analysis confirmed MLR (odds ratio (OR) = 2.15) and TyG index (OR = 1.75) as independent predictors of CAD. The combined MLR-TyG model achieved an area under the curve (AUC) of 0.804, surpassing the predictive value of each marker alone. Subgroup analysis indicated high predictive accuracy in diabetic and hypertensive patients.

Conclusions: MLR and TyG index independently and jointly predict CAD severity, with the combined model enhancing diagnostic accuracy. Reflecting both inflammatory and metabolic dysfunction, this dual-marker approach offers a practical tool for CAD risk stratification, particularly in high-risk populations. Further multicenter studies are needed to validate these findings and examine additional biomarker combinations to refine CAD risk models.

Abstract Image

Abstract Image

Abstract Image

单核细胞/淋巴细胞比值和甘油三酯-葡萄糖指数联合预测冠状动脉疾病严重程度的临床回顾性研究
背景:冠状动脉疾病(CAD)仍然是发病率和死亡率的主要原因。基于年龄、高血压和血脂水平等因素的传统风险模型在个体化预测方面存在局限性,特别是对于高危人群。本研究评估了单核细胞与淋巴细胞比值(MLR)和甘油三酯-葡萄糖(TyG)指数对评估冠心病严重程度的独立和联合预测价值。方法:在这项单中心回顾性研究中,纳入了2022年1月至2024年6月期间接受冠状动脉造影(CAG)的678例患者。符合条件的患者年龄≥40岁,疑似或确诊CAD。从电子记录中提取临床资料和实验室值。MLR以单核细胞与淋巴细胞比值计算,TyG指数由空腹甘油三酯和葡萄糖计算。CAD严重程度按SYNTAX评分分为无CAD、轻度、中度和重度CAD。统计学分析采用Spearman相关、多变量logistic回归、受试者工作特征(ROC)曲线分析评价MLR和TyG指数的诊断准确性。结果:678例患者中,67.1%患有冠心病。MLR和TyG指数均与CAD严重程度显著相关,其中MLR与SYNTAX评分相关性更强。多因素分析证实MLR(比值比(OR) = 2.15)和TyG指数(OR = 1.75)是CAD的独立预测因子。MLR-TyG联合模型的曲线下面积(AUC)为0.804,超过了单个标记的预测值。亚组分析显示,糖尿病和高血压患者的预测准确率较高。结论:MLR和TyG指数独立并联合预测CAD严重程度,联合模型提高了诊断准确率。这种双标记方法反映了炎症和代谢功能障碍,为CAD风险分层提供了实用的工具,特别是在高危人群中。需要进一步的多中心研究来验证这些发现,并检查其他生物标志物组合来完善CAD风险模型。
本文章由计算机程序翻译,如有差异,请以英文原文为准。
求助全文
约1分钟内获得全文 求助全文
来源期刊
Cardiology Research
Cardiology Research CARDIAC & CARDIOVASCULAR SYSTEMS-
CiteScore
2.50
自引率
0.00%
发文量
42
期刊介绍: Cardiology Research is an open access, peer-reviewed, international journal. All submissions relating to basic research and clinical practice of cardiology and cardiovascular medicine are in this journal''s scope. This journal focuses on publishing original research and observations in all cardiovascular medicine aspects. Manuscript types include original article, review, case report, short communication, book review, letter to the editor.
×
引用
GB/T 7714-2015
复制
MLA
复制
APA
复制
导出至
BibTeX EndNote RefMan NoteFirst NoteExpress
×
提示
您的信息不完整,为了账户安全,请先补充。
现在去补充
×
提示
您因"违规操作"
具体请查看互助需知
我知道了
×
提示
确定
请完成安全验证×
copy
已复制链接
快去分享给好友吧!
我知道了
右上角分享
点击右上角分享
0
联系我们:info@booksci.cn Book学术提供免费学术资源搜索服务,方便国内外学者检索中英文文献。致力于提供最便捷和优质的服务体验。 Copyright © 2023 布克学术 All rights reserved.
京ICP备2023020795号-1
ghs 京公网安备 11010802042870号
Book学术文献互助
Book学术文献互助群
群 号:604180095
Book学术官方微信